Suppr超能文献

筛选非酿酒酵母菌株在生物乙醇发酵中对甲酸的耐受性

Screening of Non- Saccharomyces cerevisiae Strains for Tolerance to Formic Acid in Bioethanol Fermentation.

作者信息

Oshoma Cyprian E, Greetham Darren, Louis Edward J, Smart Katherine A, Phister Trevor G, Powell Chris, Du Chenyu

机构信息

Bioenergy and Brewing Science Building, School of Biosciences, University of Nottingham, Sutton Bonington Campus, Loughborough, Leics, United Kingdom.

Centre for Genetic Architecture of Complex Traits, University of Leicester, Leicester, United Kingdom.

出版信息

PLoS One. 2015 Aug 18;10(8):e0135626. doi: 10.1371/journal.pone.0135626. eCollection 2015.

Abstract

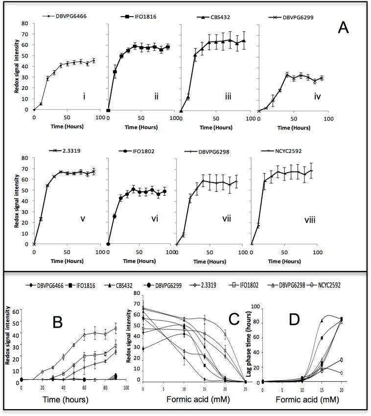
Formic acid is one of the major inhibitory compounds present in hydrolysates derived from lignocellulosic materials, the presence of which can significantly hamper the efficiency of converting available sugars into bioethanol. This study investigated the potential for screening formic acid tolerance in non-Saccharomyces cerevisiae yeast strains, which could be used for the development of advanced generation bioethanol processes. Spot plate and phenotypic microarray methods were used to screen the formic acid tolerance of 7 non-Saccharomyces cerevisiae yeasts. S. kudriavzeii IFO1802 and S. arboricolus 2.3319 displayed a higher formic acid tolerance when compared to other strains in the study. Strain S. arboricolus 2.3319 was selected for further investigation due to its genetic variability among the Saccharomyces species as related to Saccharomyces cerevisiae and availability of two sibling strains: S. arboricolus 2.3317 and 2.3318 in the lab. The tolerance of S. arboricolus strains (2.3317, 2.3318 and 2.3319) to formic acid was further investigated by lab-scale fermentation analysis, and compared with S. cerevisiae NCYC2592. S. arboricolus 2.3319 demonstrated improved formic acid tolerance and a similar bioethanol synthesis capacity to S. cerevisiae NCYC2592, while S. arboricolus 2.3317 and 2.3318 exhibited an overall inferior performance. Metabolite analysis indicated that S. arboricolus strain 2.3319 accumulated comparatively high concentrations of glycerol and glycogen, which may have contributed to its ability to tolerate high levels of formic acid.

摘要

甲酸是木质纤维素材料水解产物中存在的主要抑制性化合物之一,其存在会显著阻碍将可用糖转化为生物乙醇的效率。本研究调查了筛选非酿酒酵母菌株对甲酸耐受性的潜力,这些菌株可用于开发新一代生物乙醇工艺。采用点板法和表型微阵列法筛选了7株非酿酒酵母对甲酸的耐受性。与研究中的其他菌株相比,季也蒙毕赤酵母IFO1802和树生酵母2.3319表现出更高的甲酸耐受性。由于树生酵母2.3319在酿酒酵母属中与酿酒酵母相关的遗传变异性,以及实验室中存在两个同胞菌株:树生酵母2.3317和2.3318,因此选择该菌株进行进一步研究。通过实验室规模的发酵分析进一步研究了树生酵母菌株(2.3317、2.3318和2.3319)对甲酸的耐受性,并与酿酒酵母NCYC2592进行了比较。树生酵母2.3319表现出对甲酸耐受性的提高,且生物乙醇合成能力与酿酒酵母NCYC2592相似,而树生酵母2.3317和2.3318总体表现较差。代谢物分析表明,树生酵母菌株2.3319积累了相对较高浓度的甘油和糖原,这可能有助于其耐受高水平的甲酸。

https://cdn.ncbi.nlm.nih.gov/pmc/blobs/92cd/4540574/eda905d18ddb/pone.0135626.g001.jpg

文献AI研究员

20分钟写一篇综述,助力文献阅读效率提升50倍。

立即体验

用中文搜PubMed

大模型驱动的PubMed中文搜索引擎

马上搜索

文档翻译

学术文献翻译模型,支持多种主流文档格式。

立即体验