Suppr超能文献

用微量元素标记巴西锥蝽、伪黄斑锥蝽和鼻红猎蝽若虫:元素持久性及标记对昆虫死亡率的影响

Marking Triatoma brasiliensis, Triatoma pseudomaculata and Rhodnius nasutus Nymphs with Trace Elements: Element Persistence and Effects of Marking on Insect Mortality.

作者信息

Valença-Barbosa Carolina, Sarquis Otília, Freire Aline Soares, David Mariana R, Santelli Ricardo E, Monteiro Fernando A, Lima Marli M, Maciel-de-Freitas Rafael

机构信息

Laboratório de Transmissores de Hematozoários, Instituto Oswaldo Cruz, Fiocruz, Rio de Janeiro, Brazil.

Laboratório de Ecoepidemiologia da Doença de Chagas, Instituto Oswaldo Cruz, Fiocruz, Rio de Janeiro, Brazil.

出版信息

PLoS Negl Trop Dis. 2016 Mar 30;10(3):e0004548. doi: 10.1371/journal.pntd.0004548. eCollection 2016 Mar.

Abstract

BACKGROUND

Field ecologists often rely on mark-release-recapture (MRR) experiments to estimate population dynamics parameters for a given species. In the case of a medically important taxon, i.e., a disease vector, inferences on species survival and dispersal rates are particularly important as they have the potential to provide insights into disease transmission dynamics in endemic areas. Medical entomologists have traditionally used fluorescent dusts to externally mark the cuticle of insects. However, dust marking is usually restricted to the adult life stage because immature insects lose the mark when they molt.

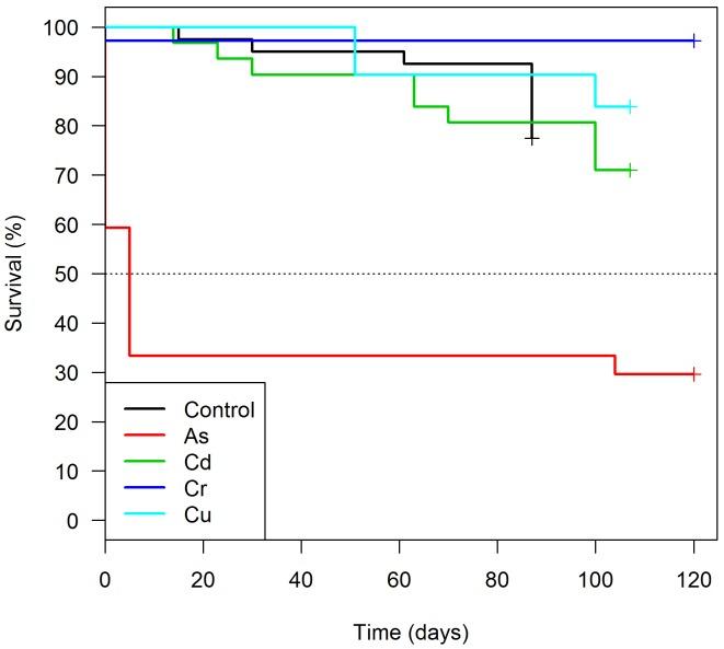
METHODOLOGY/PRINCIPAL FINDINGS: We evaluated the efficacy of 13 trace elements in marking nymphs of three native Brazilian Chagas disease vectors: Triatoma brasiliensis, Triatoma pseudomaculata, and Rhodnius nasutus. Cr and Cu were detected in over 97% of T. brasiliensis (34/35 31/31 for Cr and Cu), while Cu and Mn were detected in more than 95% of T. pseudomaculata (29/29 for Cu and 28/29 for Mn) tested 120 days after marking. Only Mn marked over 90% of R. nasutus nymphs (38/41). Overall, trace elements had no negative effects on T. pseudomaculata longevity, but As-marked T. brasiliensis nymphs (p<0.01), and Cd-marked R. nasutus nymphs (p<0.01) had significantly shorter lifespan.

CONCLUSIONS/SIGNIFICANCE: Previous evidence shows that there is little or no genetic differentiation between populations at the microgeographic level, which often precludes indirect estimations of dispersal capability based on genetic markers. In such situations, MRR studies are more suitable as they measure insect movement directly from one site to another, instead of effective migration (i.e. gene flow). The determination of a reliable and persistent marking method is the first step towards the development of meaningful ecological estimates through the application of MRR methodology. Here, we have identified trace elements that can be used for mark and recapture studies of three triatomine species in Brazil.

摘要

背景

野外生态学家常常依靠标记重捕(MRR)实验来估计特定物种的种群动态参数。对于具有医学重要性的分类群,即病媒,推断物种的存活率和扩散率尤为重要,因为这有可能为了解流行地区的疾病传播动态提供线索。医学昆虫学家传统上使用荧光粉尘对昆虫的表皮进行外部标记。然而,粉尘标记通常仅限于成虫阶段,因为未成熟昆虫蜕皮时会失去标记。

方法/主要发现:我们评估了13种微量元素对三种巴西本地恰加斯病病媒若虫的标记效果,这三种病媒分别是巴西锥蝽(Triatoma brasiliensis)、伪黄斑锥蝽(Triatoma pseudomaculata)和鼻红猎蝽(Rhodnius nasutus)。在标记120天后检测发现,超过97%的巴西锥蝽体内检测到铬(Cr)和铜(Cu)(铬为34/35,铜为31/31),超过95%的伪黄斑锥蝽体内检测到铜和锰(铜为29/29,锰为28/29)。只有锰标记了超过90%的鼻红猎蝽若虫(38/41)。总体而言,微量元素对伪黄斑锥蝽的寿命没有负面影响,但砷标记的巴西锥蝽若虫(p<0.01)和镉标记的鼻红猎蝽若虫(p<0.01)寿命显著缩短。

结论/意义:先前的证据表明,在微观地理层面,种群之间几乎没有或没有遗传分化,这常常使得基于遗传标记间接估计扩散能力变得不可能。在这种情况下,标记重捕研究更为合适,因为它们直接测量昆虫从一个地点到另一个地点的移动,而不是有效迁移(即基因流动)。确定一种可靠且持久的标记方法是通过应用标记重捕方法进行有意义的生态估计的第一步。在这里,我们确定了可用于巴西三种锥蝽物种标记重捕研究的微量元素。

https://cdn.ncbi.nlm.nih.gov/pmc/blobs/659b/4814127/001b21cdcfc0/pntd.0004548.g001.jpg

文献AI研究员

20分钟写一篇综述,助力文献阅读效率提升50倍。

立即体验

用中文搜PubMed

大模型驱动的PubMed中文搜索引擎

马上搜索

文档翻译

学术文献翻译模型,支持多种主流文档格式。

立即体验