Liu Guomu, Li Qiongshu, Ni Weihua, Zhang Nannan, Zheng Xiao, Wang Yingshuai, Shao Dan, Tai Guixiang
Department of Immunology, College of Basic Medical Sciences, Jilin University, Changchun, People's Republic of China.
Department of Immunology, College of Basic Medical Sciences, Jilin University, Changchun, People's Republic of China ; Shenzhen Beike Cell Engineering Research Institute, Yuanxing Science and Technology Building, Nanshan, Shenzhe, People's Republic of China.
Int J Nanomedicine. 2015 Sep 30;10:6075-87. doi: 10.2147/IJN.S90887. eCollection 2015.
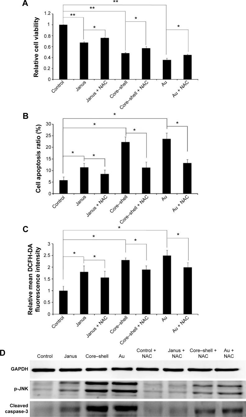
Recently, gold nanoparticles (AuNPs) have shown promising biological applications due to their unique electronic and optical properties. However, the potential toxicity of AuNPs remains a major hurdle that impedes their use in clinical settings. Mesoporous silica is very suitable for the use as a coating material for AuNPs and might not only reduce the cytotoxicity of cetyltrimethylammonium bromide-coated AuNPs but might also facilitate the loading and delivery of drugs. Herein, three types of rod-like gold-mesoporous silica nanoparticles (termed bare AuNPs, core-shell Au@mSiO2NPs, and Janus Au@mSiO2NPs) were specially designed, and the effects of these AuNPs on cellular uptake, toxic behavior, and mechanism were then systematically studied. Our results indicate that bare AuNPs exerted higher toxicity than the Au@mSiO2NPs and that Janus Au@mSiO2NPs exhibited the lowest toxicity in human breast cancer MCF-7 cells, consistent with the endocytosis capacity of the nanoparticles, which followed the order, bare AuNPs > core-shell Au@mSiO2NPs > Janus Au@mSiO2NPs. More importantly, the AuNPs-induced apoptosis of MCF-7 cells exhibited features that were characteristic of intracellular reactive oxygen species (ROS) generation, activation of c-Jun-N-terminal kinase (JNK) phosphorylation, an enhanced Bax-to-Bcl-2 ratio, and loss of the mitochondrial membrane potential. Simultaneously, cytochrome c was released from mitochondria, and the caspase-3/9 cascade was activated. Moreover, both ROS scavenger (N-acetylcysteine) and JNK inhibitor (SP600125) partly blocked the induction of apoptosis in all AuNPs-treated cells. Taken together, these findings suggest that all AuNPs induce apoptosis through the ROS-/JNK-mediated mitochondrial pathway. Thus, Janus Au@mSiO2NPs exhibit the potential for applications in biomedicine, thus aiding the clinical translation of AuNPs.
最近,金纳米颗粒(AuNPs)因其独特的电学和光学性质而展现出了有前景的生物学应用。然而,AuNPs的潜在毒性仍然是阻碍其在临床环境中应用的主要障碍。介孔二氧化硅非常适合用作AuNPs的包覆材料,它不仅可能降低十六烷基三甲基溴化铵包覆的AuNPs的细胞毒性,还可能促进药物的负载和递送。在此,特别设计了三种类型的棒状金 - 介孔二氧化硅纳米颗粒(分别称为裸AuNPs、核壳结构的Au@mSiO₂ NPs和双面结构的Janus Au@mSiO₂ NPs),然后系统地研究了这些AuNPs对细胞摄取、毒性行为及其机制的影响。我们的结果表明,在人乳腺癌MCF - 7细胞中,裸AuNPs比Au@mSiO₂ NPs具有更高的毒性,而双面结构的Janus Au@mSiO₂ NPs表现出最低的毒性,这与纳米颗粒的内吞能力一致,顺序为:裸AuNPs>核壳结构的Au@mSiO₂ NPs>双面结构的Janus Au@mSiO₂ NPs。更重要的是,AuNPs诱导的MCF - 7细胞凋亡表现出细胞内活性氧(ROS)生成、c - Jun氨基末端激酶(JNK)磷酸化激活、Bax与Bcl - 2比值升高以及线粒体膜电位丧失等特征。同时,细胞色素c从线粒体释放,半胱天冬酶 - 3/9级联反应被激活。此外,ROS清除剂(N - 乙酰半胱氨酸)和JNK抑制剂(SP600125)都部分阻断了所有AuNPs处理细胞中的凋亡诱导。综上所述,这些发现表明所有AuNPs都通过ROS - /JNK介导的线粒体途径诱导凋亡。因此,双面结构的Janus Au@mSiO₂ NPs展现出了在生物医学中的应用潜力,有助于AuNPs的临床转化。