• 文献检索
  • 文档翻译
  • 深度研究
  • 学术资讯
  • Suppr Zotero 插件Zotero 插件
  • 邀请有礼
  • 套餐&价格
  • 历史记录
应用&插件
Suppr Zotero 插件Zotero 插件浏览器插件Mac 客户端Windows 客户端微信小程序
定价
高级版会员购买积分包购买API积分包
服务
文献检索文档翻译深度研究API 文档MCP 服务
关于我们
关于 Suppr公司介绍联系我们用户协议隐私条款
关注我们

Suppr 超能文献

核心技术专利:CN118964589B侵权必究
粤ICP备2023148730 号-1Suppr @ 2026

文献检索

告别复杂PubMed语法,用中文像聊天一样搜索,搜遍4000万医学文献。AI智能推荐,让科研检索更轻松。

立即免费搜索

文件翻译

保留排版,准确专业,支持PDF/Word/PPT等文件格式,支持 12+语言互译。

免费翻译文档

深度研究

AI帮你快速写综述,25分钟生成高质量综述,智能提取关键信息,辅助科研写作。

立即免费体验

基于基因表达分析鉴别同种异体移植中急性皮肤排斥反应与T细胞介导的皮肤炎症。

Differentiation between acute skin rejection in allotransplantation and T-cell mediated skin inflammation based on gene expression analysis.

作者信息

Wolfram Dolores, Morandi Evi M, Eberhart Nadine, Hautz Theresa, Hackl Hubert, Zelger Bettina, Riede Gregor, Wachter Tanja, Dubrac Sandrine, Ploner Christian, Pierer Gerhard, Schneeberger Stefan

机构信息

Department of Plastic, Reconstructive and Aesthetic Surgery, Medical University of Innsbruck, Anichstrasse 35, 6020 Innsbruck, Austria.

Department of Plastic, Reconstructive and Aesthetic Surgery, Medical University of Innsbruck, Anichstrasse 35, 6020 Innsbruck, Austria ; Department of Visceral, Transplant and Thoracic Surgery, Medical University of Innsbruck, Anichstrasse 35, 6020 Innsbruck, Austria.

出版信息

Biomed Res Int. 2015;2015:259160. doi: 10.1155/2015/259160. Epub 2015 Feb 12.

DOI:10.1155/2015/259160
PMID:25756043
原文链接:https://pmc.ncbi.nlm.nih.gov/articles/PMC4338383/
Abstract

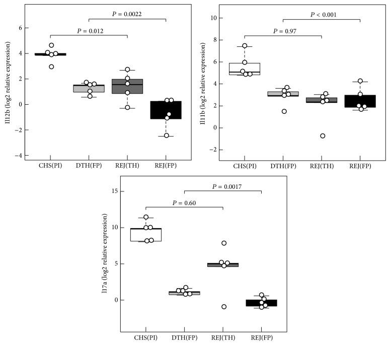
Advances in microsurgical techniques and immunosuppressive medication have rendered transplantation of vascularized composite allografts possible, when autologous tissue is neither available nor sufficient for reconstruction. However, skin rejection and side effects of long-term immunosuppression still remain a major hurdle for wide adoption of this excellent reconstructive technique. Histopathologic changes during acute skin rejection in vascular composite allotransplantation often mimic inflammatory skin disorders and are hard to distinguish. Hence, the identification of diagnostic and therapeutic markers specific for skin rejection is of particular clinical need. Here we present novel markers allowing for early differentiation between rejection in hind limb allotransplantation and contact hypersensitivity. Assessment of Ccl7, Il18, and Il1b expression is most indicative of distinguishing skin rejection from skin inflammatory disorders. Gene expression levels varied significantly across skin types and regions, indicating localization specific mechanism of leukocyte migration and infiltration. Expression of Il12b, Il17a, and Il1b gene expression levels differed significantly between rejection and inflammation, independent of the skin type. In synopsis of the RNA expression profile and previously assessed protein expression, the Il1 family appears as a promising option for accurate skin rejection diagnosis and, as a following step, for development of novel rejection treatments.

