Suppr超能文献

用于软骨修复的去细胞牛骨软骨生物材料的研制与表征

Development and characterisation of a decellularised bovine osteochondral biomaterial for cartilage repair.

作者信息

Fermor Hazel L, Russell Serena L, Williams Sophie, Fisher John, Ingham Eileen

机构信息

Faculty of Biological Sciences, University of Leeds, Leeds, UK,

出版信息

J Mater Sci Mater Med. 2015 May;26(5):186. doi: 10.1007/s10856-015-5517-0. Epub 2015 Apr 21.

Abstract

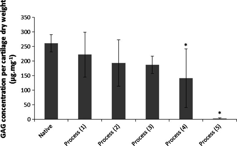
It is proposed that an acellular natural osteochondral scaffold will provide a successful repair material for the early intervention treatment of cartilage lesions, to prevent or slow the progression of cartilage deterioration to osteoarthritis. Here, we investigated the efficacy of methods for the decellularisation of bovine osteochondral plugs. The plugs were subject to four freeze/thaw cycles followed by two cycles of washes in hypotonic solution and low concentration (0.1% w/v) sodium dodecyl sulphate with protease inhibitors. Plugs were treated with nuclease (DNase and RNase) treatment followed by sterilization in peracetic acid. Full tissue decellularisation was achieved as confirmed by histological analysis and DNA quantification, however the resultant acellular matrix had reduced glycosaminoglycan content which led to an increased percent deformation of cartilage. Furthermore, the acellular scaffold was not reproducibly biocompatible. Additional terminal washes were included in the process to improve biocompatibility, however, this led to visible structural damage to the cartilage. This damage was found to be minimised by reducing the cut edge to cartilage area ratio through decellularisation of larger cuts of osteochondral tissue.

摘要

有人提出,一种无细胞天然骨软骨支架将为软骨损伤的早期干预治疗提供一种成功的修复材料,以预防或减缓软骨退变发展为骨关节炎。在此,我们研究了牛骨软骨栓脱细胞方法的效果。将栓进行四个冻融循环,然后在低渗溶液和含有蛋白酶抑制剂的低浓度(0.1% w/v)十二烷基硫酸钠中洗涤两个循环。对栓进行核酸酶(DNase和RNase)处理,然后在过氧乙酸中灭菌。组织学分析和DNA定量证实实现了完全组织脱细胞,但所得的无细胞基质中糖胺聚糖含量降低,这导致软骨变形百分比增加。此外,无细胞支架的生物相容性不可重复。在该过程中加入额外的终末洗涤以改善生物相容性,然而,这导致软骨出现可见的结构损伤。通过对更大块骨软骨组织进行脱细胞处理,降低切割边缘与软骨面积的比例,发现这种损伤可降至最低。

https://cdn.ncbi.nlm.nih.gov/pmc/blobs/567e/4412724/99fe3b335c1d/10856_2015_5517_Fig1_HTML.jpg

文献检索

告别复杂PubMed语法,用中文像聊天一样搜索,搜遍4000万医学文献。AI智能推荐,让科研检索更轻松。

立即免费搜索

文件翻译

保留排版,准确专业,支持PDF/Word/PPT等文件格式,支持 12+语言互译。

免费翻译文档

深度研究

AI帮你快速写综述,25分钟生成高质量综述,智能提取关键信息,辅助科研写作。

立即免费体验