Suppr超能文献

相似文献

1
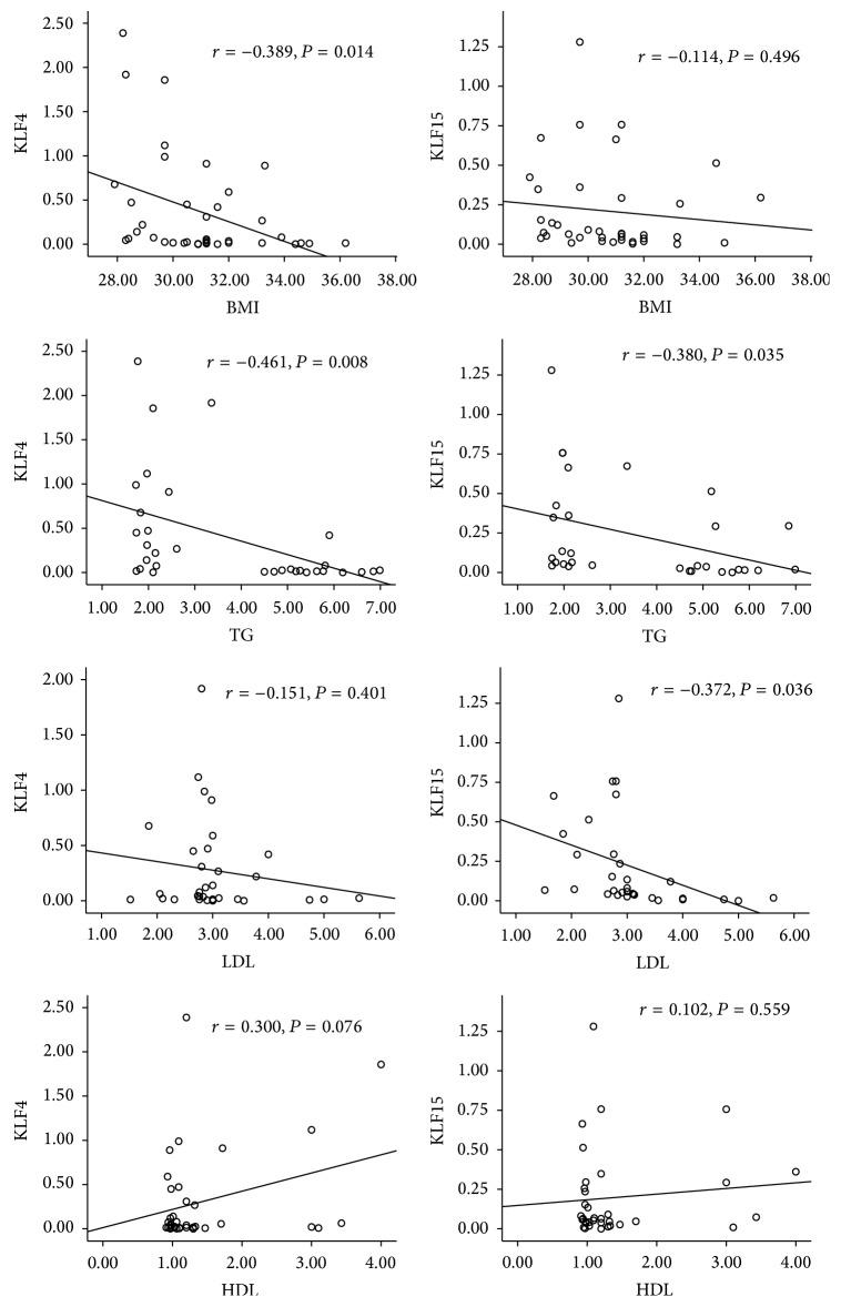
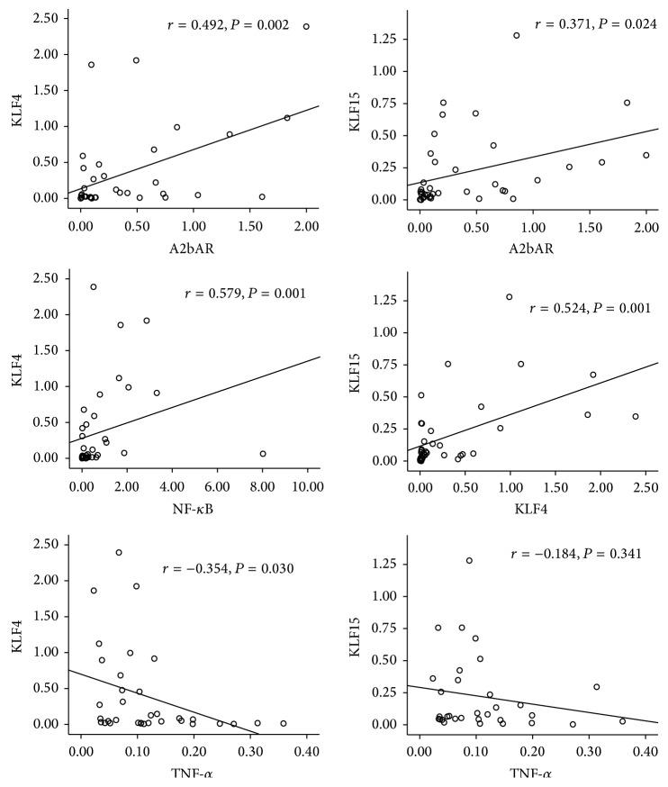
Correlation of A2bAR and KLF4/KLF15 with Obesity-Dyslipidemia Induced Inflammation in Uygur Population.
Mediators Inflamm. 2016;2016:7015620. doi: 10.1155/2016/7015620. Epub 2016 Apr 21.
2
Correlation of TLR4 and KLF7 in Inflammation Induced by Obesity.
Inflammation. 2017 Feb;40(1):42-51. doi: 10.1007/s10753-016-0450-z.
3
An adenosine receptor-Krüppel-like factor 4 protein axis inhibits adipogenesis.
J Biol Chem. 2014 Jul 25;289(30):21071-81. doi: 10.1074/jbc.M114.566406.
5
The Effect and Mechanism of TLR9/KLF4 in FFA-Induced Adipocyte Inflammation.
Mediators Inflamm. 2018 Dec 18;2018:6313484. doi: 10.1155/2018/6313484. eCollection 2018.
6
The inflammatory state of adipose tissue is not affected by the anti-inflammatory response of the A2a-adenosine system and miR-221/PTEN.
Int J Biochem Cell Biol. 2018 Jul;100:42-48. doi: 10.1016/j.biocel.2018.04.020. Epub 2018 May 3.
7
8
Obesity activates toll-like receptor-mediated proinflammatory signaling cascades in the adipose tissue of mice.
J Nutr Biochem. 2012 Feb;23(2):113-22. doi: 10.1016/j.jnutbio.2010.10.012. Epub 2011 Mar 16.
10

