• 文献检索
  • 文档翻译
  • 深度研究
  • 学术资讯
  • Suppr Zotero 插件Zotero 插件
  • 邀请有礼
  • 套餐&价格
  • 历史记录
应用&插件
Suppr Zotero 插件Zotero 插件浏览器插件Mac 客户端Windows 客户端微信小程序
定价
高级版会员购买积分包购买API积分包
服务
文献检索文档翻译深度研究API 文档MCP 服务
关于我们
关于 Suppr公司介绍联系我们用户协议隐私条款
关注我们

Suppr 超能文献

核心技术专利:CN118964589B侵权必究
粤ICP备2023148730 号-1Suppr @ 2026

文献检索

告别复杂PubMed语法,用中文像聊天一样搜索,搜遍4000万医学文献。AI智能推荐,让科研检索更轻松。

立即免费搜索

文件翻译

保留排版,准确专业,支持PDF/Word/PPT等文件格式,支持 12+语言互译。

免费翻译文档

深度研究

AI帮你快速写综述,25分钟生成高质量综述,智能提取关键信息,辅助科研写作。

立即免费体验

抑制JAK-STAT、ERK/MAPK和糖原合酶激酶-3可诱导牛诱导多能干细胞基因表达谱的变化。

Inhibition of JAK-STAT ERK/MAPK and Glycogen Synthase Kinase-3 Induces a Change in Gene Expression Profile of Bovine Induced Pluripotent Stem Cells.

作者信息

Malaver-Ortega Luis F, Sumer Huseyin, Liu Jun, Verma Paul J

机构信息

CSIRO Health & Biosecurity, East Geelong, VIC 3219, Australia; Monash Institute for Medical Research, Monash University, Clayton, VIC 3168, Australia.

Faculty of Science, Engineering and Technology, Swinburne University of Technology, Hawthorn, VIC 3122, Australia.

出版信息

Stem Cells Int. 2016;2016:5127984. doi: 10.1155/2016/5127984. Epub 2016 Jan 6.

DOI:10.1155/2016/5127984
PMID:26880968
原文链接:https://pmc.ncbi.nlm.nih.gov/articles/PMC4736581/
Abstract

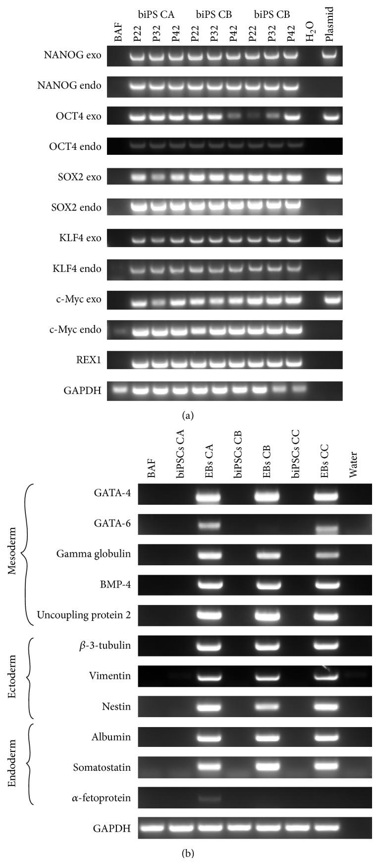
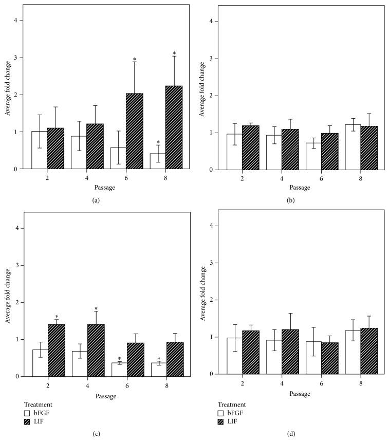
Pluripotent stem cells (PSCs) fall in two states, one highly undifferentiated, the naïve state, and the primed state, characterized by the inability to contribute to germinal lineage. Several reports have demonstrated that these states can be modified by changes to the cell culture conditions. With the advent of nuclear reprogramming, bovine induced pluripotent stem cells (biPSCs) have been generated. These cells represent examples of a transient-intermediate state of pluripotency with remarkable characteristics and biotechnological potential. Herein, we generated and characterized biPSC. Next, we evaluated different culture conditions for the ability to affect the expression of the set of core pluripotent transcription factors in biPSC. It was found that the use of 6-bromoindirubin-3-oxime and Sc1 inhibitors alone or in combination with 5-AzaC induced significantly higher levels of expression of endogenous REX1, OCT4, NANOG, and SOX2. Furthermore, LIF increased the levels of expression of OCT4 and REX1, compared with those cultured with LIF + bFGF. By contrast, bFGF decreased the levels of expression for both REX1 and OCT4. These results demonstrate that the biPSC gene expression profile is malleable by modification of the cell culture conditions well after nuclear reprogramming, and the culture conditions may determine their differentiation potential.

