• 文献检索
  • 文档翻译
  • 深度研究
  • 学术资讯
  • Suppr Zotero 插件Zotero 插件
  • 邀请有礼
  • 套餐&价格
  • 历史记录
应用&插件
Suppr Zotero 插件Zotero 插件浏览器插件Mac 客户端Windows 客户端微信小程序
定价
高级版会员购买积分包购买API积分包
服务
文献检索文档翻译深度研究API 文档MCP 服务
关于我们
关于 Suppr公司介绍联系我们用户协议隐私条款
关注我们

Suppr 超能文献

核心技术专利:CN118964589B侵权必究
粤ICP备2023148730 号-1Suppr @ 2026

文献检索

告别复杂PubMed语法,用中文像聊天一样搜索,搜遍4000万医学文献。AI智能推荐,让科研检索更轻松。

立即免费搜索

文件翻译

保留排版,准确专业,支持PDF/Word/PPT等文件格式,支持 12+语言互译。

免费翻译文档

深度研究

AI帮你快速写综述,25分钟生成高质量综述,智能提取关键信息,辅助科研写作。

立即免费体验

有毒硅藻醛影响海胆的防御基因网络。

Toxic Diatom Aldehydes Affect Defence Gene Networks in Sea Urchins.

作者信息

Varrella Stefano, Romano Giovanna, Costantini Susan, Ruocco Nadia, Ianora Adrianna, Bentley Matt G, Costantini Maria

机构信息

Department of Biology and Evolution of Marine Organisms, Stazione Zoologica Anton Dohrn, Villa Comunale, Napoli, Italy.

Department of Integrative Marine Ecology, Stazione Zoologica Anton Dohrn, Villa Comunale, Napoli, Italy.

出版信息

PLoS One. 2016 Feb 25;11(2):e0149734. doi: 10.1371/journal.pone.0149734. eCollection 2016.

DOI:10.1371/journal.pone.0149734
PMID:26914213
原文链接:https://pmc.ncbi.nlm.nih.gov/articles/PMC4767821/
Abstract

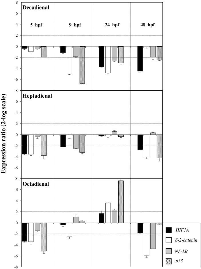
Marine organisms possess a series of cellular strategies to counteract the negative effects of toxic compounds, including the massive reorganization of gene expression networks. Here we report the modulated dose-dependent response of activated genes by diatom polyunsaturated aldehydes (PUAs) in the sea urchin Paracentrotus lividus. PUAs are secondary metabolites deriving from the oxidation of fatty acids, inducing deleterious effects on the reproduction and development of planktonic and benthic organisms that feed on these unicellular algae and with anti-cancer activity. Our previous results showed that PUAs target several genes, implicated in different functional processes in this sea urchin. Using interactomic Ingenuity Pathway Analysis we now show that the genes targeted by PUAs are correlated with four HUB genes, NF-κB, p53, δ-2-catenin and HIF1A, which have not been previously reported for P. lividus. We propose a working model describing hypothetical pathways potentially involved in toxic aldehyde stress response in sea urchins. This represents the first report on gene networks affected by PUAs, opening new perspectives in understanding the cellular mechanisms underlying the response of benthic organisms to diatom exposure.

摘要

海洋生物拥有一系列细胞策略来对抗有毒化合物的负面影响,包括基因表达网络的大规模重组。在此,我们报告了海胆Paracentrotus lividus中硅藻多不饱和醛(PUAs)对激活基因的剂量依赖性调节反应。PUAs是脂肪酸氧化产生的次生代谢产物,对以这些单细胞藻类为食的浮游生物和底栖生物的繁殖和发育具有有害影响,并具有抗癌活性。我们之前的结果表明,PUAs靶向该海胆中参与不同功能过程的多个基因。利用互作组学的 Ingenuity 通路分析,我们现在表明,PUAs 靶向的基因与四个中枢基因 NF-κB、p53、δ-2-连环蛋白和 HIF1A 相关,这些基因此前尚未在 Paracentrotus lividus 中报道过。我们提出了一个工作模型,描述了海胆中潜在参与有毒醛应激反应的假设通路。这是关于受PUAs影响的基因网络的首次报告,为理解底栖生物对硅藻暴露反应的细胞机制开辟了新的视角。

