Suppr超能文献

伊朗青少年和青年中的攻击行为与暴力:一项十年系统综述

Aggression and Violence among Iranian Adolescents and Youth: A 10-year Systematic Review.

作者信息

Sadeghi Saeid, Farajzadegan Ziba, Kelishadi Roya, Heidari Kamal

机构信息

Isfahan Welfare Organization, Isfahan, Iran.

Child Growth and Development Research Center, Research Institute for Primordial Prevention of Non-Communicable Disease, Isfahan University of Medical Sciences, Isfahan, Iran.

出版信息

Int J Prev Med. 2014 Dec;5(Suppl 2):S83-96. doi: 10.4103/2008-7802.157663.

Abstract

BACKGROUND

Although the overwhelming majority of Iranian adolescents are well-adjusted, a substantial group exhibits high levels of maladjustment and deficient functioning. Escalation of criminal violence among the youth population has become a major public policy issue and a serious public health problem. In reviewing a 10-year literature, this article aimed to describe and propose primary assumptions regarding the correlates of aggressive and violent behaviors in Iranian adolescents and youth.

METHODS

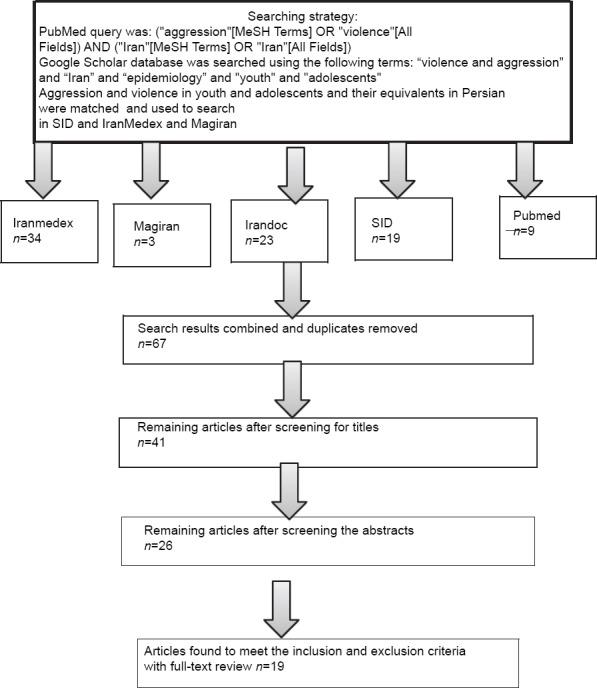
Bibliographic databases such as PubMed and Google Scholar along with Iranian databases including PubMed, IranMedex, Magiran, Irandoc, Psychoinfo, and Emrofor Scientific Information Database, and Magiran constituted the databases which we searched for the relevant literature. Overall 98 articles met the inclusion criteria, allowing us to initiate the discussion.

RESULTS

Reportedly, prevalence of violence and aggression among the Iranian adolescents and youth ranged from 30% to 65.5% while males being 2½ times more affected than females. The role of gender, family environment, family size, socioeconomic status, and victimization in perpetuating the circumstances was apparent.

CONCLUSIONS

Relatively high prevalence of violence and aggression among Iranian youth and adolescents is a warning sign and a great challenge to the social system. Reviewed studies suffer from certain methodological and conceptual limitations. Undertaking community-based studies to estimate the actual extent of the problem is warranted.

摘要

背景

尽管绝大多数伊朗青少年适应良好,但仍有相当一部分人表现出高度的适应不良和功能缺陷。青年人群中犯罪暴力事件的增加已成为一个主要的公共政策问题和严重的公共卫生问题。在回顾10年的文献时,本文旨在描述并提出关于伊朗青少年和青年攻击及暴力行为相关因素的主要假设。

方法

我们检索了诸如PubMed和谷歌学术等文献数据库,以及包括PubMed、伊朗医学索引、马吉兰、伊朗文献、心理信息和东地中海地区科学信息数据库以及马吉兰在内的伊朗数据库,以查找相关文献。共有98篇文章符合纳入标准,使我们能够展开讨论。

结果

据报道,伊朗青少年和青年中暴力和攻击行为的发生率在30%至65.5%之间,男性受影响的程度是女性的2.5倍。性别、家庭环境、家庭规模、社会经济地位和受害经历在维持这种情况方面的作用显而易见。

结论

伊朗青年和青少年中暴力和攻击行为的相对高发生率是一个警示信号,对社会系统构成巨大挑战。所回顾的研究存在某些方法和概念上的局限性。有必要开展基于社区的研究来估计该问题的实际严重程度。

https://cdn.ncbi.nlm.nih.gov/pmc/blobs/0071/4476012/75cea147844a/IJPVM-5-83-g001.jpg

文献AI研究员

20分钟写一篇综述,助力文献阅读效率提升50倍。

立即体验

用中文搜PubMed

大模型驱动的PubMed中文搜索引擎

马上搜索

文档翻译

学术文献翻译模型,支持多种主流文档格式。

立即体验