摘要

多能干细胞(PSCs)处于两种状态,一种是高度未分化的原始状态,另一种是始发态,其特征是无法分化为生殖系细胞。多项报告表明,这些状态可通过改变细胞培养条件来改变。随着核重编程技术的出现,已成功诱导出牛诱导多能干细胞(biPSCs)。这些细胞代表了一种具有显著特征和生物技术潜力的多能性瞬时中间状态。在此,我们成功诱导并鉴定了biPSCs。接下来,我们评估了不同培养条件对biPSCs中一组核心多能转录因子表达的影响。结果发现,单独使用6-溴靛玉红-3-肟和Sc1抑制剂或与5-氮杂胞苷联合使用,可显著提高内源性REX1、OCT4、NANOG和SOX2的表达水平。此外,与在LIF + bFGF条件下培养的细胞相比,LIF可提高OCT4和REX1的表达水平。相反,bFGF会降低REX1和OCT4的表达水平。这些结果表明,在核重编程后,通过改变细胞培养条件可以改变biPSCs的基因表达谱,并且培养条件可能决定它们的分化潜能。

https://cdn.ncbi.nlm.nih.gov/pmc/blobs/03a1/4736581/d681c8c38f5a/SCI2016-5127984.006.jpg
https://cdn.ncbi.nlm.nih.gov/pmc/blobs/03a1/4736581/0e852dea9932/SCI2016-5127984.001.jpg
https://cdn.ncbi.nlm.nih.gov/pmc/blobs/03a1/4736581/349fc44c5676/SCI2016-5127984.002.jpg
https://cdn.ncbi.nlm.nih.gov/pmc/blobs/03a1/4736581/db59d1f3c676/SCI2016-5127984.003.jpg
https://cdn.ncbi.nlm.nih.gov/pmc/blobs/03a1/4736581/1f6bc14fc357/SCI2016-5127984.004.jpg
https://cdn.ncbi.nlm.nih.gov/pmc/blobs/03a1/4736581/128ab4567c94/SCI2016-5127984.005.jpg
https://cdn.ncbi.nlm.nih.gov/pmc/blobs/03a1/4736581/d681c8c38f5a/SCI2016-5127984.006.jpg
https://cdn.ncbi.nlm.nih.gov/pmc/blobs/03a1/4736581/0e852dea9932/SCI2016-5127984.001.jpg
https://cdn.ncbi.nlm.nih.gov/pmc/blobs/03a1/4736581/349fc44c5676/SCI2016-5127984.002.jpg
https://cdn.ncbi.nlm.nih.gov/pmc/blobs/03a1/4736581/db59d1f3c676/SCI2016-5127984.003.jpg
https://cdn.ncbi.nlm.nih.gov/pmc/blobs/03a1/4736581/1f6bc14fc357/SCI2016-5127984.004.jpg
https://cdn.ncbi.nlm.nih.gov/pmc/blobs/03a1/4736581/128ab4567c94/SCI2016-5127984.005.jpg
https://cdn.ncbi.nlm.nih.gov/pmc/blobs/03a1/4736581/d681c8c38f5a/SCI2016-5127984.006.jpg

