• 文献检索
  • 文档翻译
  • 深度研究
  • 学术资讯
  • Suppr Zotero 插件Zotero 插件
  • 邀请有礼
  • 套餐&价格
  • 历史记录
应用&插件
Suppr Zotero 插件Zotero 插件浏览器插件Mac 客户端Windows 客户端微信小程序
定价
高级版会员购买积分包购买API积分包
服务
文献检索文档翻译深度研究API 文档MCP 服务
关于我们
关于 Suppr公司介绍联系我们用户协议隐私条款
关注我们

Suppr 超能文献

核心技术专利:CN118964589B侵权必究
粤ICP备2023148730 号-1Suppr @ 2026

文献检索

告别复杂PubMed语法,用中文像聊天一样搜索,搜遍4000万医学文献。AI智能推荐,让科研检索更轻松。

立即免费搜索

文件翻译

保留排版,准确专业,支持PDF/Word/PPT等文件格式,支持 12+语言互译。

免费翻译文档

深度研究

AI帮你快速写综述,25分钟生成高质量综述,智能提取关键信息,辅助科研写作。

立即免费体验

高渗盐水右旋糖酐改善比格犬失血性休克中的器官损伤。

Hypertonic Saline Dextran Ameliorates Organ Damage in Beagle Hemorrhagic Shock.

作者信息

Zhao Jing-xiang, Wang Bo, You Guo-xing, Wang Ying, Chen Gan, Wang Quan, Zhang Xi-gang, Zhao Lian, Zhou Hong, He Yue-zhong

机构信息

Institute of Transfusion Medicine, Academy of Military Medical Sciences, No. 27th Taiping Road, HaiDian, Beijing, China.

Emergency department, Chinese People's Liberation Army 307 hospital, No. 8th Dongda Street, Fengtai, Beijing, China.

出版信息

PLoS One. 2015 Aug 28;10(8):e0136012. doi: 10.1371/journal.pone.0136012. eCollection 2015.

DOI:10.1371/journal.pone.0136012
PMID:26317867
原文链接:https://pmc.ncbi.nlm.nih.gov/articles/PMC4552817/
Abstract

OBJECTIVE

The goal of this study was to investigate the effect of hypertonic saline with 6% Dextran-70 (HSD) resuscitation on organ damage and the resuscitation efficiency of the combination of HSD and lactated ringers (LR) in a model of hemorrhage shock in dogs.

METHODS

Beagles were bled to hold their mean arterial pressure (MAP) at 50 ± 5 mmHg for 1 h. After hemorrhage, beagles were divided into three groups (n = 7) to receive pre-hospital resuscitation for 1 h (R1): HSD (4 ml/kg), LR (40 ml/kg), and HSD+LR (a combination of 4 ml/kg HSD and 40 ml/kg LR). Next, LR was transfused into all groups as in-hospital resuscitation (R2). After two hours of observation (R3), autologous blood was transfused. Hemodynamic responses and systemic oxygenation were measured at predetermined phases. Three days after resuscitation, the animals were sacrificed and tissues including kidney, lung, liver and intestinal were obtained for pathological analysis.

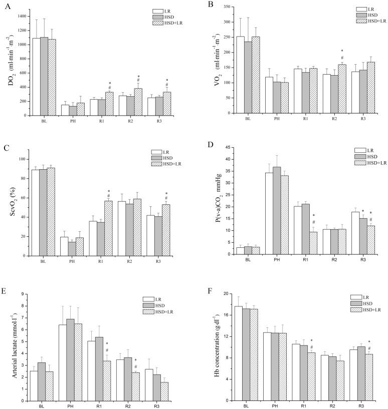
RESULTS

Although the initial resuscitation with HSD was shown to be faster than LR with regard to an ascending MAP, the HSD group showed a similar hemodynamic performance compared to the LR group throughout the experiment. Compared with the LR group, the systemic oxygenation performance in the HSD group was similar but showed a lower venous-to-arterial CO2 gradient (Pv-aCO2) at R3 (p < 0.05). Additionally, the histology score of the kidneys, lungs and liver were significantly lower in the HSD group than in the LR group (p < 0.05). The HSD+LR group showed a superior hemodynamic response but higher extravascular lung water (EVLW) and lower arterial oxygen tension (PaO2) than the other groups (p < 0.05). The HSD+LR group showed a marginally improved systemic oxygenation performance and lower histology score than other groups.

