Del Valle José C, Buide Ma L, Casimiro-Soriguer Inés, Whittall Justen B, Narbona Eduardo
Área de Botánica, Departamento de Biología Molecular e Ingeniería Bioquímica, Universidad Pablo de Olavide Seville, Spain.
Department of Biology, College of Arts and Sciences, Santa Clara University Santa Clara, CA, USA.
Front Plant Sci. 2015 Oct 29;6:939. doi: 10.3389/fpls.2015.00939. eCollection 2015.
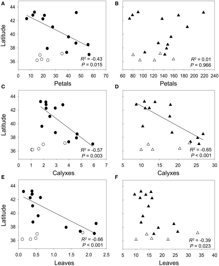
The presence of anthocyanins in flowers and fruits is frequently attributed to attracting pollinators and dispersers. In vegetative organs, anthocyanins and other non-pigmented flavonoids such as flavones and flavonols may serve protective functions against UV radiation, cold, heat, drought, salinity, pathogens, and herbivores; thus, these compounds are usually produced as a plastic response to such stressors. Although, the independent accumulation of anthocyanins in reproductive and vegetative tissues is commonly postulated due to differential regulation, the accumulation of flavonoids within and among populations has never been thoroughly compared. Here, we investigated the shore campion (Silene littorea, Caryophyllaceae) which exhibits variation in anthocyanin accumulation in its floral and vegetative tissues. We examined the in-situ accumulation of flavonoids in floral (petals and calyxes) and vegetative organs (leaves) from 18 populations representing the species' geographic distribution. Each organ exhibited considerable variability in the content of anthocyanins and other flavonoids both within and among populations. In all organs, anthocyanin and other flavonoids were correlated. At the plant level, the flavonoid content in petals, calyxes, and leaves was not correlated in most of the populations. However, at the population level, the mean amount of anthocyanins in all organs was positively correlated, which suggests that the variable environmental conditions of populations may play a role in anthocyanin accumulation. These results are unexpected because the anthocyanins are usually constitutive in petals, yet contingent to environmental conditions in calyxes and leaves. Anthocyanin variation in petals may influence pollinator attraction and subsequent plant reproduction, yet the amount of anthocyanins may be a direct response to environmental factors. In populations on the west coast, a general pattern of increasing accumulation of flavonoids toward southern latitudes was observed in calyxes and leaves. This pattern corresponds to a gradual increase of UV-B radiation and temperature, and a decrease of rainfall toward the south. However, populations along the southern coast exposed to similar climatic stressors showed highly variable flavonoid contents, implying that other factors may play a role in flavonoid accumulation.
花朵和果实中花青素的存在通常被认为是为了吸引传粉者和种子传播者。在营养器官中,花青素和其他非色素类黄酮,如黄酮和黄酮醇,可能具有抵御紫外线辐射、寒冷、高温、干旱、盐度、病原体和食草动物的保护功能;因此,这些化合物通常作为对这些压力源的可塑性反应而产生。尽管通常假定由于调控差异,花青素在生殖组织和营养组织中独立积累,但从未对种群内部和种群之间类黄酮的积累进行过全面比较。在这里,我们研究了海滨剪秋罗(Silene littorea,石竹科),其在花和营养组织中花青素积累表现出变异。我们检查了代表该物种地理分布的18个种群的花(花瓣和花萼)和营养器官(叶子)中类黄酮的原位积累情况。每个器官在种群内部和种群之间的花青素和其他类黄酮含量都表现出相当大的变异性。在所有器官中,花青素和其他类黄酮都具有相关性。在植株水平上,大多数种群中花瓣、花萼和叶子中的类黄酮含量没有相关性。然而,在种群水平上,所有器官中花青素的平均含量呈正相关,这表明种群可变的环境条件可能在花青素积累中起作用。这些结果出人意料,因为花青素通常在花瓣中是组成型的,但在花萼和叶子中则取决于环境条件。花瓣中花青素的变异可能会影响传粉者的吸引力以及随后的植物繁殖,但花青素的含量可能是对环境因素的直接反应。在西海岸的种群中,在花萼和叶子中观察到类黄酮积累朝着南纬方向总体上有增加的趋势。这种模式与紫外线 - B辐射和温度逐渐升高以及降雨向南减少相对应。然而,南部海岸面临类似气候压力的种群显示出类黄酮含量高度可变,这意味着其他因素可能在类黄酮积累中起作用。