Torralbo-Campo Lara, Bruce Graham D, Smirne Giuseppe, Cassettari Donatella
Scottish Universities Physics Alliance, School of Physics and Astronomy, University of St Andrews, North Haugh, St Andrews, Fife KY16 9SS, United Kingdom.
Sci Rep. 2015 Oct 13;5:14729. doi: 10.1038/srep14729.
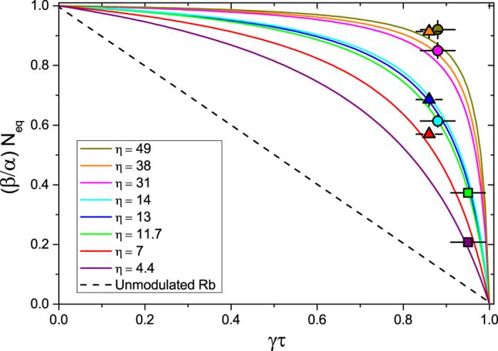
In recent years, light-induced atomic desorption (LIAD) of alkali atoms from the inner surface of a vacuum chamber has been employed in cold atom experiments for the purpose of modulating the alkali background vapour. This is beneficial because larger trapped atom samples can be loaded from vapour at higher pressure, after which the pressure is reduced to increase the lifetime of the sample. We present an analysis, based on the case of rubidium atoms adsorbed on pyrex, of various aspects of LIAD that are useful for this application. Firstly, we study the intensity dependence of LIAD by fitting the experimental data with a rate-equation model, from which we extract a correct prediction for the increase in trapped atom number. Following this, we quantify a figure of merit for the utility of LIAD in cold atom experiments and we show how it can be optimised for realistic experimental parameters.
近年来,在冷原子实验中,为了调节碱金属背景蒸汽,人们采用了从真空腔室内表面进行光致原子解吸(LIAD)的方法来处理碱金属原子。这样做是有益的,因为可以在更高的压力下从蒸汽中加载更大的捕获原子样本,之后降低压力以延长样本的寿命。我们基于吸附在派热克斯玻璃上的铷原子的情况,对LIAD在该应用中的各个方面进行了分析。首先,我们通过用速率方程模型拟合实验数据来研究LIAD的强度依赖性,从中我们提取出对捕获原子数增加的正确预测。在此之后,我们量化了LIAD在冷原子实验中的效用品质因数,并展示了如何针对实际实验参数对其进行优化。