CONCLUSIONS

Resuscitation after hemorrhagic shock with a bolus of HSD showed a similar hemodynamic response compared with LR at ten times the volume of HSD, but HSD showed superior efficacy in organ protection. Our findings suggest that resuscitation with the combination of HSD and LR in the pre-hospital setting is an effective treatment.

摘要

目的

本研究的目的是在犬失血性休克模型中,研究6%右旋糖酐70高渗盐水(HSD)复苏对器官损伤的影响以及HSD与乳酸林格氏液(LR)联合应用的复苏效率。

方法

将比格犬放血使平均动脉压(MAP)维持在50±5 mmHg达1小时。放血后,将比格犬分为三组(n = 7),进行1小时的院前复苏(R1):HSD组(4 ml/kg)、LR组(40 ml/kg)和HSD+LR组(4 ml/kg HSD与40 ml/kg LR的组合)。接下来,所有组均输注LR进行院内复苏(R2)。观察两小时后(R3),回输自体血。在预定阶段测量血流动力学反应和全身氧合情况。复苏三天后,处死动物,获取包括肾脏、肺、肝脏和肠道在内的组织进行病理分析。

结果

尽管在MAP上升方面,最初用HSD复苏比用LR更快,但在整个实验过程中,HSD组与LR组的血流动力学表现相似。与LR组相比,HSD组的全身氧合表现相似,但在R3时静脉-动脉二氧化碳梯度(Pv-aCO2)较低(p < 0.05)。此外,HSD组肾脏、肺和肝脏的组织学评分显著低于LR组(p < 0.05)。HSD+LR组显示出更好的血流动力学反应,但与其他组相比,血管外肺水(EVLW)更高,动脉血氧分压(PaO2)更低(p < 0.05)。HSD+LR组的全身氧合表现略有改善,组织学评分低于其他组。

结论

与输注HSD体积10倍的LR相比,失血性休克后推注HSD进行复苏显示出相似的血流动力学反应,但HSD在器官保护方面显示出更好的疗效。我们的研究结果表明,院前应用HSD与LR联合复苏是一种有效的治疗方法。

https://cdn.ncbi.nlm.nih.gov/pmc/blobs/5d4d/4552817/748ffd04bdee/pone.0136012.g006.jpg
https://cdn.ncbi.nlm.nih.gov/pmc/blobs/5d4d/4552817/9e119085ca66/pone.0136012.g001.jpg
https://cdn.ncbi.nlm.nih.gov/pmc/blobs/5d4d/4552817/4e4e062c6475/pone.0136012.g002.jpg
https://cdn.ncbi.nlm.nih.gov/pmc/blobs/5d4d/4552817/f3eaecf9dda4/pone.0136012.g003.jpg
https://cdn.ncbi.nlm.nih.gov/pmc/blobs/5d4d/4552817/fcd28efee939/pone.0136012.g004.jpg
https://cdn.ncbi.nlm.nih.gov/pmc/blobs/5d4d/4552817/06d90078e4ae/pone.0136012.g005.jpg
https://cdn.ncbi.nlm.nih.gov/pmc/blobs/5d4d/4552817/748ffd04bdee/pone.0136012.g006.jpg
https://cdn.ncbi.nlm.nih.gov/pmc/blobs/5d4d/4552817/9e119085ca66/pone.0136012.g001.jpg
https://cdn.ncbi.nlm.nih.gov/pmc/blobs/5d4d/4552817/4e4e062c6475/pone.0136012.g002.jpg
https://cdn.ncbi.nlm.nih.gov/pmc/blobs/5d4d/4552817/f3eaecf9dda4/pone.0136012.g003.jpg
https://cdn.ncbi.nlm.nih.gov/pmc/blobs/5d4d/4552817/fcd28efee939/pone.0136012.g004.jpg
https://cdn.ncbi.nlm.nih.gov/pmc/blobs/5d4d/4552817/06d90078e4ae/pone.0136012.g005.jpg
https://cdn.ncbi.nlm.nih.gov/pmc/blobs/5d4d/4552817/748ffd04bdee/pone.0136012.g006.jpg