相似文献

1
Inhibition of JAK-STAT ERK/MAPK and Glycogen Synthase Kinase-3 Induces a Change in Gene Expression Profile of Bovine Induced Pluripotent Stem Cells.抑制JAK-STAT、ERK/MAPK和糖原合酶激酶-3可诱导牛诱导多能干细胞基因表达谱的变化。
Stem Cells Int. 2016;2016:5127984. doi: 10.1155/2016/5127984. Epub 2016 Jan 6.
2
Generation of Naïve Bovine Induced Pluripotent Stem Cells Using PiggyBac Transposition of Doxycycline-Inducible Transcription Factors.利用强力霉素诱导转录因子的猪尾巴病毒转座产生原始牛诱导多能干细胞
PLoS One. 2015 Aug 19;10(8):e0135403. doi: 10.1371/journal.pone.0135403. eCollection 2015.
3
Acquisition and maintenance of pluripotency are influenced by fibroblast growth factor, leukemia inhibitory factor, and 2i in bovine-induced pluripotent stem cells.在牛诱导多能干细胞中,多能性的获得与维持受成纤维细胞生长因子、白血病抑制因子和2i的影响。
Front Cell Dev Biol. 2022 Sep 14;10:938709. doi: 10.3389/fcell.2022.938709. eCollection 2022.
4
bFGF-mediated pluripotency maintenance in human induced pluripotent stem cells is associated with NRAS-MAPK signaling.碱性成纤维细胞生长因子(bFGF)介导的人诱导多能干细胞的多能性维持与 NRAS-MAPK 信号通路有关。
Cell Commun Signal. 2018 Dec 5;16(1):96. doi: 10.1186/s12964-018-0307-1.
5
Establishment of Bovine-Induced Pluripotent Stem Cells.牛诱导多能干细胞的建立。
Int J Mol Sci. 2021 Sep 28;22(19):10489. doi: 10.3390/ijms221910489.
6
Breaking down pluripotency in the porcine embryo reveals both a premature and reticent stem cell state in the inner cell mass and unique expression profiles of the naive and primed stem cell states.打破猪胚胎中的多能性揭示了内细胞团中一种过早且沉默的干细胞状态以及原始态和启动态干细胞状态的独特表达谱。
Stem Cells Dev. 2014 Sep 1;23(17):2030-45. doi: 10.1089/scd.2013.0502. Epub 2014 Jun 20.
7
WNT/β-catenin signaling affects cell lineage and pluripotency-specific gene expression in bovine blastocysts: prospects for bovine embryonic stem cell derivation.WNT/β-连环蛋白信号通路影响牛囊胚中的细胞谱系和多能性特异性基因表达:牛胚胎干细胞衍生的前景
Stem Cells Dev. 2015 Oct 15;24(20):2437-54. doi: 10.1089/scd.2015.0053. Epub 2015 Aug 18.
8
Reactivation of Endogenous Genes and Epigenetic Remodeling Are Barriers for Generating Transgene-Free Induced Pluripotent Stem Cells in Pig.内源性基因的重新激活和表观遗传重塑是在猪中生成无转基因诱导多能干细胞的障碍。
PLoS One. 2016 Jun 23;11(6):e0158046. doi: 10.1371/journal.pone.0158046. eCollection 2016.
9
Small-Molecule Induction of Canine Embryonic Stem Cells Toward Naïve Pluripotency.小分子诱导犬胚胎干细胞向原始多能性转变
Stem Cells Dev. 2016 Aug 15;25(16):1208-22. doi: 10.1089/scd.2016.0103. Epub 2016 Jul 28.
10
Attempting to Convert Primed Porcine Embryonic Stem Cells into a Naive State Through the Overexpression of Reprogramming Factors.通过过表达重编程因子尝试将预激活的猪胚胎干细胞转化为原始态
Cell Reprogram. 2018 Oct;20(5):289-300. doi: 10.1089/cell.2017.0071.

引用本文的文献

1
Bovine Peripheral Blood-Derived Mesenchymal Stem Cells (PB-MSCs) and Spermatogonial Stem Cells (SSCs) Display Contrasting Expression Patterns of Pluripotency and Germ Cell Markers under the Effect of Sertoli Cell Conditioned Medium.牛外周血间充质干细胞(PB-MSCs)和精原干细胞(SSCs)在支持细胞条件培养基的作用下,多能性和生殖细胞标志物呈现出相反的表达模式。
Animals (Basel). 2024 Mar 5;14(5):803. doi: 10.3390/ani14050803.
2
iPSC Therapy for Myocardial Infarction in Large Animal Models: Land of Hope and Dreams.诱导多能干细胞治疗大型动物模型心肌梗死:希望与梦想之地
Biomedicines. 2021 Dec 5;9(12):1836. doi: 10.3390/biomedicines9121836.
3

