Quintard Hervé, Leduc Sébastien, Ferrari Patricia, Petit Isabelle, Ichai Carole
Intensive Care Unit, Hôpital Pasteur 2, Nice University Hospital, 30 Voie Romaine, Nice, 06000, France.
Department of Biochemistry, Hôpital Pasteur 1, Nice University Hospital, Nice, 06000, France.
Crit Care. 2016 Feb 3;20:33. doi: 10.1186/s13054-016-1200-1.
Protein S100β (PS100 β) and neuron specific enolase (NSE) have been described as biological markers of neuronal damage. The purpose of our study was to assess the prognosis thresholds of these biomarkers in subarachnoid aneurysmal hemorrhage (SAH).
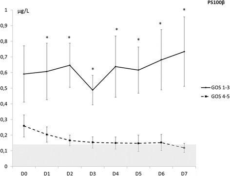
Forty eight patients admitted following SAH were treated by endovascular coiling. Initial neurologic severity was assessed using the World Federation Neurologic Surgeons (WFNS), Fisher grades, initial Glasgow coma scale (GCS) and SAPS II. PS100β and NSE plasma concentration were measured daily within the first week. The primary endpoint of the study was the 6-month Glasgow Outcome Score (GOS) dichotomized as poor (GOS 1-3) or good (GOS 4-5).
A poor outcome at 6-months was associated with significant higher levels of S100β value from day 1 to day 7, whereas NSE values were significantly higher from day 5 to day 7. Best threshold value, for prognosis, was obtained at day 5 for PS100β >0.13 μg/L (specificity 0.95 95% confidence interval (CI) 0.74-1; sensitivity 0.83 95% CI 0.65-0.93) and day 7 for NSE >14.5 μg/L (specificity 0.90 95% CI 0.67-0.98); sensitivity (0.69 95% CI 0.51-0.83)). After multivariate logistic analysis, only PS100β at day 5 and SAPS II enabled to predict neurological outcome at 6 months (p<0.05).
PS100β >0.13 μg/L at day 5 is an independent predicting factor of poor neurological outcome at 6 months following SAH. This result could support the use of this biomarker at the acute phase of SAH to help physician determine the prognosis.
蛋白S100β(PS100β)和神经元特异性烯醇化酶(NSE)已被描述为神经元损伤的生物标志物。我们研究的目的是评估这些生物标志物在蛛网膜下腔动脉瘤性出血(SAH)中的预后阈值。
48例SAH后入院的患者接受了血管内栓塞治疗。使用世界神经外科医师联合会(WFNS)、Fisher分级、初始格拉斯哥昏迷量表(GCS)和简化急性生理学评分II(SAPS II)评估初始神经功能严重程度。在第一周内每天测量PS100β和NSE血浆浓度。研究的主要终点是6个月格拉斯哥预后评分(GOS),分为差(GOS 1-3)或好(GOS 4-5)。
6个月时预后差与第1天至第7天S100β值显著升高相关,而NSE值从第5天至第7天显著升高。PS100β>0.13μg/L在第5天(特异性0.95,95%置信区间(CI)0.74-1;敏感性0.83,95%CI 0.65-0.93)和NSE>14.5μg/L在第7天(特异性0.90,95%CI 0.67-0.98;敏感性0.69,95%CI 0.51-0.83)获得最佳预后阈值。多因素逻辑分析后,仅第5天的PS100β和SAPS II能够预测6个月时的神经功能结局(p<0.05)。
SAH后第5天PS100β>0.13μg/L是6个月时神经功能预后差的独立预测因素。这一结果可能支持在SAH急性期使用该生物标志物,以帮助医生确定预后。