相似文献

1
Hypertonic Saline Dextran Ameliorates Organ Damage in Beagle Hemorrhagic Shock.高渗盐水右旋糖酐改善比格犬失血性休克中的器官损伤。
PLoS One. 2015 Aug 28;10(8):e0136012. doi: 10.1371/journal.pone.0136012. eCollection 2015.
2
The early systemic and gastrointestinal oxygenation effects of hemorrhagic shock resuscitation with hypertonic saline and hypertonic saline 6% dextran-70: a comparative study in dogs.高渗盐水和6%右旋糖酐-70高渗盐水对失血性休克复苏的早期全身及胃肠道氧合作用:犬的比较研究
Anesth Analg. 2004 Aug;99(2):536-46, table of contents. doi: 10.1213/01.ANE.0000122639.55433.06.
3
HSD is a better resuscitation fluid for hemorrhagic shock with pulmonary edema at high altitude.高渗盐右旋糖酐(HSD)是治疗高原地区伴有肺水肿的失血性休克的一种更优复苏液体。
Shock. 2008 Dec;30(6):714-20. doi: 10.1097/SHK.0b013e31816f6b5b.
4
Small-volume hypertonic saline dextran resuscitation from canine endotoxin shock.犬内毒素休克的小容量高渗盐水右旋糖酐复苏
Ann Surg. 1991 Jul;214(1):64-73. doi: 10.1097/00000658-199107000-00011.
5
Early hemodynamic and renal effects of hemorrhagic shock resuscitation with lactated Ringer's solution, hydroxyethyl starch, and hypertonic saline with or without 6% dextran-70.用乳酸林格氏液、羟乙基淀粉、高渗盐水(含或不含6%右旋糖酐-70)对失血性休克进行复苏的早期血流动力学和肾脏效应
J Surg Res. 2006 Nov;136(1):98-105. doi: 10.1016/j.jss.2006.04.021. Epub 2006 Jun 30.
6
Tissue oxygen monitoring during hemorrhagic shock and resuscitation: a comparison of lactated Ringer's solution, hypertonic saline dextran, and HBOC-201.失血性休克及复苏过程中的组织氧监测:乳酸林格氏液、高渗盐右旋糖酐和HBOC-201的比较
J Trauma. 2003 Feb;54(2):242-52. doi: 10.1097/01.TA.0000037776.28201.75.
7
Hypotensive Resuscitation with Hypertonic Saline Dextran Improves Survival in a Rat Model of Hemorrhagic Shock at High Altitude.高渗盐水右旋糖酐进行的低血压复苏可提高高原失血性休克大鼠模型的生存率。
Shock. 2017 Aug;48(2):196-200. doi: 10.1097/SHK.0000000000000827.
8
Effect of hypertonic saline solution and dextran on ventricular blood flow and heart-lung interaction after hemorrhagic shock.高渗盐溶液和右旋糖酐对失血性休克后心室血流及心肺相互作用的影响。
Surgery. 1998 Oct;124(4):642-9; discussion 649-50. doi: 10.1067/msy.1998.91221.
9
The dynamics of vascular volume and fluid shifts of lactated Ringer's solution and hypertonic-saline-dextran solutions infused in normovolemic sheep.在血容量正常的绵羊中输注乳酸林格氏液和高渗盐水-右旋糖酐溶液时的血管容量动态变化及液体转移情况。
Anesth Analg. 2001 Oct;93(4):823-31. doi: 10.1097/00000539-200110000-00005.
10
Mesenteric microcirculatory changes in nonlethal hemorrhagic shock: the role of resuscitation with balanced electrolyte or hypertonic saline/dextran.非致死性失血性休克时肠系膜微循环的变化:平衡电解质溶液或高渗盐水/右旋糖酐复苏的作用
J Trauma. 1992 Aug;33(2):321-5.

引用本文的文献

1
Mechanobiological Adaptation to Hyperosmolarity Enhances Barrier Function in Human Vascular Microphysiological System.高渗环境下的机械生物学适应增强了人血管微生理系统的屏障功能。
Adv Sci (Weinh). 2023 May;10(13):e2206384. doi: 10.1002/advs.202206384. Epub 2023 Feb 19.
2
Colloids Yes or No? - a "Gretchen Question" Answered.胶体:是或否?——一个“格雷琴问题”的答案
Front Vet Sci. 2021 Jul 2;8:624049. doi: 10.3389/fvets.2021.624049. eCollection 2021.
3
Evaluation of ventilator on lung profile of piglets () in hypovolemic shock treated with hypervolemic crystalloid resuscitation.

