Suppr超能文献

不同土壤改良剂种植棉花的叶面积指数和产量模拟模型

Simulation Models of Leaf Area Index and Yield for Cotton Grown with Different Soil Conditioners.

作者信息

Su Lijun, Wang Quanjiu, Wang Chunxia, Shan Yuyang

机构信息

School of Sciencem, Xi'an University of Technology, Xi'an, Shaanxi, China.

Institute of Water Resources and Hydro-electric Engineering, Xi'an University of Technology, Xi'an, Shaanxi, China.

出版信息

PLoS One. 2015 Nov 4;10(11):e0141835. doi: 10.1371/journal.pone.0141835. eCollection 2015.

Abstract

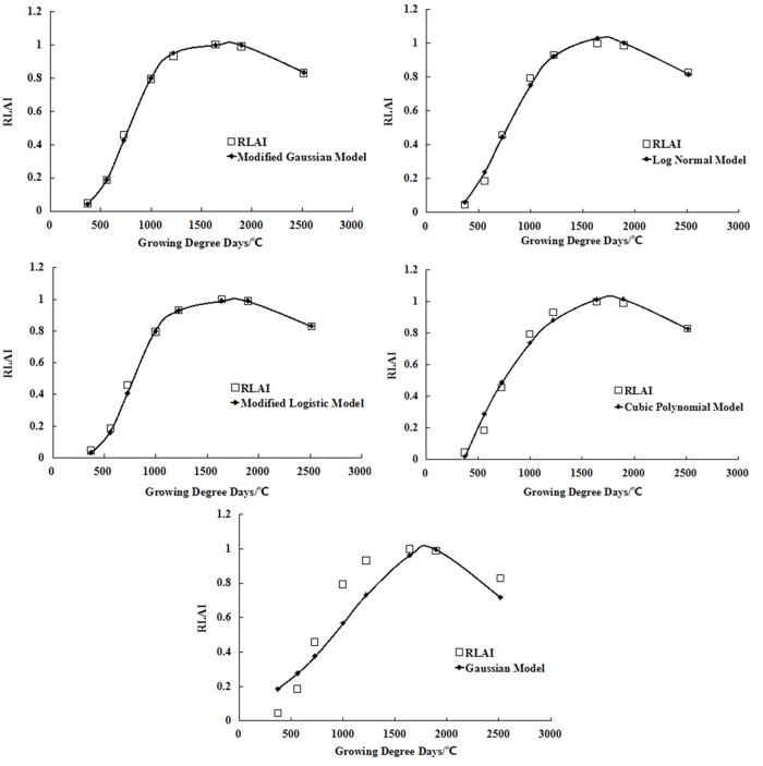
Simulation models of leaf area index (LAI) and yield for cotton can provide a theoretical foundation for predicting future variations in yield. This paper analyses the increase in LAI and the relationships between LAI, dry matter, and yield for cotton under three soil conditioners near Korla, Xinjiang, China. Dynamic changes in cotton LAI were evaluated using modified logistic, Gaussian, modified Gaussian, log normal, and cubic polynomial models. Universal models for simulating the relative leaf area index (RLAI) were established in which the application rate of soil conditioner was used to estimate the maximum LAI (LAIm). In addition, the relationships between LAIm and dry matter mass, yield, and the harvest index were investigated, and a simulation model for yield is proposed. A feasibility analysis of the models indicated that the cubic polynomial and Gaussian models were less accurate than the other three models for simulating increases in RLAI. Despite significant differences in LAIs under the type and amount of soil conditioner applied, LAIm could be described by aboveground dry matter using Michaelis-Menten kinetics. Moreover, the simulation model for cotton yield based on LAIm and the harvest index presented in this work provided important theoretical insights for improving water use efficiency in cotton cultivation and for identifying optimal application rates of soil conditioners.

摘要

棉花叶面积指数(LAI)和产量的模拟模型可为预测未来产量变化提供理论基础。本文分析了中国新疆库尔勒附近三种土壤改良剂作用下棉花LAI的增加情况以及LAI、干物质与产量之间的关系。使用修正逻辑斯蒂模型、高斯模型、修正高斯模型、对数正态模型和三次多项式模型评估棉花LAI的动态变化。建立了模拟相对叶面积指数(RLAI)的通用模型,其中土壤改良剂施用量用于估算最大LAI(LAIm)。此外,研究了LAIm与干物质质量、产量及收获指数之间的关系,并提出了产量模拟模型。对模型的可行性分析表明,在模拟RLAI增加方面,三次多项式模型和高斯模型不如其他三个模型准确。尽管施用的土壤改良剂类型和用量不同时LAI存在显著差异,但地上部干物质可用米氏动力学描述LAIm。此外,本文提出的基于LAIm和收获指数的棉花产量模拟模型,为提高棉花种植水分利用效率和确定土壤改良剂最佳施用量提供了重要的理论依据。

https://cdn.ncbi.nlm.nih.gov/pmc/blobs/051e/4633134/cec727e7d38b/pone.0141835.g001.jpg

文献AI研究员

20分钟写一篇综述,助力文献阅读效率提升50倍。

立即体验

用中文搜PubMed

大模型驱动的PubMed中文搜索引擎

马上搜索

文档翻译

学术文献翻译模型,支持多种主流文档格式。

立即体验