Suppr超能文献

反式白藜芦醇增强华法林在小鼠模型中的抗凝活性。

Trans-Resveratrol Enhances the Anticoagulant Activity of Warfarin in a Mouse Model.

作者信息

Chiba Tsuyoshi, Kimura Yuka, Suzuki Sachina, Tatefuji Tomoki, Umegaki Keizo

机构信息

Information Center, National Institute of Health and Nutrition, National Institutes of Biomedical Innovation, Health and Nutrition.

出版信息

J Atheroscler Thromb. 2016 Sep 1;23(9):1099-110. doi: 10.5551/jat.31765. Epub 2016 Mar 5.

Abstract

AIM

Resveratrol is a popular ingredient in dietary supplements. Some patients concomitantly use dietary supplements and medicines in Japan. In the present study, we determined whether trans-resveratrol and melinjo (Gnetum gnemon L.) seed extract (MSE), which contains resveratrol dimers, interacted with drugs using a mouse model.

METHODS

Male C57BL/6J mice were fed experimental diets containing 0.005%, 0.05%, or 0.5% (w/w) trans-resveratrol or MSE for 1 or 12 weeks. The expression of liver cytochrome P-450 (CYP) mRNA and activity of liver microsomal CYP were measured. To determine the influence of resveratrol or MSE on drug efficacy, the anticoagulant activity of warfarin was examined in mice that were fed diets containing trans-resveratrol or MSE for 12 weeks.

RESULTS

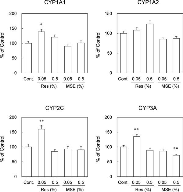
When the mice were fed experimental diets for 1 week, none of the doses of trans-resveratrol and MSE affected body weight, liver weight, or plasma AST and ALT levels. Trans-resveratrol also did not affect CYP1A1, CYP1A2, CYP2C, or CYP3A activities. In contrast, 0.5% MSE slightly increased CYP1A1 activity. When the mice were fed experimental diets for 12 weeks, 0.05% trans-resveratrol increased CYP1A1, CYP2C, and CYP3A activities, whereas 0.5% MSE suppressed CYP3A activity. Under these conditions, 0.5% trans-resveratrol enhanced the anticoagulant activity of warfarin, although CYP2C activity increased. However, MSE did not affect the anticoagulant activity of warfarin.

CONCLUSION

The 0.05% trans-resveratrol did not interact with warfarin in a mouse model, whereas 0.5% trans-resveratrol may have enhanced the anticoagulant activity of warfarin.

摘要

目的

白藜芦醇是膳食补充剂中一种常见成分。在日本,一些患者同时使用膳食补充剂和药物。在本研究中,我们使用小鼠模型确定反式白藜芦醇和含有白藜芦醇二聚体的美藤果(Gnetum gnemon L.)种子提取物(MSE)是否与药物发生相互作用。

方法

将雄性C57BL/6J小鼠喂食含0.005%、0.05%或0.5%(w/w)反式白藜芦醇或MSE的实验饲料1周或12周。测量肝脏细胞色素P-450(CYP)mRNA的表达和肝脏微粒体CYP的活性。为了确定白藜芦醇或MSE对药物疗效的影响,在喂食含反式白藜芦醇或MSE饲料12周的小鼠中检测华法林的抗凝活性。

结果

当小鼠喂食实验饲料1周时,反式白藜芦醇和MSE的所有剂量均未影响体重、肝脏重量或血浆AST和ALT水平。反式白藜芦醇也未影响CYP1A1、CYP1A2、CYP2C或CYP3A的活性。相比之下,0.5%的MSE轻微增加了CYP1A1的活性。当小鼠喂食实验饲料12周时,0.05%的反式白藜芦醇增加了CYP1A1、CYP2C和CYP3A的活性,而0.5%的MSE抑制了CYP3A的活性。在这些条件下,0.5%的反式白藜芦醇增强了华法林的抗凝活性,尽管CYP2C的活性增加了。然而,MSE并未影响华法林的抗凝活性。

结论

在小鼠模型中,0.05%的反式白藜芦醇未与华法林发生相互作用,而0.5%的反式白藜芦醇可能增强了华法林的抗凝活性。

https://cdn.ncbi.nlm.nih.gov/pmc/blobs/2d92/5090816/49d4bc3e05e1/jat-23-1099-g001.jpg

文献AI研究员

20分钟写一篇综述,助力文献阅读效率提升50倍。

立即体验

用中文搜PubMed

大模型驱动的PubMed中文搜索引擎

马上搜索

文档翻译

学术文献翻译模型,支持多种主流文档格式。

立即体验