https://cdn.ncbi.nlm.nih.gov/pmc/blobs/9932/4767821/c0dcac15fd8f/pone.0149734.g008.jpg
https://cdn.ncbi.nlm.nih.gov/pmc/blobs/9932/4767821/c215aa99316a/pone.0149734.g001.jpg
https://cdn.ncbi.nlm.nih.gov/pmc/blobs/9932/4767821/c8257f70c581/pone.0149734.g002.jpg
https://cdn.ncbi.nlm.nih.gov/pmc/blobs/9932/4767821/c1295d777938/pone.0149734.g003.jpg
https://cdn.ncbi.nlm.nih.gov/pmc/blobs/9932/4767821/e29156df094e/pone.0149734.g004.jpg
https://cdn.ncbi.nlm.nih.gov/pmc/blobs/9932/4767821/7fb5d3af9054/pone.0149734.g005.jpg
https://cdn.ncbi.nlm.nih.gov/pmc/blobs/9932/4767821/b6d6b9aaaa91/pone.0149734.g006.jpg
https://cdn.ncbi.nlm.nih.gov/pmc/blobs/9932/4767821/6f8c5fd3d39a/pone.0149734.g007.jpg
https://cdn.ncbi.nlm.nih.gov/pmc/blobs/9932/4767821/c0dcac15fd8f/pone.0149734.g008.jpg
https://cdn.ncbi.nlm.nih.gov/pmc/blobs/9932/4767821/c215aa99316a/pone.0149734.g001.jpg
https://cdn.ncbi.nlm.nih.gov/pmc/blobs/9932/4767821/c8257f70c581/pone.0149734.g002.jpg
https://cdn.ncbi.nlm.nih.gov/pmc/blobs/9932/4767821/c1295d777938/pone.0149734.g003.jpg
https://cdn.ncbi.nlm.nih.gov/pmc/blobs/9932/4767821/e29156df094e/pone.0149734.g004.jpg
https://cdn.ncbi.nlm.nih.gov/pmc/blobs/9932/4767821/7fb5d3af9054/pone.0149734.g005.jpg
https://cdn.ncbi.nlm.nih.gov/pmc/blobs/9932/4767821/b6d6b9aaaa91/pone.0149734.g006.jpg
https://cdn.ncbi.nlm.nih.gov/pmc/blobs/9932/4767821/6f8c5fd3d39a/pone.0149734.g007.jpg
https://cdn.ncbi.nlm.nih.gov/pmc/blobs/9932/4767821/c0dcac15fd8f/pone.0149734.g008.jpg