本文引用的文献

1
Derivation and characterization of bovine induced pluripotent stem cells by transposon-mediated reprogramming.通过转座子介导的重编程诱导牛多能干细胞的产生与特性分析。
Cell Reprogram. 2015 Apr;17(2):131-40. doi: 10.1089/cell.2014.0080.
2
Deterministic direct reprogramming of somatic cells to pluripotency.体细胞确定性直接重编程为多能性。
Nature. 2013 Oct 3;502(7469):65-70. doi: 10.1038/nature12587. Epub 2013 Sep 18.
3
Small molecules, big roles -- the chemical manipulation of stem cell fate and somatic cell reprogramming.
Establishment of Bovine-Induced Pluripotent Stem Cells.
牛诱导多能干细胞的建立。
Int J Mol Sci. 2021 Sep 28;22(19):10489. doi: 10.3390/ijms221910489.
4
Strategy to Establish Embryo-Derived Pluripotent Stem Cells in Cattle.建立牛胚胎干细胞的策略。
Int J Mol Sci. 2021 May 9;22(9):5011. doi: 10.3390/ijms22095011.
5
Induced pluripotent stem cells from farm animals.来自家畜的诱导多能干细胞。
J Anim Sci. 2020 Nov 1;98(11). doi: 10.1093/jas/skaa343.
6
Effect of astragalosides on long non-coding RNA expression profiles in rats with adjuvant-induced arthritis.黄芪甲苷对佐剂诱导关节炎大鼠长链非编码 RNA 表达谱的影响。
Int J Mol Med. 2019 Oct;44(4):1344-1356. doi: 10.3892/ijmm.2019.4281. Epub 2019 Jul 22.
7
Generation of germ cells from pluripotent stem cells in mammals.哺乳动物中多能干细胞生成生殖细胞。
Reprod Med Biol. 2017 Dec 10;17(2):107-114. doi: 10.1002/rmb2.12077. eCollection 2018 Apr.
小分子,大作用——化学操纵干细胞命运和体细胞重编程。
J Cell Sci. 2012 Dec 1;125(Pt 23):5609-20. doi: 10.1242/jcs.096032.
4
An indirect approach to generating specific human cell types.一种生成特定人类细胞类型的间接方法。
Nat Methods. 2013 Jan;10(1):44-5. doi: 10.1038/nmeth.2325.
5
Why is it so difficult to derive pluripotent stem cells in domestic ungulates?为什么在家养有蹄类动物中获得多能干细胞如此困难?
Reprod Domest Anim. 2012 Aug;47 Suppl 5:11-7. doi: 10.1111/j.1439-0531.2012.02106.x.
6
Molecular mechanisms and pathways involved in bovine embryonic genome activation and their regulation by alternative in vivo and in vitro culture conditions.牛胚胎基因组激活所涉及的分子机制和途径及其在不同的体内和体外培养条件下的调控。
Biol Reprod. 2012 Oct 25;87(4):100. doi: 10.1095/biolreprod.112.099697. Print 2012 Oct.
7
The state of the art for pluripotent stem cells derivation in domestic ungulates.家畜多能干细胞诱导的最新技术进展。
Theriogenology. 2012 Nov;78(8):1749-62. doi: 10.1016/j.theriogenology.2012.03.031. Epub 2012 May 11.
8
Characterization of bovine induced pluripotent stem cells by lentiviral transduction of reprogramming factor fusion proteins.通过慢病毒转导重编程因子融合蛋白对牛诱导多能干细胞进行表征。
Int J Biol Sci. 2012;8(4):498-511. doi: 10.7150/ijbs.3723. Epub 2012 Mar 21.
9
A virus-free poly-promoter vector induces pluripotency in quiescent bovine cells under chemically defined conditions of dual kinase inhibition.无病毒多启动子载体在双激酶抑制的化学定义条件下诱导静止牛细胞的多能性。
PLoS One. 2011;6(9):e24501. doi: 10.1371/journal.pone.0024501. Epub 2011 Sep 2.
10
Generation of induced pluripotent stem cells from bovine embryonic fibroblast cells.从牛胚胎成纤维细胞中诱导生成多能干细胞。
Cell Res. 2011 Oct;21(10):1509-12. doi: 10.1038/cr.2011.125. Epub 2011 Aug 9.