Shah Imran, Setzer R Woodrow, Jack John, Houck Keith A, Judson Richard S, Knudsen Thomas B, Liu Jie, Martin Matthew T, Reif David M, Richard Ann M, Thomas Russell S, Crofton Kevin M, Dix David J, Kavlock Robert J
National Center for Computational Toxicology, Office of Research and Development, U.S. Environmental Protection Agency, Research Triangle Park, North Carolina, USA.
Environ Health Perspect. 2016 Jul;124(7):910-9. doi: 10.1289/ehp.1409029. Epub 2015 Oct 16.
High-content imaging (HCI) allows simultaneous measurement of multiple cellular phenotypic changes and is an important tool for evaluating the biological activity of chemicals.
Our goal was to analyze dynamic cellular changes using HCI to identify the "tipping point" at which the cells did not show recovery towards a normal phenotypic state.
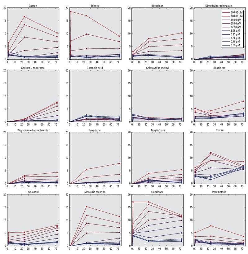
HCI was used to evaluate the effects of 967 chemicals (in concentrations ranging from 0.4 to 200 μM) on HepG2 cells over a 72-hr exposure period. The HCI end points included p53, c-Jun, histone H2A.x, α-tubulin, histone H3, alpha tubulin, mitochondrial membrane potential, mitochondrial mass, cell cycle arrest, nuclear size, and cell number. A computational model was developed to interpret HCI responses as cell-state trajectories.
Analysis of cell-state trajectories showed that 336 chemicals produced tipping points and that HepG2 cells were resilient to the effects of 334 chemicals up to the highest concentration (200 μM) and duration (72 hr) tested. Tipping points were identified as concentration-dependent transitions in system recovery, and the corresponding critical concentrations were generally between 5 and 15 times (25th and 75th percentiles, respectively) lower than the concentration that produced any significant effect on HepG2 cells. The remaining 297 chemicals require more data before they can be placed in either of these categories.
These findings show the utility of HCI data for reconstructing cell state trajectories and provide insight into the adaptation and resilience of in vitro cellular systems based on tipping points. Cellular tipping points could be used to define a point of departure for risk-based prioritization of environmental chemicals.
Shah I, Setzer RW, Jack J, Houck KA, Judson RS, Knudsen TB, Liu J, Martin MT, Reif DM, Richard AM, Thomas RS, Crofton KM, Dix DJ, Kavlock RJ. 2016. Using ToxCast™ data to reconstruct dynamic cell state trajectories and estimate toxicological points of departure. Environ Health Perspect 124:910-919; http://dx.doi.org/10.1289/ehp.1409029.
高内涵成像(HCI)能够同时测量多种细胞表型变化,是评估化学物质生物活性的重要工具。
我们的目标是使用HCI分析细胞动态变化,以确定细胞无法恢复到正常表型状态的“临界点”。
使用HCI评估967种化学物质(浓度范围为0.4至200μM)在72小时暴露期对HepG2细胞的影响。HCI终点包括p53、c-Jun、组蛋白H2A.x、α-微管蛋白、组蛋白H3、α-微管蛋白、线粒体膜电位、线粒体质量、细胞周期阻滞、核大小和细胞数量。开发了一个计算模型来将HCI反应解释为细胞状态轨迹。
细胞状态轨迹分析表明,336种化学物质产生了临界点,并且在测试的最高浓度(200μM)和持续时间(72小时)下,HepG2细胞对334种化学物质的影响具有恢复能力。临界点被确定为系统恢复中的浓度依赖性转变,相应的临界浓度通常比对HepG2细胞产生任何显著影响的浓度低5至15倍(分别为第25和第75百分位数)。其余297种化学物质在能够归入这两类中的任何一类之前需要更多数据。
这些发现表明了HCI数据在重建细胞状态轨迹方面的效用,并基于临界点提供了对体外细胞系统适应性和恢复能力的见解。细胞临界点可用于定义基于风险的环境化学物质优先级排序的出发点。
Shah I, Setzer RW, Jack J, Houck KA, Judson RS, Knudsen TB, Liu J, Martin MT, Reif DM, Richard AM, Thomas RS, Crofton KM, Dix DJ, Kavlock RJ. 2016. Using ToxCast™ data to reconstruct dynamic cell state trajectories and estimate toxicological points of departure. Environ Health Perspect 124:910-919; http://dx.doi.org/10.1289/ehp.1409029.