Sun Jin, Lu Na, Xu Hongjia, Maruo Toru, Guo Shirong
College of Horticulture, Nanjing Agricultural UniversityNanjing, China; Center for Environment, Health and Field Sciences, Chiba UniversityChiba, Japan.
Center for Environment, Health and Field Sciences, Chiba University Chiba, Japan.
Front Plant Sci. 2016 Mar 23;7:368. doi: 10.3389/fpls.2016.00368. eCollection 2016.
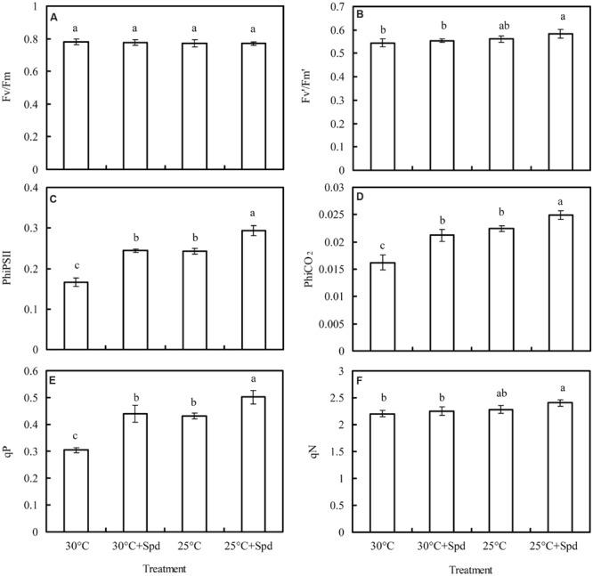
Root zone high-temperature stress is a major factor limiting hydroponic plant growth during the high-temperature season. The effects of root zone cooling (RZC; at 25°C) and exogenous spermidine (Spd) root-pretreatment (SRP, 0.1 mM) on growth, leaf photosynthetic traits, and chlorophyll fluorescence characteristics of hydroponic Lactuca sativa L. grown in a high-temperature season (average temperature > 30°C) were examined. Both treatments significantly promoted plant growth and photosynthesis in the high-temperature season, but the mechanisms of photosynthesis improvement in the hydroponic grown lettuce plants were different between the RZC and SRP treatments. The former improved plant photosynthesis by increasing stoma conductance (G s) to enhance CO2 supply, thus promoting photosynthetic electron transport activity and phosphorylation, which improved the level of the photochemical efficiency of photosystem II (PSII), rather than enhancing CO2 assimilation efficiency. The latter improved plant photosynthesis by enhancing CO2 assimilation efficiency, rather than stomatal regulation. Combination of RZC and SRP significantly improved P N of lettuce plants in a high-temperature season by both improvement of G s to enhance CO2 supply and enhancement of CO2 assimilation. The enhancement of photosynthetic efficiency in both treatments was independent of altering light-harvesting or excessive energy dissipation.
根区高温胁迫是限制高温季节水培植物生长的主要因素。研究了根区冷却(RZC;25°C)和外源亚精胺(Spd)根预处理(SRP,0.1 mM)对高温季节(平均温度>30°C)水培生菜生长、叶片光合特性和叶绿素荧光特性的影响。两种处理均显著促进了高温季节的植物生长和光合作用,但RZC和SRP处理对水培生菜光合作用改善的机制不同。前者通过增加气孔导度(Gs)来改善植物光合作用,以增强CO2供应,从而促进光合电子传递活性和磷酸化,提高了光系统II(PSII)的光化学效率水平,而不是提高CO2同化效率。后者通过提高CO2同化效率而不是气孔调节来改善植物光合作用。RZC和SRP组合通过提高Gs以增强CO2供应和增强CO2同化,显著提高了高温季节生菜植株的净光合速率(PN)。两种处理中光合效率的提高均与改变光捕获或过剩能量耗散无关。