Suppr超能文献

阿利西尤单抗,一种针对前蛋白转化酶枯草溶菌素9(PCSK9)的治疗性人源抗体,不影响CD81水平,也不影响丙型肝炎病毒进入和在肝细胞中的复制。

Alirocumab, a Therapeutic Human Antibody to PCSK9, Does Not Affect CD81 Levels or Hepatitis C Virus Entry and Replication into Hepatocytes.

作者信息

Ramanathan Aarti, Gusarova Viktoria, Stahl Neil, Gurnett-Bander Anne, Kyratsous Christos A

机构信息

Regeneron Pharmaceuticals, Inc., Tarrytown, NY, United States of America.

出版信息

PLoS One. 2016 Apr 26;11(4):e0154498. doi: 10.1371/journal.pone.0154498. eCollection 2016.

Abstract

BACKGROUND

Proprotein convertase subtilisin/kexin type 9 (PSCK9) is secreted mainly from the liver and binds to the low-density lipoprotein receptor (LDLR), reducing LDLR availability and thus resulting in an increase in LDL-cholesterol. While the LDLR has been implicated in the cell entry process of the hepatitis C virus (HCV), overexpression of an artificial non-secreted, cell membrane-bound form of PCSK9 has also been shown to reduce surface expression of CD81, a major component of the HCV entry complex, leading to concerns that pharmacological inhibition of PCSK9 may increase susceptibility to HCV infection by increasing either CD81 or LDLR availability. Here, we evaluated effects of PCSK9 and PCSK9 blockade on CD81 levels and HCV entry with a physiologically relevant model using native secreted PCSK9 and a monoclonal antibody to PCSK9, alirocumab.

METHODS AND RESULTS

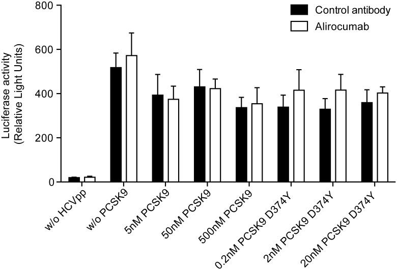
Flow cytometry and Western blotting of human hepatocyte Huh-7 cells showed that, although LDLR levels were reduced when cells were exposed to increasing PCSK9 concentrations, there was no correlation between total or surface CD81 levels and the presence and amount of soluble PCSK9. Moreover, inhibiting PCSK9 with the monoclonal antibody alirocumab did not affect expression levels of CD81. In an in vitro model of HCV entry, addition of soluble PCSK9 or treatment with alirocumab had no effect on the ability of either lentiviral particles bearing the HCV glycoproteins or JFH-1 based cell culture virus to enter hepatocytes. Consistent with these in vitro findings, no differences were observed in hepatic CD81 levels using in vivo mouse models, including Pcsk9-/- mice compared with wild-type controls and hyperlipidemic mice homozygous for human Pcsk9 and heterozygous for Ldlr deletion, treated with either alirocumab or isotype control antibody.

CONCLUSION

These results suggest that inhibition of PCSK9 with alirocumab has no effect on CD81 and does not result in increased susceptibility to HCV entry.

摘要

背景

前蛋白转化酶枯草溶菌素/凯新9型(PCSK9)主要由肝脏分泌,并与低密度脂蛋白受体(LDLR)结合,降低LDLR的可用性,从而导致低密度脂蛋白胆固醇升高。虽然LDLR与丙型肝炎病毒(HCV)的细胞进入过程有关,但人工非分泌型、细胞膜结合形式的PCSK9过表达也已显示可降低HCV进入复合物的主要成分CD81的表面表达,这引发了人们的担忧,即PCSK9的药理抑制可能通过增加CD81或LDLR可用性而增加对HCV感染的易感性。在此,我们使用天然分泌的PCSK9和PCSK9单克隆抗体阿利西尤单抗,通过生理相关模型评估了PCSK9和PCSK9阻断对CD81水平和HCV进入的影响。

方法与结果

对人肝细胞Huh-7细胞进行流式细胞术和蛋白质印迹分析表明,尽管当细胞暴露于不断增加的PCSK9浓度时LDLR水平降低,但总CD81水平或表面CD81水平与可溶性PCSK9的存在及数量之间没有相关性。此外,用单克隆抗体阿利西尤单抗抑制PCSK9并不影响CD81的表达水平。在HCV进入的体外模型中,添加可溶性PCSK9或用阿利西尤单抗处理对携带HCV糖蛋白的慢病毒颗粒或基于JFH-1的细胞培养病毒进入肝细胞的能力均无影响。与这些体外研究结果一致,在体内小鼠模型中,包括与野生型对照相比的Pcsk9基因敲除小鼠以及人Pcsk9纯合且Ldlr基因杂合缺失的高脂血症小鼠,用阿利西尤单抗或同型对照抗体处理后,肝脏CD81水平未观察到差异。

结论

这些结果表明,用阿利西尤单抗抑制PCSK9对CD81没有影响,也不会导致对HCV进入的易感性增加。

https://cdn.ncbi.nlm.nih.gov/pmc/blobs/ebdd/4845998/8113a18d3c10/pone.0154498.g001.jpg

文献AI研究员

20分钟写一篇综述,助力文献阅读效率提升50倍。

立即体验

用中文搜PubMed

大模型驱动的PubMed中文搜索引擎

马上搜索

文档翻译

学术文献翻译模型,支持多种主流文档格式。

立即体验