Suppr超能文献

在啮齿动物模型中观察到的营养剂组合导致的体重和血糖降低情况,在一项针对健康志愿者和2型糖尿病患者的随机临床试验中并未在人类身上得到体现。

Weight and Glucose Reduction Observed with a Combination of Nutritional Agents in Rodent Models Does Not Translate to Humans in a Randomized Clinical Trial with Healthy Volunteers and Subjects with Type 2 Diabetes.

作者信息

Hodge Rebecca J, Paulik Mark A, Walker Ann, Boucheron Joyce A, McMullen Susan L, Gillmor Dawn S, Nunez Derek J

机构信息

Discovery Medicine, Metabolic Pathways Cardiovascular Unit, GlaxoSmithKline, Research Triangle Park, North Carolina, United States of America.

Biology, Metabolic Pathways Cardiovascular Unit, GlaxoSmithKline, Research Triangle Park, North Carolina, United States of America.

出版信息

PLoS One. 2016 Apr 19;11(4):e0153151. doi: 10.1371/journal.pone.0153151. eCollection 2016.

Abstract

BACKGROUND

Nutritional agents have modest efficacy in reducing weight and blood glucose in animal models and humans, but combinations are less well characterized. GSK2890457 (GSK457) is a combination of 4 nutritional agents, discovered by the systematic assessment of 16 potential components using the diet-induced obese mouse model, which was subsequently evaluated in a human study.

NONCLINICAL RESULTS

In the diet-induced obese mouse model, GSK457 (15% w/w in chow) given with a long-acting glucagon-like peptide -1 receptor agonist, exendin-4 AlbudAb, produced weight loss of 30.8% after 28 days of treatment. In db/db mice, a model of diabetes, GSK457 (10% w/w) combined with the exendin-4 AlbudAb reduced glucose by 217 mg/dL and HbA1c by 1.2% after 14 days.

CLINICAL RESULTS

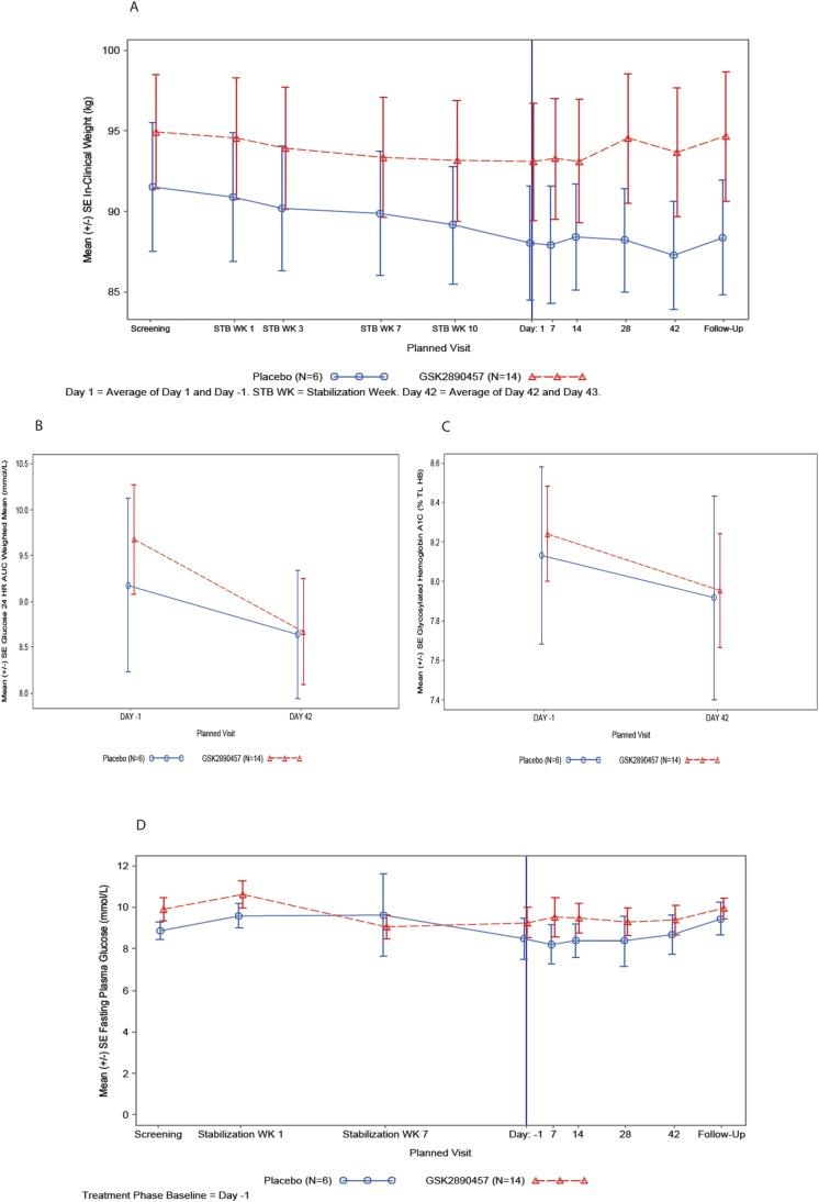
GSK457 was evaluated in a 6 week randomized, placebo-controlled study that enrolled healthy subjects and subjects with type 2 diabetes to investigate changes in weight and glucose. In healthy subjects, GSK457 well tolerated when titrated up to 40 g/day, and it reduced systemic exposure of metformin by ~ 30%. In subjects with diabetes taking liraglutide 1.8 mg/day, GSK457 did not reduce weight, but it slightly decreased mean glucose by 0.356 mmol/L (95% CI: -1.409, 0.698) and HbAlc by 0.065% (95% CI: -0.495, 0.365), compared to placebo. In subjects with diabetes taking metformin, weight increased in the GSK457-treated group [adjusted mean % increase from baseline: 1.26% (95% CI: -0.24, 2.75)], and mean glucose and HbA1c were decreased slightly compared to placebo [adjusted mean glucose change from baseline: -1.22 mmol/L (95% CI: -2.45, 0.01); adjusted mean HbA1c change from baseline: -0.219% (95% CI: -0.910, 0.472)].