摘要

显微外科技术和免疫抑制药物的进步使得在自体组织无法获取或不足以用于重建时,进行血管化复合异体移植成为可能。然而,皮肤排斥反应和长期免疫抑制的副作用仍然是广泛采用这种出色重建技术的主要障碍。血管复合异体移植急性皮肤排斥反应期间的组织病理学变化常常类似炎症性皮肤病,难以区分。因此,识别皮肤排斥反应特有的诊断和治疗标志物具有特殊的临床需求。在此,我们展示了能够早期区分后肢异体移植排斥反应和接触性超敏反应的新型标志物。对Ccl7、Il18和Il1b表达的评估最有助于区分皮肤排斥反应和皮肤炎症性疾病。基因表达水平在不同皮肤类型和区域之间存在显著差异,表明白细胞迁移和浸润存在局部特异性机制。Il12b、Il17a和Il1b基因表达水平在排斥反应和炎症之间存在显著差异,与皮肤类型无关。综合RNA表达谱和先前评估的蛋白质表达来看,Il1家族似乎是准确诊断皮肤排斥反应的一个有前景的选择,接下来有望用于开发新型排斥反应治疗方法。

https://cdn.ncbi.nlm.nih.gov/pmc/blobs/5d99/4338383/c2578c77865a/BMRI2015-259160.006.jpg
https://cdn.ncbi.nlm.nih.gov/pmc/blobs/5d99/4338383/3c4a0c48c65c/BMRI2015-259160.001.jpg
https://cdn.ncbi.nlm.nih.gov/pmc/blobs/5d99/4338383/88d4209734e8/BMRI2015-259160.002.jpg
https://cdn.ncbi.nlm.nih.gov/pmc/blobs/5d99/4338383/ea2ab8d2867b/BMRI2015-259160.003.jpg
https://cdn.ncbi.nlm.nih.gov/pmc/blobs/5d99/4338383/59519fab37be/BMRI2015-259160.004.jpg
https://cdn.ncbi.nlm.nih.gov/pmc/blobs/5d99/4338383/42bc4c7ca709/BMRI2015-259160.005.jpg
https://cdn.ncbi.nlm.nih.gov/pmc/blobs/5d99/4338383/c2578c77865a/BMRI2015-259160.006.jpg
https://cdn.ncbi.nlm.nih.gov/pmc/blobs/5d99/4338383/3c4a0c48c65c/BMRI2015-259160.001.jpg
https://cdn.ncbi.nlm.nih.gov/pmc/blobs/5d99/4338383/88d4209734e8/BMRI2015-259160.002.jpg
https://cdn.ncbi.nlm.nih.gov/pmc/blobs/5d99/4338383/ea2ab8d2867b/BMRI2015-259160.003.jpg
https://cdn.ncbi.nlm.nih.gov/pmc/blobs/5d99/4338383/59519fab37be/BMRI2015-259160.004.jpg
https://cdn.ncbi.nlm.nih.gov/pmc/blobs/5d99/4338383/42bc4c7ca709/BMRI2015-259160.005.jpg
https://cdn.ncbi.nlm.nih.gov/pmc/blobs/5d99/4338383/c2578c77865a/BMRI2015-259160.006.jpg