相似文献

1
Toxic Diatom Aldehydes Affect Defence Gene Networks in Sea Urchins.有毒硅藻醛影响海胆的防御基因网络。
PLoS One. 2016 Feb 25;11(2):e0149734. doi: 10.1371/journal.pone.0149734. eCollection 2016.
2
Toxicity of diatom-derived polyunsaturated aldehyde mixtures on sea urchin Paracentrotus lividus development.来源于硅藻的多不饱和醛混合物对海胆(Paracentrotus lividus)发育的毒性。
Sci Rep. 2019 Jan 24;9(1):517. doi: 10.1038/s41598-018-37546-y.
3
Combined Effects of Diatom-Derived Oxylipins on the Sea Urchin .硅藻类衍生的氧化脂类对海胆的联合效应。
Int J Mol Sci. 2020 Jan 22;21(3):719. doi: 10.3390/ijms21030719.
4
Molecular response to toxic diatom-derived aldehydes in the sea urchin Paracentrotus lividus.紫海胆对有毒硅藻衍生醛类的分子反应。
Mar Drugs. 2014 Apr 4;12(4):2089-113. doi: 10.3390/md12042089.
5
New inter-correlated genes targeted by diatom-derived polyunsaturated aldehydes in the sea urchin Paracentrotus lividus.海胆Paracentrotus lividus中硅藻衍生的多不饱和醛靶向的新的相互关联基因。
Ecotoxicol Environ Saf. 2017 Aug;142:355-362. doi: 10.1016/j.ecoenv.2017.04.022. Epub 2017 Apr 28.
6
Defensome against toxic diatom aldehydes in the sea urchin Paracentrotus lividus.防御海胆 Paracentrotus lividus 中的有毒硅藻醛
PLoS One. 2012;7(2):e31750. doi: 10.1371/journal.pone.0031750. Epub 2012 Feb 20.
7
First Morphological and Molecular Evidence of the Negative Impact of Diatom-Derived Hydroxyacids on the Sea Urchin Paracentrotus lividus.硅藻衍生的羟基酸对海胆Paracentrotus lividus产生负面影响的首个形态学和分子证据。
Toxicol Sci. 2016 Jun;151(2):419-33. doi: 10.1093/toxsci/kfw053. Epub 2016 Mar 16.
8
Two Benthic Diatoms, and , Encapsulated in Alginate Beads, Influence the Reproductive Efficiency of by Modulating the Gene Expression.两种底栖硅藻 和 被包埋在海藻酸钠珠中,通过调节基因表达影响 的生殖效率。
Mar Drugs. 2021 Apr 17;19(4):230. doi: 10.3390/md19040230.
9
Teratogenic effects of diatom metabolites on sea urchin Paracentrotus lividus embryos.硅藻代谢产物对海胆 Paracentrotus lividus 胚胎的致畸作用。
Mar Drugs. 2010 Mar 30;8(4):950-67. doi: 10.3390/md8040950.
10
Nitric oxide mediates the stress response induced by diatom aldehydes in the sea urchin Paracentrotus lividus.一氧化氮介导硅藻醛诱导的海胆 Paracentrotus lividus 应激反应。
PLoS One. 2011;6(10):e25980. doi: 10.1371/journal.pone.0025980. Epub 2011 Oct 11.

引用本文的文献

1
Mitochondrial leak metabolism induces the Spemann-Mangold Organizer via Hif-1α in Xenopus.线粒体渗漏代谢通过 Xenopus 中的 Hif-1α 诱导 Spemann-Mangold 组织者。
Dev Cell. 2023 Nov 20;58(22):2597-2613.e4. doi: 10.1016/j.devcel.2023.08.015. Epub 2023 Sep 5.
2
Morphologic and genic effects of waste pollution on the reproductive physiology of lmk: a mesocosm experiment.废物污染对lmk生殖生理学的形态学和基因效应:一项中宇宙实验
Front Physiol. 2023 May 23;14:1161852. doi: 10.3389/fphys.2023.1161852. eCollection 2023.
3
Gene Expression Detects the Factors Influencing the Reproductive Success and the Survival Rates of Offspring.

