Suppr超能文献

爱泼斯坦-巴尔病毒和副结核分枝杆菌肽在多发性硬化症患者的血清和脑脊液中被识别。

Epstein Barr Virus and Mycobacterium avium subsp. paratuberculosis peptides are recognized in sera and cerebrospinal fluid of MS patients.

作者信息

Mameli Giuseppe, Cocco Eleonora, Frau Jessica, Marrosu Maria Giovanna, Sechi Leonardo Antonio

机构信息

Dipartimento di Scienze Biomediche, Sezione di Microbiologia e Virologia, Università di Sassari, Viale San Pietro 43b, 07100 Sassari, Italy.

Centro Sclerosi Multipla, Dipartimento di Sanità Pubblica Medicina Clinica e Molecolare, Università di Cagliari, Via Is Guadazzonis 2, 09126 Cagliari, Italy.

出版信息

Sci Rep. 2016 Mar 9;6:22401. doi: 10.1038/srep22401.

Abstract

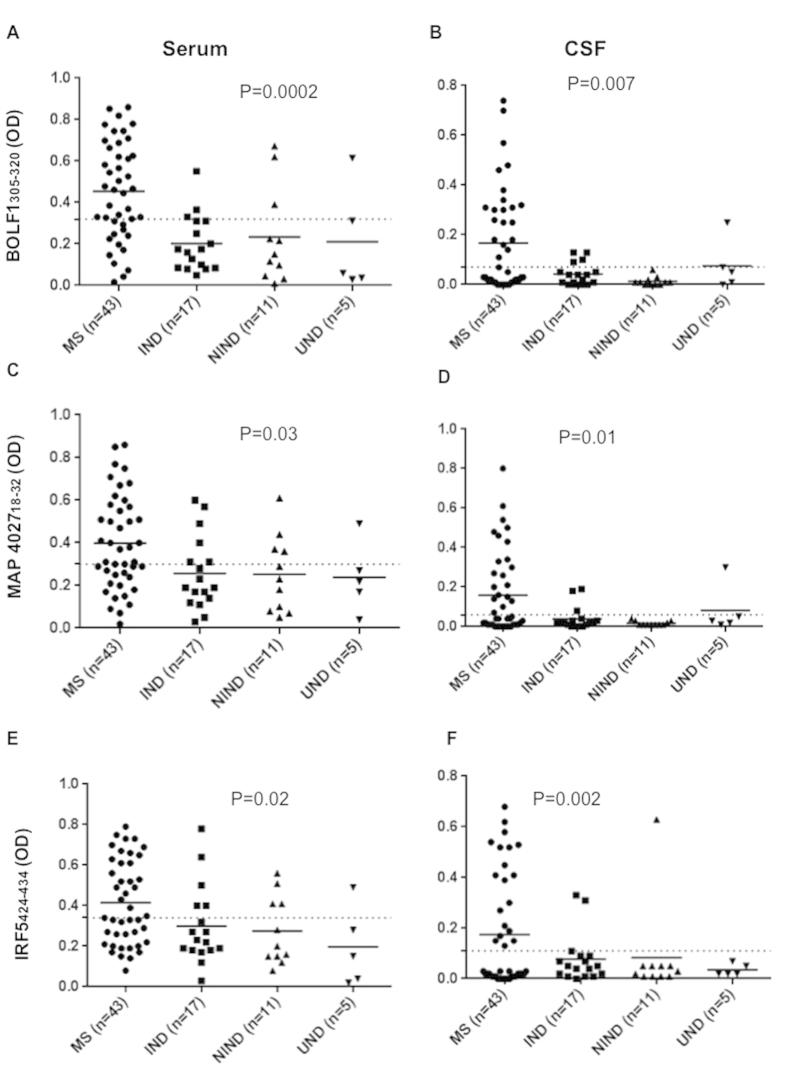
Mycobacterium avium subsp. paratuberculosis (MAP) and Epstein-Barr virus (EBV) epitopes elicit a consistent humoral response in serum of multiple sclerosis patients, but the cross reactivity against the homologous myelin basic protein (MBP) and human interferon regulatory factor 5 (IRF5) has not been searched within the Cerebral Spinal Fluid (CSF). We evaluated in sera and CSF of patients with MS and with other neurological diseases (OND) the humoral response against EBV/MAP peptides and the IRF5/MBP. Our data showed that EBV and MAP peptides are able to induce a specific humoral immune response in MS patients compared to OND controls both in serum and in CSF. An intrathecal specific synthesis of IgG against MBP and their EBV and MAP homologous as indicated by the antibody index was observed in MS patients. The humoral response against EBV, MAP, MBP and IRF5 was significantly higher in MS patients compared to OND both in serum and in CSF. The higher presence of antibodies against MBP and their MAP and EBV homologous in CSF during relapses suggests a possible role of the pathogens in enhancing inflammation.

摘要

鸟分枝杆菌副结核亚种(MAP)和爱泼斯坦-巴尔病毒(EBV)表位在多发性硬化症患者血清中引发一致的体液反应,但尚未在脑脊液(CSF)中研究其与同源髓鞘碱性蛋白(MBP)和人类干扰素调节因子5(IRF5)的交叉反应性。我们在患有多发性硬化症和其他神经系统疾病(OND)的患者的血清和脑脊液中评估了针对EBV/MAP肽以及IRF5/MBP的体液反应。我们的数据表明,与OND对照组相比,EBV和MAP肽在血清和脑脊液中均能在MS患者中诱导特异性体液免疫反应。通过抗体指数表明,在MS患者中观察到针对MBP及其EBV和MAP同源物的鞘内特异性IgG合成。与OND相比,MS患者血清和脑脊液中针对EBV、MAP、MBP和IRF5的体液反应明显更高。复发期间脑脊液中针对MBP及其MAP和EBV同源物的抗体含量较高,提示病原体在增强炎症方面可能发挥作用。

https://cdn.ncbi.nlm.nih.gov/pmc/blobs/46e9/4783662/159c9ac55b02/srep22401-f1.jpg

文献AI研究员

20分钟写一篇综述,助力文献阅读效率提升50倍。

立即体验

用中文搜PubMed

大模型驱动的PubMed中文搜索引擎

马上搜索

文档翻译

学术文献翻译模型,支持多种主流文档格式。

立即体验