相似文献

1
Differentiation between acute skin rejection in allotransplantation and T-cell mediated skin inflammation based on gene expression analysis.基于基因表达分析鉴别同种异体移植中急性皮肤排斥反应与T细胞介导的皮肤炎症。
Biomed Res Int. 2015;2015:259160. doi: 10.1155/2015/259160. Epub 2015 Feb 12.
2
Lymphoid neogenesis in skin of human hand, nonhuman primate, and rat vascularized composite allografts.人手部、非人灵长类动物及大鼠血管化复合异体移植皮肤中的淋巴新生。
Transpl Int. 2014 Sep;27(9):966-76. doi: 10.1111/tri.12358. Epub 2014 Jun 24.
3
Mitomycin-C-treated peripheral blood mononuclear cells (PBMCs) prolong allograft survival in composite tissue allotransplantation.丝裂霉素-C处理的外周血单个核细胞(PBMCs)可延长复合组织同种异体移植中的同种异体移植物存活时间。
J Surg Res. 2012 Aug;176(2):e95-e101. doi: 10.1016/j.jss.2011.12.032. Epub 2012 Mar 10.
4
Donor-derived transplant acceptance-inducing cells in composite tissue allotransplantation.供体来源的移植接受诱导细胞在复合组织同种异体移植中。
J Plast Reconstr Aesthet Surg. 2012 Dec;65(12):1684-91. doi: 10.1016/j.bjps.2012.07.003. Epub 2012 Jul 28.
5
Immunological and inflammatory mapping of vascularized composite allograft rejection processes in a rat model.大鼠模型中血管化复合异体移植排斥反应过程的免疫和炎症图谱
PLoS One. 2017 Jul 26;12(7):e0181507. doi: 10.1371/journal.pone.0181507. eCollection 2017.
6
Targeting the Kv1.3 potassium channel for immunosuppression in vascularized composite allotransplantation - a pilot study.针对血管化复合组织同种异体移植中的 Kv1.3 钾通道进行免疫抑制的研究 - 一项初步研究。
Transpl Int. 2013 May;26(5):552-61. doi: 10.1111/tri.12080. Epub 2013 Mar 15.
7
Vascularized composite allotransplantation: towards tolerance and the importance of skin-specific immunobiology.血管化复合组织同种异体移植:走向耐受和皮肤特异性免疫生物学的重要性。
Curr Opin Organ Transplant. 2013 Dec;18(6):645-51. doi: 10.1097/MOT.0000000000000022.
8
Infiltration pattern of rat heart allografts during rejection.
Transplant Proc. 1987 Feb;19(1 Pt 1):374.
9
Lipid-mediated ex vivo gene transfer of viral interleukin 10 in rat lung allotransplantation.脂质介导的病毒白细胞介素10在大鼠肺同种异体移植中的离体基因转移。
J Thorac Cardiovasc Surg. 2001 Jul;122(1):29-38. doi: 10.1067/mtc.2001.114636.
10
Role of passenger leukocytes in allograft rejection: effect of depletion of donor alveolar macrophages on the local production of TNF-alpha, T helper 1/T helper 2 cytokines, IgG subclasses, and pathology in a rat model of lung transplantation.过客白细胞在同种异体移植排斥反应中的作用:在大鼠肺移植模型中,供体肺泡巨噬细胞清除对肿瘤坏死因子-α、辅助性T细胞1/辅助性T细胞2细胞因子、IgG亚类局部产生及病理学的影响
J Immunol. 1997 Oct 15;159(8):4084-93.

引用本文的文献

1
Donor adipose-derived stromal cells are vasoprotectant but unable to revert acute rejection in rodent vascularized composite allotransplants.供体脂肪来源的基质细胞具有血管保护作用,但无法逆转啮齿动物血管化复合异体移植中的急性排斥反应。
Front Immunol. 2025 Apr 28;16:1581599. doi: 10.3389/fimmu.2025.1581599. eCollection 2025.
2
Transcriptome profiling of immune rejection mechanisms in a porcine vascularized composite allotransplantation model.猪血管化复合组织同种异体移植模型中免疫排斥机制的转录组谱分析。
Front Immunol. 2024 May 21;15:1390163. doi: 10.3389/fimmu.2024.1390163. eCollection 2024.
3
FK506-loaded PLGA nanoparticles improve long-term survival of a vascularized composite allograft in a murine model.

