Suppr超能文献

使用传统呼吸机进行适度高频通气可在不增加平均气道压力的情况下降低潮气量。

Moderately high frequency ventilation with a conventional ventilator allows reduction of tidal volume without increasing mean airway pressure.

作者信息

Cordioli Ricardo Luiz, Park Marcelo, Costa Eduardo Leite Vieira, Gomes Susimeire, Brochard Laurent, Amato Marcelo Britto Passos, Azevedo Luciano Cesar Pontes

机构信息

Research and Education Institute, Hospital Sírio-Libanês, Rua Dona Adma Jafet, 91, Bela Vista, São Paulo, 01308-050, Brazil,

出版信息

Intensive Care Med Exp. 2014 Dec;2(1):13. doi: 10.1186/2197-425X-2-13. Epub 2014 May 9.

Abstract

BACKGROUND

The aim of this study was to explore if positive-pressure ventilation delivered by a conventional ICU ventilator at a moderately high frequency (HFPPV) allows a safe reduction of tidal volume (V T) below 6 mL/kg in a porcine model of severe acute respiratory distress syndrome (ARDS) and at a lower mean airway pressure than high-frequency oscillatory ventilation (HFOV).

METHODS

This is a prospective study. In eight pigs (median weight 34 [29,36] kg), ARDS was induced by pulmonary lavage and injurious ventilation. The animals were ventilated with a randomized sequence of respiratory rates: 30, 60, 90, 120, 150, followed by HFOV at 5 Hz. At each step, V T was adjusted to allow partial pressure of arterial carbon dioxide (PaCO2) to stabilize between 57 and 63 mmHg. Data are shown as median [P25th,P75th].

RESULTS

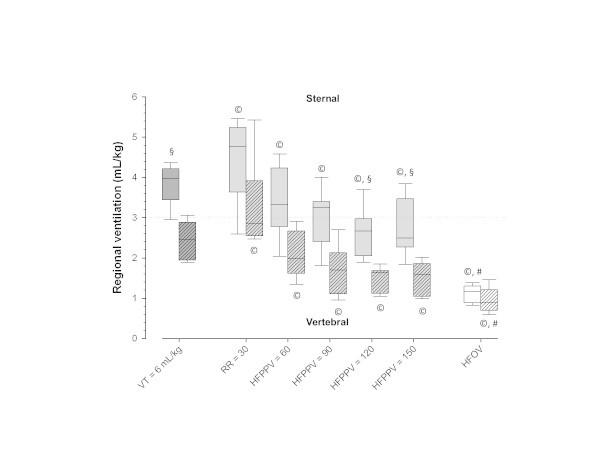
After lung injury, the PaO2/FiO2 (P/F) ratio was 92 [63,118] mmHg, pulmonary shunt 26 [17,31]%, and static compliance 11 [8,14] mL/cmH2O. Positive end-expiratory pressure (PEEP) was 14 [10,17] cmH2O. At 30 breaths/min, V T was higher than 6 (7.5 [6.8,10.2]) mL/kg, but at all higher frequencies, V T could be reduced and PaCO2 maintained, leading to reductions in plateau pressures and driving pressures. For frequencies of 60 to 150/min, V T progressively fell from 5.2 [5.1,5.9] to 3.8 [3.7,4.2] mL/kg (p < 0.001). There were no detrimental effects in terms of lung mechanics, auto-PEEP generation, hemodynamics, or gas exchange. Mean airway pressure was maintained constant and was increased only during HFOV.

CONCLUSIONS

During protective mechanical ventilation, HFPPV delivered by a conventional ventilator in a severe ARDS swine model safely allows further tidal volume reductions. This strategy also allowed decreasing airway pressures while maintaining stable PaCO2 levels.

摘要

背景

本研究的目的是探讨在重症急性呼吸窘迫综合征(ARDS)猪模型中,使用传统重症监护病房呼吸机以适度高频进行正压通气(HFPPV)是否能在低于6 mL/kg的潮气量(VT)下安全降低,并使平均气道压低于高频振荡通气(HFOV)。

方法

这是一项前瞻性研究。在八头猪(中位体重34 [29,36] kg)中,通过肺灌洗和有害通气诱导ARDS。动物以随机顺序的呼吸频率进行通气:30、60、90、120、150,随后以5 Hz进行HFOV。在每个步骤中,调整VT以使动脉血二氧化碳分压(PaCO2)稳定在57至63 mmHg之间。数据以中位数[第25百分位数,第75百分位数]表示。

结果

肺损伤后,氧合指数(P/F)为92 [63,118] mmHg,肺内分流26 [17,31]%,静态顺应性11 [8,14] mL/cmH2O。呼气末正压(PEEP)为14 [10,17] cmH2O。在30次/分钟时,VT高于6(7.5 [6.8,10.2])mL/kg,但在所有更高频率下,VT均可降低且PaCO2得以维持,从而导致平台压和驱动压降低。对于60至150次/分钟的频率,VT从5.2 [5.1,5.9]逐渐降至3.8 [3.7,4.2] mL/kg(p < 0.001)。在肺力学、内源性PEEP产生、血流动力学或气体交换方面均无有害影响。平均气道压保持恒定,仅在HFOV期间升高。

结论

在保护性机械通气期间,传统呼吸机在重症ARDS猪模型中进行的HFPPV可安全地进一步降低潮气量。该策略还能在维持稳定PaCO2水平的同时降低气道压力。

https://cdn.ncbi.nlm.nih.gov/pmc/blobs/0eca/4512987/55fa00744aff/40635_2013_15_Fig1_HTML.jpg

文献AI研究员

20分钟写一篇综述,助力文献阅读效率提升50倍。

立即体验

用中文搜PubMed

大模型驱动的PubMed中文搜索引擎

马上搜索

文档翻译

学术文献翻译模型,支持多种主流文档格式。

立即体验