Suppr超能文献

牛奶开菲尔:成分、微生物培养物、生物活性及相关产品。

Milk kefir: composition, microbial cultures, biological activities, and related products.

作者信息

Prado Maria R, Blandón Lina Marcela, Vandenberghe Luciana P S, Rodrigues Cristine, Castro Guillermo R, Thomaz-Soccol Vanete, Soccol Carlos R

机构信息

Department of Bioprocess Engineering and Biotechnology, Federal University of Paraná Curitiba, Brazil.

Nanobiomaterials Laboratory, Institute of Applied Biotechnology - School of Sciences, Universidad Nacional de la Plata La Plata, Argentina.

出版信息

Front Microbiol. 2015 Oct 30;6:1177. doi: 10.3389/fmicb.2015.01177. eCollection 2015.

Abstract

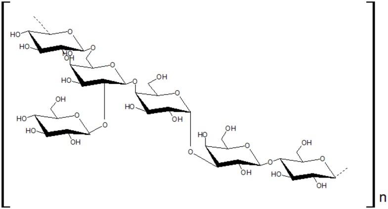
In recent years, there has been a strong focus on beneficial foods with probiotic microorganisms and functional organic substances. In this context, there is an increasing interest in the commercial use of kefir, since it can be marketed as a natural beverage that has health promoting bacteria. There are numerous commercially available kefir based-products. Kefir may act as a matrix in the effective delivery of probiotic microorganisms in different types of products. Also, the presence of kefir's exopolysaccharides, known as kefiran, which has biological activity, certainly adds value to products. Kefiran can also be used separately in other food products and as a coating film for various food and pharmaceutical products. This article aims to update the information about kefir and its microbiological composition, biological activity of the kefir's microflora and the importance of kefiran as a beneficial health substance.

摘要

近年来,人们一直高度关注含有益生菌微生物和功能性有机物质的有益食品。在这种背景下,开菲尔的商业用途越来越受到关注,因为它可以作为一种含有促进健康细菌的天然饮料进行销售。有许多基于开菲尔的市售产品。开菲尔可以作为一种基质,有效地将益生菌微生物递送到不同类型的产品中。此外,开菲尔中存在的被称为开菲尔多糖的胞外多糖具有生物活性,这无疑为产品增加了价值。开菲尔多糖也可以单独用于其他食品中,并用作各种食品和药品的涂膜。本文旨在更新有关开菲尔及其微生物组成、开菲尔微生物群落的生物活性以及开菲尔多糖作为有益健康物质的重要性的信息。

https://cdn.ncbi.nlm.nih.gov/pmc/blobs/8dbe/4626640/4b4612f7ffdc/fmicb-06-01177-g001.jpg

文献AI研究员

20分钟写一篇综述,助力文献阅读效率提升50倍。

立即体验

用中文搜PubMed

大模型驱动的PubMed中文搜索引擎

马上搜索

文档翻译

学术文献翻译模型,支持多种主流文档格式。

立即体验