Suppr超能文献

对HIV-1急性期传染性的重新评估:利用模拟队列考虑异质性和研究设计

Reassessment of HIV-1 acute phase infectivity: accounting for heterogeneity and study design with simulated cohorts.

作者信息

Bellan Steve E, Dushoff Jonathan, Galvani Alison P, Meyers Lauren Ancel

机构信息

Center for Computational Biology and Bioinformatics, The University of Texas at Austin, Austin, Texas, United States of America.

Department of Biology, McMaster University, Hamilton, Ontario, Canada.

出版信息

PLoS Med. 2015 Mar 17;12(3):e1001801. doi: 10.1371/journal.pmed.1001801. eCollection 2015 Mar.

Abstract

BACKGROUND

The infectivity of the HIV-1 acute phase has been directly measured only once, from a retrospectively identified cohort of serodiscordant heterosexual couples in Rakai, Uganda. Analyses of this cohort underlie the widespread view that the acute phase is highly infectious, even more so than would be predicted from its elevated viral load, and that transmission occurring shortly after infection may therefore compromise interventions that rely on diagnosis and treatment, such as antiretroviral treatment as prevention (TasP). Here, we re-estimate the duration and relative infectivity of the acute phase, while accounting for several possible sources of bias in published estimates, including the retrospective cohort exclusion criteria and unmeasured heterogeneity in risk.

METHODS AND FINDINGS

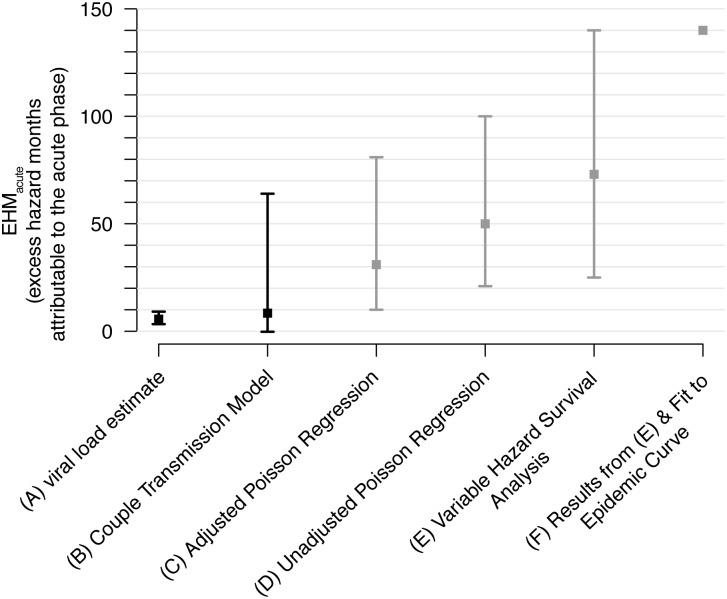
We estimated acute phase infectivity using two approaches. First, we combined viral load trajectories and viral load-infectivity relationships to estimate infectivity trajectories over the course of infection, under the assumption that elevated acute phase infectivity is caused by elevated viral load alone. Second, we estimated the relative hazard of transmission during the acute phase versus the chronic phase (RHacute) and the acute phase duration (dacute) by fitting a couples transmission model to the Rakai retrospective cohort using approximate Bayesian computation. Our model fit the data well and accounted for characteristics overlooked by previous analyses, including individual heterogeneity in infectiousness and susceptibility and the retrospective cohort's exclusion of couples that were recorded as serodiscordant only once before being censored by loss to follow-up, couple dissolution, or study termination. Finally, we replicated two highly cited analyses of the Rakai data on simulated data to identify biases underlying the discrepancies between previous estimates and our own. From the Rakai data, we estimated RHacute = 5.3 (95% credibility interval [95% CrI]: 0.79-57) and dacute = 1.7 mo (95% CrI: 0.55-6.8). The wide credibility intervals reflect an inability to distinguish a long, mildly infectious acute phase from a short, highly infectious acute phase, given the 10-mo Rakai observation intervals. The total additional risk, measured as excess hazard-months attributable to the acute phase (EHMacute) can be estimated more precisely: EHMacute = (RHacute - 1) × dacute, and should be interpreted with respect to the 120 hazard-months generated by a constant untreated chronic phase infectivity over 10 y of infection. From the Rakai data, we estimated that EHMacute = 8.4 (95% CrI: -0.27 to 64). This estimate is considerably lower than previously published estimates, and consistent with our independent estimate from viral load trajectories, 5.6 (95% confidence interval: 3.3-9.1). We found that previous overestimates likely stemmed from failure to account for risk heterogeneity and bias resulting from the retrospective cohort study design. Our results reflect the interaction between the retrospective cohort exclusion criteria and high (47%) rates of censorship amongst incident serodiscordant couples in the Rakai study due to loss to follow-up, couple dissolution, or study termination. We estimated excess physiological infectivity during the acute phase from couples data, but not the proportion of transmission attributable to the acute phase, which would require data on the broader population's sexual network structure.