本文引用的文献

1
Diatom-derived polyunsaturated aldehydes activate cell death in human cancer cell lines but not normal cells.硅藻衍生的多不饱和醛可激活人类癌细胞系中的细胞死亡,但对正常细胞无此作用。
PLoS One. 2014 Jul 3;9(7):e101220. doi: 10.1371/journal.pone.0101220. eCollection 2014.
2
Molecular response to toxic diatom-derived aldehydes in the sea urchin Paracentrotus lividus.紫海胆对有毒硅藻衍生醛类的分子反应。
Mar Drugs. 2014 Apr 4;12(4):2089-113. doi: 10.3390/md12042089.
3
Stress-induced changes in gene interactions in human cells.应激诱导的人细胞基因相互作用变化。
基因表达可检测影响生殖成功和后代存活率的因素。
Int J Mol Sci. 2022 Oct 24;23(21):12790. doi: 10.3390/ijms232112790.
4
PAHs and PCBs Affect Functionally Intercorrelated Genes in the Sea Urchin Embryos.多环芳烃和多氯联苯会影响海胆胚胎中功能上相互关联的基因。
Int J Mol Sci. 2021 Nov 19;22(22):12498. doi: 10.3390/ijms222212498.
5
Sub-Chronic Effects of Slight PAH- and PCB-Contaminated Mesocosms in Lmk: A Multi-Endpoint Approach and De Novo Transcriptomic.轻度多环芳烃和多氯联苯污染中尺度生态系统的亚慢性效应:一种多终点方法和从头转录组学。
Int J Mol Sci. 2021 Jun 22;22(13):6674. doi: 10.3390/ijms22136674.
6
Two Benthic Diatoms, and , Encapsulated in Alginate Beads, Influence the Reproductive Efficiency of by Modulating the Gene Expression.两种底栖硅藻 和 被包埋在海藻酸钠珠中,通过调节基因表达影响 的生殖效率。
Mar Drugs. 2021 Apr 17;19(4):230. doi: 10.3390/md19040230.
7
Gene Expression Changes after Parental Exposure to Metals in the Sea Urchin Affect Timing of Genetic Programme of Embryo Development.亲代海胆暴露于金属后基因表达的变化影响胚胎发育遗传程序的时间安排。
Biology (Basel). 2021 Feb 1;10(2):103. doi: 10.3390/biology10020103.
8
Diatom-Derived Polyunsaturated Aldehydes Activate Similar Cell Death Genes in Two Different Systems: Sea Urchin Embryos and Human Cells.硅藻衍生的多不饱和醛在两个不同系统中激活相似的细胞死亡基因:海胆胚胎和人类细胞。
Int J Mol Sci. 2020 Jul 22;21(15):5201. doi: 10.3390/ijms21155201.
9
Coupling feeding activity, growth rates and molecular data shows dietetic needs of Ciona robusta (Ascidiacea, Phlebobranchia) in automatic culture plants.摄食活动、生长率和分子数据的结合表明了在自动养殖系统中强壮尾海鞘(尾索动物亚门,鳃口纲)的营养需求。
Sci Rep. 2020 Jul 9;10(1):11295. doi: 10.1038/s41598-020-68031-0.
10
Multiple Roles of Diatom-Derived Oxylipins within Marine Environments and Their Potential Biotechnological Applications.海洋环境中硅藻衍生的氧化脂类的多重作用及其潜在的生物技术应用。
Mar Drugs. 2020 Jun 30;18(7):342. doi: 10.3390/md18070342.
Nucleic Acids Res. 2014 Feb;42(3):1757-71. doi: 10.1093/nar/gkt999. Epub 2013 Oct 28.
4
Time- and dose-dependent gene expression in sea urchin embryos exposed to UVB.紫外线 B 辐射暴露下海胆胚胎中时间和剂量依赖性的基因表达。
Mar Environ Res. 2014 Feb;93:85-92. doi: 10.1016/j.marenvres.2013.08.006. Epub 2013 Aug 17.
5
Gene regulatory control in the sea urchin aboral ectoderm: spatial initiation, signaling inputs, and cell fate lockdown.海洋海胆口外胚层的基因调控控制:空间起始、信号输入和细胞命运锁定。
Dev Biol. 2013 Feb 1;374(1):245-54. doi: 10.1016/j.ydbio.2012.11.013. Epub 2012 Dec 2.
6
NF-κB: where did it come from and why?NF-κB:它从何而来,又为何而来?
Immunol Rev. 2012 Mar;246(1):14-35. doi: 10.1111/j.1600-065X.2012.01096.x.
7
Defensome against toxic diatom aldehydes in the sea urchin Paracentrotus lividus.防御海胆 Paracentrotus lividus 中的有毒硅藻醛
PLoS One. 2012;7(2):e31750. doi: 10.1371/journal.pone.0031750. Epub 2012 Feb 20.
8
Controlling gene expression in response to stress.响应应激控制基因表达。
Nat Rev Genet. 2011 Nov 3;12(12):833-45. doi: 10.1038/nrg3055.
9
Nitric oxide mediates the stress response induced by diatom aldehydes in the sea urchin Paracentrotus lividus.一氧化氮介导硅藻醛诱导的海胆 Paracentrotus lividus 应激反应。
PLoS One. 2011;6(10):e25980. doi: 10.1371/journal.pone.0025980. Epub 2011 Oct 11.
10
Tumor suppressor protein (p)53, is a regulator of NF-kappaB repression by the glucocorticoid receptor.肿瘤抑制蛋白(p)53 是糖皮质激素受体抑制 NF-κB 的调节因子。
Proc Natl Acad Sci U S A. 2011 Oct 11;108(41):17117-22. doi: 10.1073/pnas.1114420108. Epub 2011 Sep 26.