Suppr超能文献

在骨髓抽吸过程中推进活检针可增加间充质干细胞浓度。

Biopsy Needle Advancement during Bone Marrow Aspiration Increases Mesenchymal Stem Cell Concentration.

机构信息

Department of Large Animal Clinical Sciences, Texas A&M University , College Station, TX , USA.

出版信息

Front Vet Sci. 2016 Mar 14;3:23. doi: 10.3389/fvets.2016.00023. eCollection 2016.

Abstract

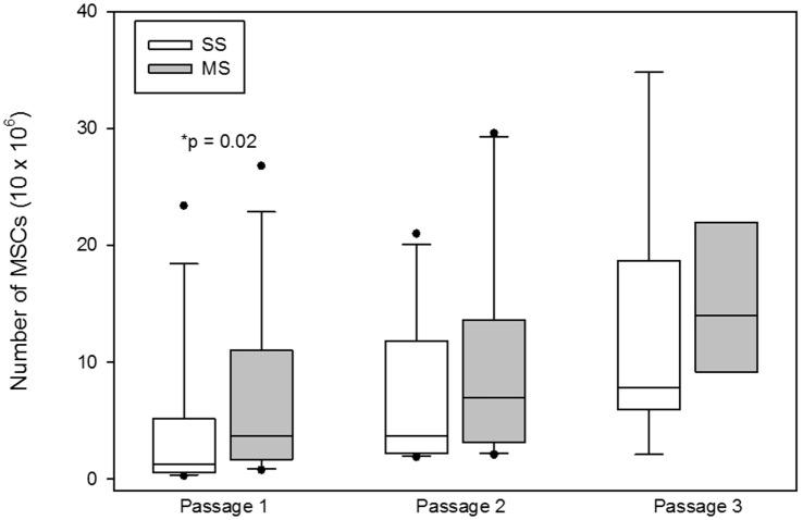
Point-of-care kits to concentrate bone marrow (BM)-derived mesenchymal stem cells (MSCs) are used clinically in horses. A maximal number of MSCs per milliliter of marrow aspirated might be desired prior to use of a point-of-care system to concentrate MSCs. Our objective was to test a method to increase the number of MSCs per milliliter of marrow collected. We collected two BM aspirates using two different collection techniques from 12 horses. The first collection technique was to aspirate BM from a single site without advancement of the biopsy needle. The second collection technique was to aspirate marrow from multiple sites within the same sternal puncture by advancing the needle 5 mm three times for BM aspiration from four sites. Numbers of MSCs in collected BM were assessed by total nucleated cell count of BM after aspiration, total colony-forming unit-fibroblast (CFU-F) assay, and total MSC number at each culture passage. The BM aspiration technique of four needle advancements during BM aspiration resulted in higher initial nucleated cell counts, more CFU-Fs, and more MSCs at the first passage. There were no differences in the number of MSCs at later passages. Multiple advancements of the BM needle during BM aspiration resulted in increased MSC concentration at the time of BM collection. If a point-of-care kit is used to concentrate MSCs, multiple advancements may result in higher MSC numbers in the BM concentrate after preparation by the point-of-care kit. For culture expanded MSCs beyond the first cell passage, the difference is of questionable clinical relevance.

摘要

临床中使用即时护理试剂盒浓缩骨髓(BM)来源的间充质干细胞(MSCs)。在使用即时护理系统浓缩 MSCs 之前,可能希望每毫升抽吸的骨髓中 MSC 的数量达到最大值。我们的目的是测试一种增加每毫升采集骨髓中 MSC 数量的方法。我们从 12 匹马中使用两种不同的采集技术采集了两份 BM 抽吸物。第一种采集技术是从单个部位抽吸 BM,不推进活检针。第二种采集技术是通过将针推进 5mm 三次,从四个部位抽吸骨髓,从同一胸骨穿刺部位抽吸骨髓。通过抽吸后 BM 的总核细胞计数、总集落形成单位-成纤维细胞(CFU-F)测定和每个培养传代的总 MSC 数量评估采集的 BM 中的 MSC 数量。在 BM 抽吸期间进行四次针推进的 BM 抽吸技术导致初始核细胞计数更高、CFU-F 更多,并且在第一传代时的 MSC 数量更多。在后续传代时,MSC 数量没有差异。在 BM 抽吸期间多次推进 BM 针可在 BM 采集时增加 MSC 浓度。如果使用即时护理试剂盒浓缩 MSCs,则在即时护理试剂盒制备后,BM 浓缩物中的 MSC 数量可能会增加。对于超出第一细胞传代的培养扩增 MSCs,差异具有可疑的临床意义。

https://cdn.ncbi.nlm.nih.gov/pmc/blobs/d96e/4789557/2a628ef07fec/fvets-03-00023-g001.jpg

文献AI研究员

20分钟写一篇综述,助力文献阅读效率提升50倍。

立即体验

用中文搜PubMed

大模型驱动的PubMed中文搜索引擎

马上搜索

文档翻译

学术文献翻译模型,支持多种主流文档格式。

立即体验