• 文献检索
  • 文档翻译
  • 深度研究
  • 学术资讯
  • Suppr Zotero 插件Zotero 插件
  • 邀请有礼
  • 套餐&价格
  • 历史记录
应用&插件
Suppr Zotero 插件Zotero 插件浏览器插件Mac 客户端Windows 客户端微信小程序
定价
高级版会员购买积分包购买API积分包
服务
文献检索文档翻译深度研究API 文档MCP 服务
关于我们
关于 Suppr公司介绍联系我们用户协议隐私条款
关注我们

Suppr 超能文献

核心技术专利:CN118964589B侵权必究
粤ICP备2023148730 号-1Suppr @ 2026

文献检索

告别复杂PubMed语法,用中文像聊天一样搜索,搜遍4000万医学文献。AI智能推荐,让科研检索更轻松。

立即免费搜索

文件翻译

保留排版,准确专业,支持PDF/Word/PPT等文件格式,支持 12+语言互译。

免费翻译文档

深度研究

AI帮你快速写综述,25分钟生成高质量综述,智能提取关键信息,辅助科研写作。

立即免费体验

登革病毒血清交叉反应性驱动寨卡病毒感染的抗体依赖性增强。

Dengue virus sero-cross-reactivity drives antibody-dependent enhancement of infection with zika virus.

作者信息

Dejnirattisai Wanwisa, Supasa Piyada, Wongwiwat Wiyada, Rouvinski Alexander, Barba-Spaeth Giovanna, Duangchinda Thaneeya, Sakuntabhai Anavaj, Cao-Lormeau Van-Mai, Malasit Prida, Rey Felix A, Mongkolsapaya Juthathip, Screaton Gavin R

机构信息

Division of Immunology and Inflammation, Department of Medicine, Hammersmith Campus, Imperial College London, UK.

Dengue Hemorrhagic Fever Research Unit, Office for Research and Development, Siriraj Hospital, Faculty of Medicine, Mahidol University, Bangkok, Thailand.

出版信息

Nat Immunol. 2016 Sep;17(9):1102-8. doi: 10.1038/ni.3515. Epub 2016 Jun 23.

DOI:10.1038/ni.3515
PMID:27339099
原文链接:https://pmc.ncbi.nlm.nih.gov/articles/PMC4994874/
Abstract

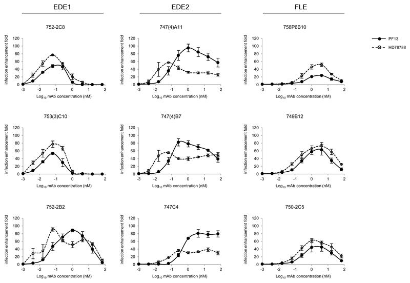
Zika virus (ZIKV) was discovered in 1947 and was thought to lead to relatively mild disease. The recent explosive outbreak of ZIKV in South America has led to widespread concern, with reports of neurological sequelae ranging from Guillain Barré syndrome to microcephaly. ZIKV infection has occurred in areas previously exposed to dengue virus (DENV), a flavivirus closely related to ZIKV. Here we investigated the serological cross-reaction between the two viruses. Plasma immune to DENV showed substantial cross-reaction to ZIKV and was able to drive antibody-dependent enhancement (ADE) of ZIKV infection. Using a panel of human monoclonal antibodies (mAbs) to DENV, we showed that most antibodies that reacted to DENV envelope protein also reacted to ZIKV. Antibodies to linear epitopes, including the immunodominant fusion-loop epitope, were able to bind ZIKV but were unable to neutralize the virus and instead promoted ADE. Our data indicate that immunity to DENV might drive greater ZIKV replication and have clear implications for disease pathogenesis and future vaccine programs for ZIKV and DENV.

摘要

寨卡病毒(ZIKV)于1947年被发现,曾被认为只会引发相对轻微的疾病。近期寨卡病毒在南美洲的爆发式流行引发了广泛关注,有报告称出现了从吉兰-巴雷综合征到小头畸形等一系列神经后遗症。寨卡病毒感染发生在先前已接触过登革病毒(DENV)的地区,登革病毒是一种与寨卡病毒密切相关的黄病毒。在此,我们研究了这两种病毒之间的血清学交叉反应。对登革病毒免疫的血浆对寨卡病毒表现出显著的交叉反应,并能够驱动寨卡病毒感染的抗体依赖性增强(ADE)。利用一组针对登革病毒的人单克隆抗体(mAb),我们发现大多数与登革病毒包膜蛋白发生反应的抗体也与寨卡病毒发生反应。针对线性表位(包括免疫显性融合环表位)的抗体能够结合寨卡病毒,但无法中和该病毒,反而促进了ADE。我们的数据表明,对登革病毒的免疫力可能会促使寨卡病毒更多地复制,这对疾病发病机制以及未来针对寨卡病毒和登革病毒的疫苗计划具有明确的意义。