CONCLUSIONS

Previous EHMacute estimates relying on the Rakai retrospective cohort data range from 31 to 141. Our results indicate that these are substantial overestimates of HIV-1 acute phase infectivity, biased by unmodeled heterogeneity in transmission rates between couples and by inconsistent censoring. Elevated acute phase infectivity is therefore less likely to undermine TasP interventions than previously thought. Heterogeneity in infectiousness and susceptibility may still play an important role in intervention success and deserves attention in future analyses.

摘要

背景

仅在乌干达拉凯地区一组通过回顾性研究确定的血清学不一致异性恋伴侣队列中,对HIV-1急性期的传染性进行过一次直接测量。对该队列的分析支持了一种广泛的观点,即急性期具有高度传染性,甚至比根据其升高的病毒载量所预测的传染性更强,因此感染后不久发生的传播可能会影响依赖诊断和治疗的干预措施,如预防用抗逆转录病毒治疗(TasP)。在此,我们重新估计急性期的持续时间和相对传染性,同时考虑已发表估计中几种可能的偏差来源,包括回顾性队列排除标准和未测量的风险异质性。

方法与结果

我们使用两种方法估计急性期传染性。首先,我们结合病毒载量轨迹和病毒载量与传染性的关系,在假设急性期传染性升高仅由病毒载量升高引起的情况下,估计感染过程中的传染性轨迹。其次,我们通过使用近似贝叶斯计算将伴侣传播模型拟合到拉凯回顾性队列,估计急性期与慢性期相比的传播相对风险(RHacute)和急性期持续时间(dacute)。我们的模型很好地拟合了数据,并考虑了先前分析中忽略的特征,包括个体传染性和易感性的异质性,以及回顾性队列排除了那些在因失访、伴侣关系解除或研究终止而被 censored 之前仅被记录为血清学不一致一次的伴侣。最后,我们在模拟数据上重复了对拉凯数据的两项被高度引用的分析,以确定先前估计与我们自己的估计之间差异背后的偏差。从拉凯数据中,我们估计RHacute = 5.3(95%可信区间[95% CrI]:0.79 - 57),dacute = 1.7个月(95% CrI:0.55 - 6.8)。鉴于拉凯10个月的观察间隔,较宽的可信区间反映出无法区分长的、轻度传染性的急性期和短的、高度传染性的急性期。以急性期归因的额外风险月数(EHMacute)衡量的总额外风险可以更精确地估计:EHMacute = (RHacute - 1) × dacute,并且应该相对于10年感染期间未经治疗的慢性期恒定传染性产生的120个风险月数来解释。从拉凯数据中,我们估计EHMacute = 8.4(95% CrI: - 0.27至64)。这个估计值远低于先前发表的估计值,并且与我们从病毒载量轨迹得出的独立估计值5.6(95%置信区间:3.3 - 9.1)一致。我们发现先前的高估可能源于未能考虑风险异质性以及回顾性队列研究设计导致的偏差。我们的结果反映了回顾性队列排除标准与拉凯研究中因失访、伴侣关系解除或研究终止而导致的新发血清学不一致伴侣中高(47%)censorship 率之间的相互作用。我们从伴侣数据中估计了急性期的额外生理传染性,但未估计急性期所致传播的比例,这需要更广泛人群的性网络结构数据。

结论

先前依赖拉凯回顾性队列数据的EHMacute估计值在31至141之间。我们的结果表明,这些是对HIV-1急性期传染性的大幅高估,受到伴侣间传播率未建模的异质性和不一致的censoring 的影响。因此,急性期传染性升高对TasP干预措施的破坏作用可能比先前认为的要小。传染性和易感性的异质性在干预成功中可能仍然起着重要作用,值得在未来的分析中予以关注。

https://cdn.ncbi.nlm.nih.gov/pmc/blobs/1d78/4363602/cfca72d2e89c/pmed.1001801.g001.jpg

文献AI研究员

20分钟写一篇综述,助力文献阅读效率提升50倍。

立即体验

用中文搜PubMed

大模型驱动的PubMed中文搜索引擎

马上搜索

文档翻译

学术文献翻译模型,支持多种主流文档格式。

立即体验