Suppr超能文献

生长分化因子15在原发性骨髓纤维化发病机制中的作用

The role of growth differentiation factor 15 in the pathogenesis of primary myelofibrosis.

作者信息

Uchiyama Tatsuki, Kawabata Hiroshi, Miura Yasuo, Yoshioka Satoshi, Iwasa Masaki, Yao Hisayuki, Sakamoto Soichiro, Fujimoto Masakazu, Haga Hironori, Kadowaki Norimitsu, Maekawa Taira, Takaori-Kondo Akifumi

机构信息

Department of Hematology and Oncology, Graduate School of Medicine, Kyoto University, Kyoto, Japan.

Department of Transfusion Medicine and Cell Therapy, Kyoto University Hospital, Kyoto, Japan.

出版信息

Cancer Med. 2015 Oct;4(10):1558-72. doi: 10.1002/cam4.502. Epub 2015 Aug 15.

Abstract

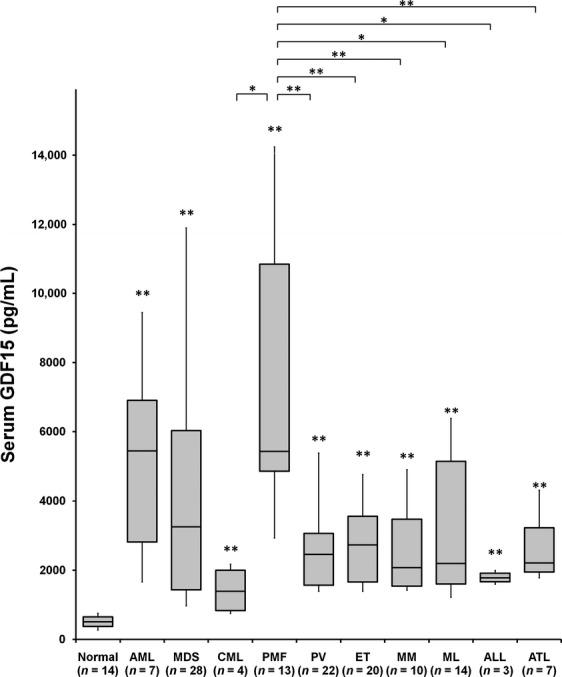
Growth differentiation factor 15 (GDF15) is a pleiotropic cytokine that belongs to the transforming growth factor-β superfamily. Elevated serum concentrations of this cytokine have been reported in patients with various malignancies. To assess the potential roles of GDF15 in hematologic malignancies, we measured its serum levels in patients with these diseases. We found that serum GDF15 levels were elevated in almost all these patients, particularly in patients with primary myelofibrosis (PMF). Immunohistochemical staining of bone marrow (BM) specimens revealed that GDF15 was strongly expressed by megakaryocytes, which may be sources of increased serum GDF15 in PMF patients. Therefore, we further assessed the contribution of GDF15 to the pathogenesis of PMF. Recombinant human (rh) GDF15 enhanced the growth of human BM mesenchymal stromal cells (BM-MSCs), and it enhanced the potential of these cells to support human hematopoietic progenitor cell growth in a co-culture system. rhGDF15 enhanced the growth of human primary fibroblasts, but it did not affect their expression of profibrotic genes. rhGDF15 induced osteoblastic differentiation of BM-MSCs in vitro, and pretreatment of BM-MSCs with rGDF15 enhanced the induction of bone formation in a xenograft mouse model. These results suggest that serum levels of GDF15 in PMF are elevated, that megakaryocytes are sources of this cytokine in BM, and that GDF15 may modulate the pathogenesis of PMF by enhancing proliferation and promoting osteogenic differentiation of BM-MSCs.

摘要

生长分化因子15(GDF15)是一种多效性细胞因子,属于转化生长因子-β超家族。据报道,多种恶性肿瘤患者的血清中该细胞因子浓度升高。为了评估GDF15在血液系统恶性肿瘤中的潜在作用,我们检测了这些疾病患者的血清水平。我们发现几乎所有这些患者的血清GDF15水平都升高,尤其是原发性骨髓纤维化(PMF)患者。骨髓(BM)标本的免疫组织化学染色显示,巨核细胞强烈表达GDF15,这可能是PMF患者血清GDF15升高的来源。因此,我们进一步评估了GDF15对PMF发病机制的影响。重组人(rh)GDF15增强了人骨髓间充质基质细胞(BM-MSCs)的生长,并在共培养系统中增强了这些细胞支持人造血祖细胞生长的能力。rhGDF15增强了人原代成纤维细胞的生长,但不影响其促纤维化基因的表达。rhGDF15在体外诱导BM-MSCs向成骨细胞分化,用rGDF15预处理BM-MSCs可增强异种移植小鼠模型中骨形成的诱导。这些结果表明,PMF患者血清GDF15水平升高,BM中该细胞因子的来源是巨核细胞,并且GDF15可能通过增强BM-MSCs的增殖和促进其成骨分化来调节PMF的发病机制。

https://cdn.ncbi.nlm.nih.gov/pmc/blobs/b0e2/4618626/1c0ba9250ce4/cam40004-1558-f1.jpg

文献AI研究员

20分钟写一篇综述,助力文献阅读效率提升50倍。

立即体验

用中文搜PubMed

大模型驱动的PubMed中文搜索引擎

马上搜索

文档翻译

学术文献翻译模型,支持多种主流文档格式。

立即体验