本文引用的文献

1
Insights from computational modeling in inflammation and acute rejection in limb transplantation.肢体移植中炎症与急性排斥反应的计算模型见解
PLoS One. 2014 Jun 13;9(6):e99926. doi: 10.1371/journal.pone.0099926. eCollection 2014.
2
Mechanisms of rejection: current perspectives.排斥机制:当前观点。
Transplantation. 2012 Jan 15;93(1):1-10. doi: 10.1097/TP.0b013e31823cab44.
3
An optimized dual-surgeon simultaneous orthotopic hind-limb allotransplantation model in rats.大鼠优化的双术者同时原位后肢异体移植模型。
负载FK506的聚乳酸-羟基乙酸共聚物纳米颗粒可提高小鼠模型中血管化复合异体移植的长期存活率。
Ann Transl Med. 2021 Oct;9(20):1515. doi: 10.21037/atm-21-2425.
4
Blood proteome profiling using aptamer-based technology for rejection biomarker discovery in transplantation.基于适体技术的血液蛋白质组谱分析用于移植排斥生物标志物的发现。
Sci Data. 2019 Dec 9;6(1):314. doi: 10.1038/s41597-019-0324-y.
5
A Skin Rejection Grading System for Vascularized Composite Allotransplantation in a Preclinical Large Animal Model.一种用于临床前大型动物模型中血管化复合组织同种异体移植的皮肤排斥分级系统。
Transplantation. 2019 Jul;103(7):1385-1391. doi: 10.1097/TP.0000000000002695.
6
Subcutaneous administration of a neutralizing IL-1β antibody prolongs limb allograft survival.皮下注射中和白细胞介素-1β的抗体可延长肢体移植物的存活时间。
Am J Transplant. 2018 Aug;18(8):2029-2042. doi: 10.1111/ajt.14765. Epub 2018 May 7.
7
Abdominal Wall Reconstruction after Flap Surgery and the Effect on the Immune System.腹部皮瓣手术后的腹壁重建及其对免疫系统的影响。
Biomed Res Int. 2017;2017:2421585. doi: 10.1155/2017/2421585. Epub 2017 Oct 11.
8
The combination of mitomycin-induced blood cells with a temporary treatment of ciclosporin A prolongs allograft survival in vascularized composite allotransplantation.丝裂霉素诱导的血细胞与环孢素A的短期治疗相结合可延长血管化复合异体移植中同种异体移植物的存活时间。
Langenbecks Arch Surg. 2018 Feb;403(1):83-92. doi: 10.1007/s00423-017-1616-3. Epub 2017 Aug 19.
9
Cardiac Arrest Disrupts Caspase-1 and Patterns of Inflammatory Mediators Differently in Skin and Muscle Following Localized Tissue Injury in Rats: Insights from Data-Driven Modeling.
Front Immunol. 2015 Nov 20;6:587. doi: 10.3389/fimmu.2015.00587. eCollection 2015.
J Reconstr Microsurg. 2012 Jan;28(1):69-75. doi: 10.1055/s-0031-1285822. Epub 2011 Aug 23.
4
Global quantification of mammalian gene expression control.哺乳动物基因表达控制的全局量化。
Nature. 2011 May 19;473(7347):337-42. doi: 10.1038/nature10098.
5
Molecular markers and targeted therapy of skin rejection in composite tissue allotransplantation.复合组织同种异体移植中皮肤排斥的分子标志物和靶向治疗。
Am J Transplant. 2010 May;10(5):1200-9. doi: 10.1111/j.1600-6143.2010.03075.x. Epub 2010 Mar 26.
6
Anakinra for rheumatoid arthritis: a systematic review.阿那白滞素治疗类风湿关节炎:一项系统评价。
J Rheumatol. 2009 Jun;36(6):1118-25. doi: 10.3899/jrheum.090074. Epub 2009 May 15.
7
The Banff 2007 working classification of skin-containing composite tissue allograft pathology.2007年班夫含皮肤复合组织同种异体移植病理学工作分类
Am J Transplant. 2008 Jul;8(7):1396-400. doi: 10.1111/j.1600-6143.2008.02243.x.
8
The challenge of dermatopathological diagnosis of composite tissue allograft rejection: a review.
J Cutan Pathol. 2008 Aug;35(8):738-44. doi: 10.1111/j.1600-0560.2007.00889.x. Epub 2008 Apr 17.
9
Atypical acute rejection after hand transplantation.手部移植后的非典型急性排斥反应。
Am J Transplant. 2008 Mar;8(3):688-96. doi: 10.1111/j.1600-6143.2007.02105.x. Epub 2008 Feb 5.
10
Chemokine networks in inflammatory skin diseases.炎症性皮肤病中的趋化因子网络
Eur J Dermatol. 2004 Jul-Aug;14(4):203-8.