Suppr超能文献

狸藻多糖组分可增强罗非鱼对嗜水气单胞菌的免疫功能和抗病能力。

Chlorophytum borivilianum Polysaccharide Fraction Provokes the Immune Function and Disease Resistance of Labeo rohita against Aeromonas hydrophila.

机构信息

Laboratory of Aquatic Biomedicine, College of Veterinary Medicine and Research Institute for Veterinary Science, Seoul National University, Seoul 151742, Republic of Korea.

School of Life Sciences, Jawaharlal Nehru University, New Delhi 110067, India.

出版信息

J Immunol Res. 2015;2015:256510. doi: 10.1155/2015/256510. Epub 2015 Nov 15.

Abstract

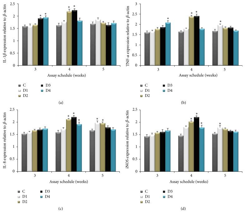
The present study aimed to investigate the effects of Chlorophytum borivilianum polysaccharide (CBP), as a dietary supplement administered at varying concentrations with feed (basal diet), on various cytokine-related responses in Labeo rohita fingerlings. Immune parameters and immune-related gene expressions were measured at 3rd, 4th, and 5th week after feeding. The results revealed that dietary administration of CBP at 0.2% and 0.4% for 4 weeks significantly upregulated serum lysozyme and phagocytic activity. Complement C3 and respiratory burst activity (RBA) were significantly higher after 4 weeks of CBP feeding. The immune related genes IL-8, IL-1β, TNF-α, and iNOS were downregulated (P < 0.05) in groups with 0.2% and 0.4% CBP supplemented diets at week 4. Expression of anti-inflammatory cytokines (IL-10 and TGF-β) was also downregulated (P < 0.5) after 4 weeks of feeding with 0.2% to 0.8% CBP. However, five weeks of CBP administration had no significant effect on immune gene expression, except TNF-α and IL-8. Fish fed with 0.4% CBP for 4 weeks showed maximum resistance against Aeromonas hydrophila (73.3% survival) compared to control. From these results, we recommend that CBP administration at 0.4% for 4 weeks could effectively improve immune response and disease resistance in L. rohita.

摘要

本研究旨在探讨菝葜多糖(CBP)作为饲料添加剂(基础饲料),以不同浓度添加到饲料中,对罗非鱼仔鱼各种细胞因子相关反应的影响。在投喂后第 3、4 和 5 周测量了免疫参数和免疫相关基因表达。结果表明,连续 4 周投喂 0.2%和 0.4%的 CBP 可显著上调血清溶菌酶和吞噬活性。4 周 CBP 喂养后补体 C3 和呼吸爆发活性(RBA)显著升高。在添加 0.2%和 0.4% CBP 的饲料组中,免疫相关基因 IL-8、IL-1β、TNF-α 和 iNOS 在第 4 周时下调(P<0.05)。4 周 CBP 喂养后,抗炎细胞因子(IL-10 和 TGF-β)的表达也下调(P<0.5)。然而,连续 5 周 CBP 给药除了 TNF-α和 IL-8 外,对免疫基因表达没有显著影响。与对照组相比,连续 4 周投喂 0.4% CBP 的鱼对嗜水气单胞菌的抵抗力最高(存活率为 73.3%)。根据这些结果,我们建议连续 4 周投喂 0.4%的 CBP 可以有效提高罗非鱼的免疫反应和抗病能力。

https://cdn.ncbi.nlm.nih.gov/pmc/blobs/0b3f/4662973/271a3b916765/JIR2015-256510.001.jpg

文献AI研究员

20分钟写一篇综述,助力文献阅读效率提升50倍。

立即体验

用中文搜PubMed

大模型驱动的PubMed中文搜索引擎

马上搜索

文档翻译

学术文献翻译模型,支持多种主流文档格式。

立即体验