Suppr超能文献

白藜芦醇在体内可预防甲基乙二醛诱导的高血糖和胰腺损伤。

Resveratrol protects against methylglyoxal-induced hyperglycemia and pancreatic damage in vivo.

机构信息

Department of Medicinal Plant Development, Yupintang Traditional Chinese Medicine Foundation, 2F., No. 398, Zengzi Rd., Zuoying District, Kaohsiung City 813, Taiwan.

Department of Science, University of Auckland, 23 Symonds Street, Auckland 1142, New Zealand.

出版信息

Nutrients. 2015 Apr 15;7(4):2850-65. doi: 10.3390/nu7042850.

Abstract

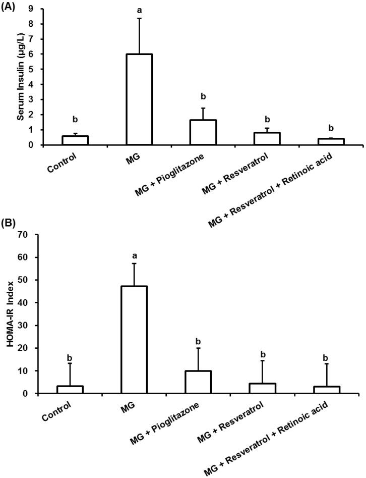
Methylglyoxal (MG) has been found to cause inflammation and insulin resistance in vitro and in vivo in recent studies. Resveratrol has been proposed as an effective treatment that helps lower the risk of developing complications of diabetes. To study the significance of glycosylation-related stress on the pathology of diabetes, the effects of resveratrol were examined in a mouse model of diabetes induced by MG. Resveratrol was given via oral gavage in MG-treated mice, and diabetes-related tests and markers were assessed using biochemical and immunohistochemical analyses. Treatment with resveratrol markedly improved blood glucose level from the oral glucose tolerance test and promoted nuclear factor erythroid 2-related factor-2 (Nrf2) phosphorylation (p < 0.05) in the pancreas of MG-treated mice. However, these effects were abolished by retinoic acid, Nrf2 inhibitor, in resveratrol and retinoic acid-treated and MG-induced mice. These findings support that resveratrol may be useful in the treatment of type-2 diabetes by protecting against pancreatic cell dysfunction.

摘要

甲基乙二醛 (MG) 在最近的研究中被发现能够在体外和体内引起炎症和胰岛素抵抗。白藜芦醇被提出作为一种有效的治疗方法,可以降低糖尿病并发症的风险。为了研究糖基化相关应激对糖尿病病理的意义,研究了白藜芦醇在 MG 诱导的糖尿病小鼠模型中的作用。通过口服灌胃给予 MG 处理的小鼠白藜芦醇,并用生化和免疫组织化学分析评估与糖尿病相关的测试和标志物。白藜芦醇治疗显著改善了口服葡萄糖耐量试验中的血糖水平,并促进了 MG 处理的小鼠胰腺中核因子红细胞 2 相关因子 2 (Nrf2) 的磷酸化(p<0.05)。然而,这些作用在白藜芦醇和维甲酸处理以及 MG 诱导的小鼠中被维甲酸、Nrf2 抑制剂所消除。这些发现支持白藜芦醇通过保护胰腺细胞功能障碍可能对 2 型糖尿病的治疗有用。

https://cdn.ncbi.nlm.nih.gov/pmc/blobs/9554/4425177/30d853b6ffed/nutrients-07-02850-g001.jpg

文献AI研究员

20分钟写一篇综述,助力文献阅读效率提升50倍。

立即体验

用中文搜PubMed

大模型驱动的PubMed中文搜索引擎

马上搜索

文档翻译

学术文献翻译模型,支持多种主流文档格式。

立即体验