Xu Yanan, Ibrahim Iskander M, Harvey Patricia J
University of Greenwich, Faculty of Engineering and Science, Central Avenue, Chatham Maritime, Kent, ME4 4TB, UK.
University of Greenwich, Faculty of Engineering and Science, Central Avenue, Chatham Maritime, Kent, ME4 4TB, UK.
Plant Physiol Biochem. 2016 Sep;106:305-15. doi: 10.1016/j.plaphy.2016.05.021. Epub 2016 May 17.
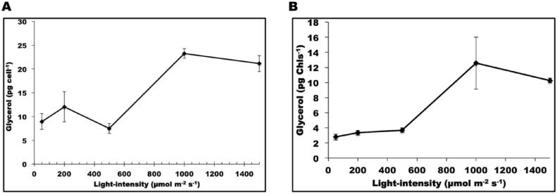
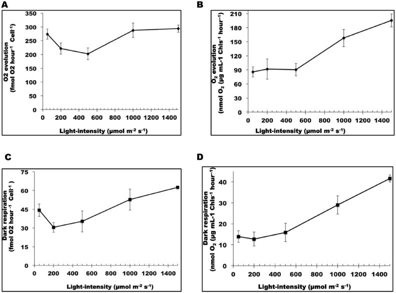
The green microalga Dunaliella salina survives in a wide range of salinities via mechanisms involving glycerol synthesis and degradation and is exploited for large amounts of nutraceutical carotenoids produced under stressed conditions. In this study, D. salina CCAP 19/30 was cultured in varying photoperiods and light intensities to study the relationship of light with different growth measurement parameters, with cellular contents of glycerol, starch and carotenoids, and with photosynthesis and respiration. Results show CCAP 19/30 regulated cell volume when growing under light/dark cycles: cell volume increased in the light and decreased in the dark, and these changes corresponded to changes in cellular glycerol content. The decrease in cell volume in the dark was independent of cell division and biological clock and was regulated by the photoperiod of the light/dark cycle. When the light intensity was increased to above 1000 μmol photons m(-2) s(-1), cells displayed evidence of photodamage. However, these cells also maintained the maximum level of photosynthesis efficiency and respiration possible, and the growth rate increased as light intensity increased. Significantly, the intracellular glycerol content also increased, >2-fold compared to the content in light intensity of 500 μmol photons m(-2) s(-1), but there was no commensurate increase in the pool size of carotenoids. These data suggest that in CCAP 19/30 glycerol stabilized the photosynthetic apparatus for maximum performance in high light intensities, a role normally attributed to carotenoids.
绿色微藻盐生杜氏藻通过涉及甘油合成与降解的机制在广泛的盐度范围内生存,并因其在胁迫条件下产生大量营养类胡萝卜素而得到开发利用。在本研究中,将盐生杜氏藻CCAP 19/30培养在不同的光周期和光强度下,以研究光与不同生长测量参数、细胞内甘油、淀粉和类胡萝卜素含量以及光合作用和呼吸作用之间的关系。结果表明,CCAP 19/30在光/暗循环下生长时会调节细胞体积:细胞体积在光照下增加,在黑暗中减小,且这些变化与细胞内甘油含量的变化相对应。黑暗中细胞体积的减小与细胞分裂和生物钟无关,而是由光/暗循环的光周期调节的。当光强度增加到1000 μmol光子·m⁻²·s⁻¹以上时,细胞出现光损伤迹象。然而,这些细胞也保持了可能的最大光合作用效率和呼吸水平,并且生长速率随着光强度的增加而增加。值得注意的是,细胞内甘油含量也增加了,与500 μmol光子·m⁻²·s⁻¹光强度下的含量相比增加了2倍以上,但类胡萝卜素的库大小没有相应增加。这些数据表明,在CCAP 19/30中,甘油稳定了光合装置,使其在高光强度下发挥最大性能,而这一作用通常归因于类胡萝卜素。