Suppr超能文献

磁力计增强型惯性测量单元模拟器:深入阐述。

Magnetometer-augmented IMU simulator: in-depth elaboration.

作者信息

Brunner Thomas, Lauffenburger Jean-Philippe, Changey Sébastien, Basset Michel

机构信息

French-German Research Institute of Saint-Louis (ISL, Guidance, Navigation and Control (GNC) Department), 5 rue du Général Cassagnou, Saint-Louis 68300, France.

Laboratoire MIPS - EA2332, Université de Haute-Alsace, 12 rue des Frères Lumière, Mulhouse Cedex 68093, France.

出版信息

Sensors (Basel). 2015 Mar 4;15(3):5293-310. doi: 10.3390/s150305293.

Abstract

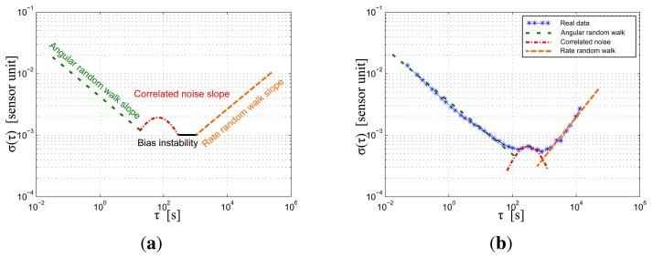
The location of objects is a growing research topic due, for instance, to the expansion of civil drones or intelligent vehicles. This expansion was made possible through the development of microelectromechanical systems (MEMS), inexpensive and miniaturized inertial sensors. In this context, this article describes the development of a new simulator which generates sensor measurements, giving a specific input trajectory. This will allow the comparison of pose estimation algorithms. To develop this simulator, the measurement equations of every type of sensor have to be analytically determined. To achieve this objective, classical kinematic equations are used for the more common sensors, i.e., accelerometers and rate gyroscopes. As nowadays, the MEMS inertial measurement units (IMUs) are generally magnetometer-augmented, an absolute world magnetic model is implemented. After the determination of the perfect measurement (through the error-free sensor models), realistic error models are developed to simulate real IMU behavior. Finally, the developed simulator is subjected to different validation tests.

摘要

由于民用无人机或智能车辆的不断发展等原因,物体定位成为一个日益热门的研究课题。这种发展得益于微机电系统(MEMS)的发展,即价格低廉且小型化的惯性传感器。在此背景下,本文描述了一种新模拟器的开发,该模拟器可根据特定输入轨迹生成传感器测量值,从而能够对姿态估计算法进行比较。为开发此模拟器,必须解析确定每种类型传感器的测量方程。为实现这一目标,对于更常见的传感器,即加速度计和速率陀螺仪,使用经典运动学方程。由于如今MEMS惯性测量单元(IMU)通常配备磁强计,因此实现了一个绝对世界磁模型。在确定理想测量值(通过无误差传感器模型)之后,开发了逼真的误差模型以模拟真实IMU的行为。最后,对开发的模拟器进行了不同的验证测试。

https://cdn.ncbi.nlm.nih.gov/pmc/blobs/5e37/4435162/e584e4821613/sensors-15-05293f1.jpg

文献AI研究员

20分钟写一篇综述,助力文献阅读效率提升50倍。

立即体验

用中文搜PubMed

大模型驱动的PubMed中文搜索引擎

马上搜索

文档翻译

学术文献翻译模型,支持多种主流文档格式。

立即体验