引用本文的文献

1
Therapeutic Targeting of Krüppel-Like Factor 4 and Its Pharmacological Potential in Parkinson's Disease: a Comprehensive Review.
Mol Neurobiol. 2024 Jun;61(6):3596-3606. doi: 10.1007/s12035-023-03800-2. Epub 2023 Nov 24.
2
PA and OA induce abnormal glucose metabolism by inhibiting KLF15 in adipocytes.
Nutr Metab (Lond). 2021 Nov 21;18(1):100. doi: 10.1186/s12986-021-00628-2.
3
Identification of Key Pathways and Genes in Obesity Using Bioinformatics Analysis and Molecular Docking Studies.
Front Endocrinol (Lausanne). 2021 Jun 24;12:628907. doi: 10.3389/fendo.2021.628907. eCollection 2021.
5
Saussureae Involucratae Herba (Snow Lotus): Review of Chemical Compositions and Pharmacological Properties.
Front Pharmacol. 2020 Jan 14;10:1549. doi: 10.3389/fphar.2019.01549. eCollection 2019.
6
Sex differences in gene expression related to antipsychotic induced weight gain.
PLoS One. 2019 Apr 15;14(4):e0215477. doi: 10.1371/journal.pone.0215477. eCollection 2019.
8
Krüppel-like factors: Crippling and un-crippling metabolic pathways.
JACC Basic Transl Sci. 2018 Feb;3(1):132-156. doi: 10.1016/j.jacbts.2017.09.001. Epub 2018 Mar 1.

本文引用的文献

2
Comprehensive Map of Molecules Implicated in Obesity.
PLoS One. 2016 Feb 17;11(2):e0146759. doi: 10.1371/journal.pone.0146759. eCollection 2016.
3
Adipose Tissues Characteristics of Normal, Obesity, and Type 2 Diabetes in Uygurs Population.
J Diabetes Res. 2015;2015:905042. doi: 10.1155/2015/905042. Epub 2015 Jul 27.
5
Adenosine receptors and diabetes: Focus on the A(2B) adenosine receptor subtype.
Pharmacol Res. 2015 Sep;99:229-36. doi: 10.1016/j.phrs.2015.06.015. Epub 2015 Jul 2.
6
KLF15 and PPARα Cooperate to Regulate Cardiomyocyte Lipid Gene Expression and Oxidation.
PPAR Res. 2015;2015:201625. doi: 10.1155/2015/201625. Epub 2015 Feb 26.
8
Homeostasis, inflammation, and disease susceptibility.
Cell. 2015 Feb 26;160(5):816-827. doi: 10.1016/j.cell.2015.02.010.
9
An adenosine receptor-Krüppel-like factor 4 protein axis inhibits adipogenesis.
J Biol Chem. 2014 Jul 25;289(30):21071-81. doi: 10.1074/jbc.M114.566406.
10
The macrophage A2B adenosine receptor regulates tissue insulin sensitivity.
PLoS One. 2014 Jun 3;9(6):e98775. doi: 10.1371/journal.pone.0098775. eCollection 2014.

文献AI研究员

20分钟写一篇综述,助力文献阅读效率提升50倍。

立即体验

用中文搜PubMed

大模型驱动的PubMed中文搜索引擎

马上搜索

文档翻译

学术文献翻译模型,支持多种主流文档格式。

立即体验