本文引用的文献

1
Prehospital Resuscitation of Traumatic Hemorrhagic Shock with Hypertonic Solutions Worsens Hypocoagulation and Hyperfibrinolysis.用高渗溶液进行创伤性失血性休克的院前复苏会加重低凝血症和高纤维蛋白溶解。
Shock. 2015 Jul;44(1):25-31. doi: 10.1097/SHK.0000000000000368.
2
Hypertonic saline activates CD4+ and CD8+ T-lymphocytes in the small intestine to alleviate intestinal ischemia-reperfusion injury.高渗盐水激活小肠中的CD4+和CD8+ T淋巴细胞,以减轻肠道缺血再灌注损伤。
Eur Rev Med Pharmacol Sci. 2014 Oct;18(20):3069-75.
3
Effect of Hypotensive Resuscitation with a Novel Combination of Fluids in a Rabbit Model of Uncontrolled Hemorrhagic Shock.
高容量晶体复苏治疗低血容量性休克仔猪时呼吸机对其肺部情况的评估()
Vet World. 2019;12(4):565-571. doi: 10.14202/vetworld.2019.565-571. Epub 2019 Apr 18.
4
Addition of Sodium Pyruvate to Stored Red Blood Cells Attenuates Liver Injury in a Murine Transfusion Model.在储存红细胞中添加丙酮酸钠可减轻小鼠输血模型中的肝损伤。
Mediators Inflamm. 2016;2016:3549207. doi: 10.1155/2016/3549207. Epub 2016 Sep 26.
新型液体组合用于兔非控制性失血性休克模型的降压复苏效果
PLoS One. 2013 Jun 21;8(6):e66916. doi: 10.1371/journal.pone.0066916. Print 2013.
4
Lactate and venoarterial carbon dioxide difference/arterial-venous oxygen difference ratio, but not central venous oxygen saturation, predict increase in oxygen consumption in fluid responders.乳酸与动静脉二氧化碳分压差/动静脉血氧差比值,而不是中心静脉血氧饱和度,可预测液体反应者的氧耗增加。
Crit Care Med. 2013 Jun;41(6):1412-20. doi: 10.1097/CCM.0b013e318275cece.
5
Hyperosmolarity attenuates TNF-α-mediated proinflammatory activation of human pulmonary microvascular endothelial cells.高渗环境可减轻 TNF-α 介导的人肺微血管内皮细胞的促炎激活。
Shock. 2013 Apr;39(4):366-72. doi: 10.1097/SHK.0b013e3182894016.
6
Resuscitation of traumatic hemorrhagic shock patients with hypertonic saline-without dextran-inhibits neutrophil and endothelial cell activation.高渗盐水复苏创伤失血性休克患者时不添加右旋糖酐可抑制中性粒细胞和内皮细胞的激活。
Shock. 2012 Oct;38(4):341-50. doi: 10.1097/SHK.0b013e3182635aca.
7
Microcirculatory alterations: potential mechanisms and implications for therapy.微循环改变:潜在机制及治疗意义。
Ann Intensive Care. 2011 Jul 19;1(1):27. doi: 10.1186/2110-5820-1-27.
8
Out-of-hospital hypertonic resuscitation after traumatic hypovolemic shock: a randomized, placebo controlled trial.创伤性低血容量休克后院外高渗复苏:一项随机、安慰剂对照试验。
Ann Surg. 2011 Mar;253(3):431-41. doi: 10.1097/SLA.0b013e3181fcdb22.
9
The impact of fluid therapy on microcirculation and tissue oxygenation in hypovolemic patients: a review.失血性休克患者液体治疗对微循环和组织氧合的影响:综述。
Intensive Care Med. 2010 Aug;36(8):1299-308. doi: 10.1007/s00134-010-1912-7. Epub 2010 May 26.
10
Resuscitation with hypertonic saline-dextran reduces serum biomarker levels and correlates with outcome in severe traumatic brain injury patients.高渗盐水-右旋糖酐复苏可降低严重创伤性脑损伤患者的血清生物标志物水平,并与预后相关。
J Neurotrauma. 2009 Aug;26(8):1227-40. doi: 10.1089/neu.2008.0868.