Suppr超能文献

鲍曼不动杆菌中抗生素耐药性、生物膜形成及生物膜特异性耐药性之间的关系

Relationship between Antibiotic Resistance, Biofilm Formation, and Biofilm-Specific Resistance in Acinetobacter baumannii.

作者信息

Qi Lihua, Li Hao, Zhang Chuanfu, Liang Beibei, Li Jie, Wang Ligui, Du Xinying, Liu Xuelin, Qiu Shaofu, Song Hongbin

机构信息

Department of Infectious Disease Control, Institute of Disease Control and Prevention, Academy of Military Medical Sciences Beijing, China.

出版信息

Front Microbiol. 2016 Apr 12;7:483. doi: 10.3389/fmicb.2016.00483. eCollection 2016.

Abstract

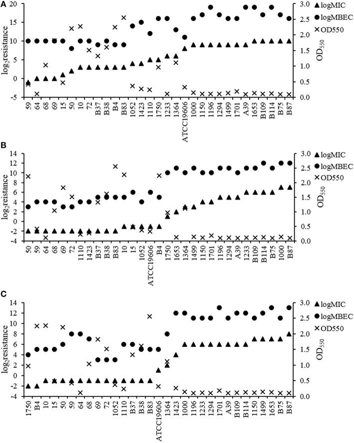
In this study, we aimed to examine the relationships between antibiotic resistance, biofilm formation, and biofilm-specific resistance in clinical isolates of Acinetobacter baumannii. The tested 272 isolates were collected from several hospitals in China during 2010-2013. Biofilm-forming capacities were evaluated using the crystal violet staining method. Antibiotic resistance/susceptibility profiles to 21 antibiotics were assessed using VITEK 2 system, broth microdilution method or the Kirby-Bauer disc diffusion method. The minimum inhibitory concentration (MIC) and minimum biofilm eradication concentration (MBEC) to cefotaxime, imipenem, and ciprofloxacin were evaluated using micro dilution assays. Genetic relatedness of the isolates was also analyzed by pulsed-field gel electrophoresis (PFGE) and plasmid profile. Among all the 272 isolates, 31 were multidrug-resistant (MDR), and 166 were extensively drug-resistant (XDR). PFGE typing revealed 167 pattern types and 103 clusters with a similarity of 80%. MDR and XDR isolates built up the main prevalent genotypes. Most of the non-MDR isolates were distributed in a scattered pattern. Additionally, 249 isolates exhibited biofilm formation, among which 63 were stronger biofilm formers than type strain ATCC19606. Population that exhibited more robust biofilm formation likely contained larger proportion of non-MDR isolates. Isolates with higher level of resistance tended to form weaker biofilms. The MBECs for cefotaxime, imipenem, and ciprofloxacin showed a positive correlation with corresponding MICs, while the enhancement in resistance occurred independent of the quantity of biofilm biomass produced. Results from this study imply that biofilm acts as a mechanism for bacteria to get a better survival, especially in isolates with resistance level not high enough. Moreover, even though biofilms formed by isolates with high level of resistance are always weak, they could still provide similar level of protection for the isolates. Further explorations genetically would improve our understanding of these processes and provide novel insights in the therapeutics and prevention against A. baumannii biofilm-related infections.

摘要

在本研究中,我们旨在探讨鲍曼不动杆菌临床分离株中抗生素耐药性、生物膜形成及生物膜特异性耐药之间的关系。受试的272株分离株于2010年至2013年期间从中国多家医院收集。使用结晶紫染色法评估生物膜形成能力。采用VITEK 2系统、肉汤微量稀释法或 Kirby-Bauer 纸片扩散法评估对21种抗生素的耐药性/敏感性谱。使用微量稀释试验评估对头孢噻肟、亚胺培南和环丙沙星的最低抑菌浓度(MIC)和最低生物膜清除浓度(MBEC)。还通过脉冲场凝胶电泳(PFGE)和质粒图谱分析分离株的遗传相关性。在所有272株分离株中,31株为多重耐药(MDR),166株为广泛耐药(XDR)。PFGE分型显示167种模式类型和103个簇,相似度为80%。MDR和XDR分离株构成主要的流行基因型。大多数非MDR分离株呈散在分布。此外,249株分离株表现出生物膜形成,其中63株比标准菌株ATCC19606形成更强的生物膜。表现出更强生物膜形成的群体可能包含更大比例的非MDR分离株。耐药水平较高的分离株倾向于形成较弱的生物膜。头孢噻肟、亚胺培南和环丙沙星的MBEC与相应的MIC呈正相关,而耐药性的增强与生物膜生物量的产生量无关。本研究结果表明,生物膜是细菌获得更好生存的一种机制,尤其是在耐药水平不够高的分离株中。此外,即使高耐药性分离株形成的生物膜总是很弱,它们仍可为分离株提供相似水平的保护。进一步的基因探索将增进我们对这些过程的理解,并为鲍曼不动杆菌生物膜相关感染的治疗和预防提供新的见解。

https://cdn.ncbi.nlm.nih.gov/pmc/blobs/13f3/4828443/aff5fffca7a3/fmicb-07-00483-g0001.jpg

文献检索

告别复杂PubMed语法,用中文像聊天一样搜索,搜遍4000万医学文献。AI智能推荐,让科研检索更轻松。

立即免费搜索

文件翻译

保留排版,准确专业,支持PDF/Word/PPT等文件格式,支持 12+语言互译。

免费翻译文档

深度研究

AI帮你快速写综述,25分钟生成高质量综述,智能提取关键信息,辅助科研写作。

立即免费体验