Suppr超能文献

福岛第一核电站核事故对苍鹰繁殖的影响。

Effects of the Fukushima Daiichi nuclear accident on goshawk reproduction.

作者信息

Murase Kaori, Murase Joe, Horie Reiko, Endo Koichi

机构信息

Graduate School of Natural Science, and Research Center for biological diversity, Nagoya City University, 1 Yamanohata, Mizuho-cho, Mizuho-ku, Nagoya, Aichi 467-8501, Japan.

Goshawk Protection Fund, 2-5-1 Hanawada, Utsunomiya, Tochigi 320-0027, Japan.

出版信息

Sci Rep. 2015 Mar 24;5:9405. doi: 10.1038/srep09405.

Abstract

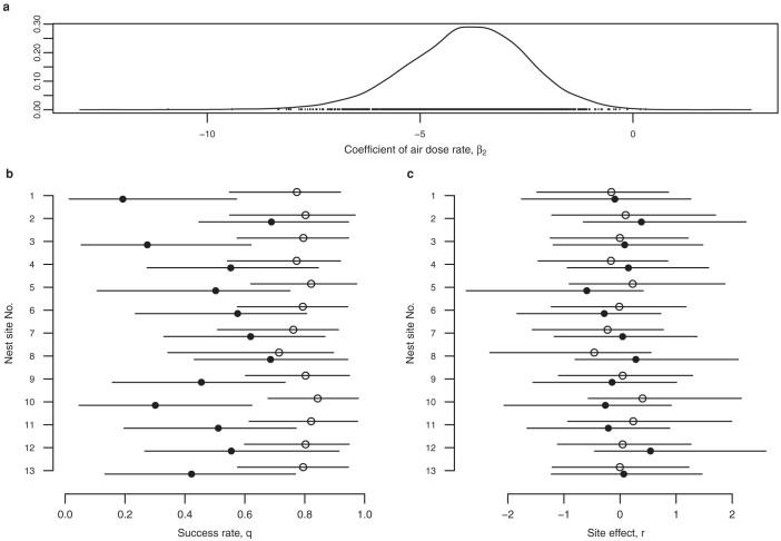
Although the influence of nuclear accidents on the reproduction of top predators has not been investigated, it is important that we identify the effects of such accidents because humans are also top predators. We conducted field observation for 22 years and analysed the reproductive performance of the goshawk (Accipiter gentilis fujiyamae), a top avian predator in the North Kanto area of Japan, before and after the accidents at the Fukushima Daiichi nuclear power plant that occurred in 2011. The reproductive performance declined markedly compared with the pre-accident years and progressively decreased for the three post-accident study years. Moreover, it was suggested that these declines were primarily caused by an increase in the air dose rate of radio-active contaminants measured under the nests caused by the nuclear accidents, rather than by other factors. We consider the trends in the changes of the reproductive success rates and suggest that internal exposure may play an important role in the reproductive performance of the goshawk, as well as external exposure.

摘要

尽管核事故对顶级食肉动物繁殖的影响尚未得到研究,但我们必须查明此类事故的影响,因为人类也是顶级食肉动物。我们进行了22年的实地观察,分析了日本关东地区顶级鸟类食肉动物松雀鹰(Accipiter gentilis fujiyamae)在2011年福岛第一核电站事故前后的繁殖表现。与事故前的年份相比,繁殖表现显著下降,并且在事故后的三个研究年份中持续下降。此外,有迹象表明,这些下降主要是由核事故导致巢穴下方测量到的放射性污染物空气剂量率增加引起的,而非其他因素。我们研究了繁殖成功率的变化趋势,并认为内部暴露以及外部暴露可能对松雀鹰的繁殖表现起到重要作用。

https://cdn.ncbi.nlm.nih.gov/pmc/blobs/3b6e/4371089/c9e1f51685a4/srep09405-f1.jpg

文献AI研究员

20分钟写一篇综述,助力文献阅读效率提升50倍。

立即体验

用中文搜PubMed

大模型驱动的PubMed中文搜索引擎

马上搜索

文档翻译

学术文献翻译模型,支持多种主流文档格式。

立即体验