Suppr超能文献

地塞米松对人体全身和肺部抗炎作用的解离。

Dissociation between systemic and pulmonary anti-inflammatory effects of dexamethasone in humans.

作者信息

Bartko Johann, Stiebellehner Leopold, Derhaschnig Ulla, Schoergenhofer Christian, Schwameis Michael, Prosch Helmut, Jilma Bernd

机构信息

Department of Clinical Pharmacology, Medical University of Vienna, Vienna, Austria.

Department of Pulmonology, Medical University of Vienna, Vienna, Austria.

出版信息

Br J Clin Pharmacol. 2016 May;81(5):865-77. doi: 10.1111/bcp.12857. Epub 2016 Jan 15.

Abstract

AIMS

The local pulmonary inflammatory response has a different temporal and qualitative profile compared with the systemic inflammatory response. Although glucocorticoids substantially downregulate the systemic release of acute-phase mediators, it is not clear whether they have comparable inhibitory effects in the human lung compartment. Therefore, we compared the anti-inflammatory effects of a pure glucocorticoid agonist, dexamethasone, on bronchoalveolar lavage and blood cytokine concentrations in response to bronchially instilled endotoxin.

METHODS

In this randomized, double-blind and placebo-controlled trial, 24 volunteers received dexamethasone or placebo and had endotoxin instilled into a lung segment and saline instilled into a contralateral segment, followed by bronchoalveolar lavage.

RESULTS

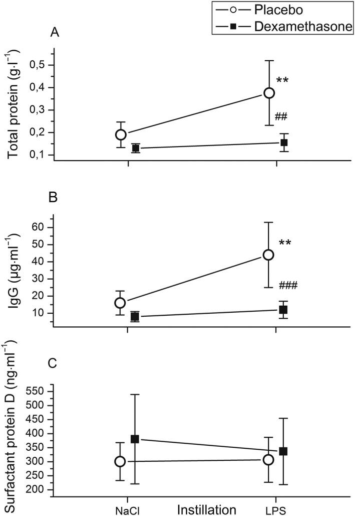
Bronchially instilled endotoxin induced a local and systemic inflammatory response. Dexamethasone strongly blunted the systemic interleukin (IL) 6 and C-reactive protein release. In sharp contrast, dexamethasone left the local release of acute-phase mediators in the lungs virtually unchanged: bronchoalveolar lavage levels of IL-6 were only 18% lower and levels of IL-8 were even higher with dexamethasone compared with placebo, although the differences between treatments were not statistically significant (P = 0.07 and P = 0.08, respectively). However, dexamethasone had inhibitory effects on pulmonary protein extravasation and neutrophil migration.

CONCLUSIONS

The present study demonstrated a remarkable dissociation between the systemic anti-inflammatory effects of glucocorticoids and its protective effects on capillary leak on the one hand and surprisingly low anti-inflammatory effects in the lungs on the other.

摘要

目的

与全身炎症反应相比,局部肺部炎症反应具有不同的时间和性质特征。尽管糖皮质激素可显著下调急性期介质的全身释放,但它们在人肺组织中是否具有类似的抑制作用尚不清楚。因此,我们比较了一种纯糖皮质激素激动剂地塞米松对支气管肺泡灌洗和血液中细胞因子浓度的抗炎作用,这些细胞因子浓度是对支气管内注入内毒素的反应。

方法

在这项随机、双盲和安慰剂对照试验中,24名志愿者接受地塞米松或安慰剂,并将内毒素注入一个肺段,将生理盐水注入对侧肺段,随后进行支气管肺泡灌洗。

结果

支气管内注入内毒素可诱导局部和全身炎症反应。地塞米松强烈抑制全身白细胞介素(IL)-6和C反应蛋白的释放。形成鲜明对比的是,地塞米松使肺组织中急性期介质的局部释放几乎未发生变化:与安慰剂相比,地塞米松处理后支气管肺泡灌洗中IL-6水平仅降低18%,而IL-8水平甚至更高,尽管各处理组之间的差异无统计学意义(分别为P = 0.07和P = 0.08)。然而,地塞米松对肺组织蛋白外渗和中性粒细胞迁移具有抑制作用。

结论

本研究表明,一方面糖皮质激素的全身抗炎作用与其对毛细血管渗漏的保护作用之间存在显著分离,另一方面其在肺组织中的抗炎作用出人意料地低。

https://cdn.ncbi.nlm.nih.gov/pmc/blobs/ccd5/4834593/0827cfc44101/BCP-81-0865-g001.jpg

文献AI研究员

20分钟写一篇综述,助力文献阅读效率提升50倍。

立即体验

用中文搜PubMed

大模型驱动的PubMed中文搜索引擎

马上搜索

文档翻译

学术文献翻译模型,支持多种主流文档格式。

立即体验