Suppr超能文献

在冈比亚接受双氢青蒿素-哌喹治疗的疟疾无症状携带者中伯氨喹的配子体杀灭效果(PRINOGAM):一项随机对照试验的研究方案

The gametocytocidal efficacy of primaquine in malaria asymptomatic carriers treated with dihydroartemisinin-piperaquine in The Gambia (PRINOGAM): study protocol for a randomised controlled trial.

作者信息

Okebe Joseph, Bousema Teun, Affara Muna, DiTanna GianLuca, Eziefula Alice C, Jawara Musa, Nwakanma Davis, Amambua-Ngwa Alfred, Van Geertruyden Jean-Pierre, Drakeley Chris, D'Alessandro Umberto

机构信息

Disease Control & Elimination Theme, Medical Research Council Unit, Fajara, The Gambia.

Immunology and Infection Department, London School of Hygiene and Tropical Medicine, London, UK.

出版信息

Trials. 2015 Mar 1;16:70. doi: 10.1186/s13063-015-0597-1.

Abstract

BACKGROUND

Finding efficacious tools to decrease and interrupt malaria transmission is essential to sustain the gains in malaria control and contain the emergence of artemisinin resistance. Primaquine is effective against Plasmodium falciparum gametocytes and recommended for treatment campaigns in (pre-)elimination settings. Safety concerns preclude its use in endemic African countries with variable proportions of glucose-6-phosphate dehydrogenase (G6PD)-deficient individuals. The efficacy of the current recommended dose needs to be evaluated, particularly in individuals with an asymptomatic malaria infection.

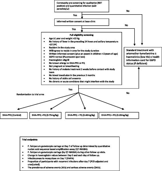
METHODS/DESIGN: This is a four-arm, open label, randomized controlled trial that aims to determine and compare the effect of three different single doses of primaquine combined with dihydroartemisinin-piperaquine, an artemisinin-based combination therapy, on gametocyte carriage in asymptomatic, malaria infected, G6PD-normal individuals. Approximately 1,200 participants are enrolled and followed for 42 days, with the primary endpoint being the prevalence of Plasmodium falciparum gametocyte carriage at day 7 of follow-up determined by quantitative nucleic acid sequence based amplification assay. Direct membrane feeding experiments to determine infectiousness to mosquitoes are conducted as a biological secondary endpoint.

DISCUSSION

Sub-Saharan Africa, with a relatively high but poorly characterized G6PD prevalence, could potentially benefit from the use of primaquine to further reduce or interrupt malaria transmission. However, G6PD screening may not be feasible given the cost and difficulties in interpreting test results in terms of risk of haemolysis. Because the haemolytic effect of primaquine is dose-dependent, determining the minimal gametocytocidal and transmission-blocking dose of primaquine is extremely important to help address public health concerns over its safety and validate the efficacy of lower than recommended dosages. By including infectiousness to mosquitoes, the trial provides complementary evidence for the potential of the drug to interrupt transmission to mosquitoes.

TRIAL REGISTRATION

ClinicalTrials.gov: NCT01838902 (12 April 2013).

摘要

背景

寻找有效的工具来减少和阻断疟疾传播对于维持疟疾控制成果以及遏制青蒿素耐药性的出现至关重要。伯氨喹对恶性疟原虫配子体有效,推荐用于(前)消除环境中的治疗活动。由于安全问题,在葡萄糖-6-磷酸脱氢酶(G6PD)缺乏个体比例各异的非洲流行国家,伯氨喹无法使用。当前推荐剂量的疗效需要评估,尤其是在无症状疟疾感染个体中。

方法/设计:这是一项四臂、开放标签、随机对照试验,旨在确定并比较三种不同单剂量伯氨喹与青蒿素联合疗法双氢青蒿素哌喹合用对无症状、疟疾感染、G6PD正常个体配子体携带情况的影响。约1200名参与者入组并随访42天,主要终点是随访第7天通过基于核酸序列的定量扩增试验确定的恶性疟原虫配子体携带率。进行直接膜饲实验以确定对蚊子的感染性,作为生物学次要终点。

讨论

撒哈拉以南非洲地区G6PD流行率相对较高但特征不明,使用伯氨喹可能有助于进一步减少或阻断疟疾传播。然而,鉴于成本以及解读溶血风险检测结果的困难,G6PD筛查可能不可行。由于伯氨喹的溶血作用具有剂量依赖性,确定伯氨喹的最小杀配子体和传播阻断剂量对于解决公众对其安全性的担忧以及验证低于推荐剂量的疗效极为重要。通过纳入对蚊子的感染性,该试验为该药物阻断向蚊子传播的潜力提供了补充证据。

试验注册

ClinicalTrials.gov:NCT01838902(2013年4月12日)。

https://cdn.ncbi.nlm.nih.gov/pmc/blobs/ea66/4349754/e03a6e34176b/13063_2015_597_Fig1_HTML.jpg

文献AI研究员

20分钟写一篇综述,助力文献阅读效率提升50倍。

立即体验

用中文搜PubMed

大模型驱动的PubMed中文搜索引擎

马上搜索

文档翻译

学术文献翻译模型,支持多种主流文档格式。

立即体验