CONCLUSIONS

Our data demonstrate remarkable effects of GSK457 in rodent models of obesity and diabetes, but a marked lack of translation to humans. Caution should be exercised with nutritional agents when predicting human efficacy from rodent models of obesity and diabetes.

TRIAL REGISTRATION

ClinicalTrials.gov NCT01725126.

摘要

背景

营养制剂在动物模型和人类中减轻体重及降低血糖方面疗效有限,但其联合使用的特性了解较少。GSK2890457(GSK457)是4种营养制剂的组合,通过饮食诱导肥胖小鼠模型对16种潜在成分进行系统评估后发现,随后在一项人体研究中进行了评估。

非临床结果

在饮食诱导肥胖小鼠模型中,GSK457(饲料中占15% w/w)与长效胰高血糖素样肽-1受体激动剂艾塞那肽AlbudAb联合使用,治疗28天后体重减轻30.8%。在糖尿病模型db/db小鼠中,GSK457(10% w/w)与艾塞那肽AlbudAb联合使用14天后,血糖降低217 mg/dL,糖化血红蛋白(HbA1c)降低1.2%。

临床结果

在一项为期6周的随机、安慰剂对照研究中评估了GSK457,该研究纳入了健康受试者和2型糖尿病患者,以调查体重和血糖的变化。在健康受试者中,GSK457滴定至每日40 g时耐受性良好,且使二甲双胍的全身暴露量降低约30%。在每日服用1.8 mg利拉鲁肽的糖尿病患者中,GSK457未减轻体重,但与安慰剂相比,平均血糖略有降低0.356 mmol/L(95%置信区间:-1.409,0.698),糖化血红蛋白(HbAlc)降低0.065%(95%置信区间:-0.495,0.365)。在服用二甲双胍的糖尿病患者中,GSK457治疗组体重增加[从基线调整后的平均增加百分比:1.26%(95%置信区间:-0.24,2.75)],与安慰剂相比,平均血糖和糖化血红蛋白(HbA1c)略有降低[从基线调整后的平均血糖变化:-1.22 mmol/L(95%置信区间:-2.45,0.01);从基线调整后的平均糖化血红蛋白(HbA1c)变化:-0.219%(95%置信区间:-0.910,0.472)]。

结论

我们的数据表明GSK457在肥胖和糖尿病啮齿动物模型中具有显著效果,但在人体中效果明显欠佳。从肥胖和糖尿病啮齿动物模型预测人体疗效时,应谨慎使用营养制剂。

试验注册

ClinicalTrials.gov NCT01725126。

https://cdn.ncbi.nlm.nih.gov/pmc/blobs/a4fd/4836696/7accede38da3/pone.0153151.g001.jpg

文献AI研究员

20分钟写一篇综述,助力文献阅读效率提升50倍。

立即体验

用中文搜PubMed

大模型驱动的PubMed中文搜索引擎

马上搜索

文档翻译

学术文献翻译模型,支持多种主流文档格式。

立即体验