Suppr超能文献

治愈模型能让我们了解全基因组生存分析的哪些内容。

What Cure Models Can Teach us About Genome-Wide Survival Analysis.

作者信息

Stringer Sven, Denys Damiaan, Kahn René S, Derks Eske M

机构信息

Department of Complex Trait Genetics, Center for Neurogenomics and Cognitive Research (CNCR), Neuroscience Campus Amsterdam (NCA), VU Amsterdam, Amsterdam, The Netherlands.

Department of Psychiatry, Academic Medical Center, Amsterdam, The Netherlands.

出版信息

Behav Genet. 2016 Mar;46(2):269-80. doi: 10.1007/s10519-015-9764-0. Epub 2015 Nov 9.

Abstract

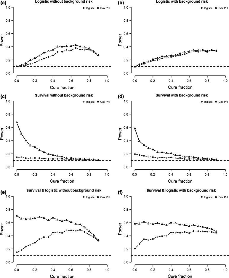
The aim of logistic regression is to estimate genetic effects on disease risk, while survival analysis aims to determine effects on age of onset. In practice, genetic variants may affect both types of outcomes. A cure survival model analyzes logistic and survival effects simultaneously. The aim of this simulation study is to assess the performance of logistic regression and traditional survival analysis under a cure model and to investigate the benefits of cure survival analysis. We simulated data under a cure model and varied the percentage of subjects at risk for disease (cure fraction), the logistic and survival effect sizes, and the contribution of genetic background risk factors. We then computed the error rates and estimation bias of logistic, Cox proportional hazards (PH), and cure PH analysis, respectively. The power of logistic and Cox PH analysis is sensitive to the cure fraction and background heritability. Our results show that traditional Cox PH analysis may erroneously detect age of onset effects if no such effects are present in the data. In the presence of genetic background risk even the cure model results in biased estimates of both the odds ratio and the hazard ratio. Cure survival analysis takes cure fractions into account and can be used to simultaneously estimate the effect of genetic variants on disease risk and age of onset. Since genome-wide cure survival analysis is not computationally feasible, we recommend this analysis for genetic variants that are significant in a traditional survival analysis.

摘要

逻辑回归的目的是估计基因对疾病风险的影响,而生存分析的目的是确定基因对发病年龄的影响。在实际中,基因变异可能会影响这两种结果。治愈生存模型可同时分析逻辑效应和生存效应。本模拟研究的目的是评估在治愈模型下逻辑回归和传统生存分析的性能,并探究治愈生存分析的优势。我们在治愈模型下模拟数据,并改变发病风险人群的百分比(治愈比例)、逻辑效应大小和生存效应大小,以及基因背景风险因素的贡献。然后,我们分别计算了逻辑回归、Cox比例风险(PH)分析和治愈PH分析的错误率和估计偏差。逻辑回归和Cox PH分析的效能对治愈比例和背景遗传率敏感。我们的结果表明,如果数据中不存在发病年龄效应,传统的Cox PH分析可能会错误地检测到这种效应。在存在基因背景风险的情况下,即使是治愈模型也会导致比值比和风险比的估计出现偏差。治愈生存分析考虑了治愈比例,可用于同时估计基因变异对疾病风险和发病年龄的影响。由于全基因组治愈生存分析在计算上不可行,我们建议对在传统生存分析中显著的基因变异进行这种分析。

https://cdn.ncbi.nlm.nih.gov/pmc/blobs/5874/4751180/549abab6cd21/10519_2015_9764_Fig1_HTML.jpg

文献AI研究员

20分钟写一篇综述,助力文献阅读效率提升50倍。

立即体验

用中文搜PubMed

大模型驱动的PubMed中文搜索引擎

马上搜索

文档翻译

学术文献翻译模型,支持多种主流文档格式。

立即体验