https://cdn.ncbi.nlm.nih.gov/pmc/blobs/e672/4994874/0698188c03e2/emss-68871-f006.jpg
https://cdn.ncbi.nlm.nih.gov/pmc/blobs/e672/4994874/a30a63d0964a/emss-68871-f001.jpg
https://cdn.ncbi.nlm.nih.gov/pmc/blobs/e672/4994874/728b31ed353d/emss-68871-f002.jpg
https://cdn.ncbi.nlm.nih.gov/pmc/blobs/e672/4994874/108da2288bf9/emss-68871-f003.jpg
https://cdn.ncbi.nlm.nih.gov/pmc/blobs/e672/4994874/aa3ebc110f99/emss-68871-f004.jpg
https://cdn.ncbi.nlm.nih.gov/pmc/blobs/e672/4994874/22c5673a2288/emss-68871-f005.jpg
https://cdn.ncbi.nlm.nih.gov/pmc/blobs/e672/4994874/0698188c03e2/emss-68871-f006.jpg
https://cdn.ncbi.nlm.nih.gov/pmc/blobs/e672/4994874/a30a63d0964a/emss-68871-f001.jpg
https://cdn.ncbi.nlm.nih.gov/pmc/blobs/e672/4994874/728b31ed353d/emss-68871-f002.jpg
https://cdn.ncbi.nlm.nih.gov/pmc/blobs/e672/4994874/108da2288bf9/emss-68871-f003.jpg
https://cdn.ncbi.nlm.nih.gov/pmc/blobs/e672/4994874/aa3ebc110f99/emss-68871-f004.jpg
https://cdn.ncbi.nlm.nih.gov/pmc/blobs/e672/4994874/22c5673a2288/emss-68871-f005.jpg
https://cdn.ncbi.nlm.nih.gov/pmc/blobs/e672/4994874/0698188c03e2/emss-68871-f006.jpg

相似文献

1
Dengue virus sero-cross-reactivity drives antibody-dependent enhancement of infection with zika virus.登革病毒血清交叉反应性驱动寨卡病毒感染的抗体依赖性增强。
Nat Immunol. 2016 Sep;17(9):1102-8. doi: 10.1038/ni.3515. Epub 2016 Jun 23.
2
Humoral cross-reactivity between Zika and dengue viruses: implications for protection and pathology.寨卡病毒与登革病毒之间的体液交叉反应性:对保护作用和病理学的影响
Emerg Microbes Infect. 2017 May 10;6(5):e33. doi: 10.1038/emi.2017.42.
3
Dengue Virus Envelope Dimer Epitope Monoclonal Antibodies Isolated from Dengue Patients Are Protective against Zika Virus.从登革热患者中分离出的登革病毒包膜二聚体表位单克隆抗体对寨卡病毒具有保护作用。
mBio. 2016 Jul 19;7(4):e01123-16. doi: 10.1128/mBio.01123-16.
4
Cross-reactive dengue virus-derived monoclonal antibodies to Zika virus envelope protein: Panacea or Pandora's box?交叉反应性登革热病毒衍生的 Zika 病毒包膜蛋白单克隆抗体:万灵药还是潘多拉魔盒?
BMC Infect Dis. 2018 Dec 10;18(1):641. doi: 10.1186/s12879-018-3572-0.
5
A protective Zika virus E-dimer-based subunit vaccine engineered to abrogate antibody-dependent enhancement of dengue infection.一种基于 Zika 病毒 E-二聚体的保护性亚单位疫苗,经工程改造后可消除抗体依赖性增强登革热感染的作用。
Nat Immunol. 2019 Oct;20(10):1291-1298. doi: 10.1038/s41590-019-0477-z. Epub 2019 Sep 2.
6
Identification of Anti-Premembrane Antibody as a Serocomplex-Specific Marker To Discriminate Zika, Dengue, and West Nile Virus Infections.鉴定抗前膜抗体作为血清复合物特异性标志物以区分寨卡病毒、登革热病毒和西尼罗河病毒感染
J Virol. 2021 Sep 9;95(19):e0061921. doi: 10.1128/JVI.00619-21.
7
Modulation of Dengue/Zika Virus Pathogenicity by Antibody-Dependent Enhancement and Strategies to Protect Against Enhancement in Zika Virus Infection.抗体依赖性增强作用对登革热/寨卡病毒致病性的调节作用及寨卡病毒感染中预防增强作用的策略。
Front Immunol. 2018 Apr 23;9:597. doi: 10.3389/fimmu.2018.00597. eCollection 2018.
8
Longitudinal Analysis of Antibody Cross-neutralization Following Zika Virus and Dengue Virus Infection in Asia and the Americas.亚洲和美洲寨卡病毒和登革热病毒感染后的抗体交叉中和的纵向分析。
J Infect Dis. 2018 Jul 13;218(4):536-545. doi: 10.1093/infdis/jiy164.
9
Cross-Reaction, Enhancement, and Neutralization Activity of Dengue Virus Antibodies against Zika Virus: A Study in the Mexican Population.登革热病毒抗体对寨卡病毒的交叉反应、增强和中和活性:墨西哥人群的研究。
J Immunol Res. 2019 Sep 2;2019:7239347. doi: 10.1155/2019/7239347. eCollection 2019.
10
Human antibody response to Zika targets type-specific quaternary structure epitopes.人类对寨卡病毒的抗体反应针对的是特定类型的四级结构表位。
JCI Insight. 2019 Apr 18;4(8). doi: 10.1172/jci.insight.124588.

引用本文的文献

1
Pre-existing YFV-17D immunity mediates T cell cross-protection against dengue virus serotype 2 infection in mice.预先存在的黄热病病毒17D免疫力介导小鼠T细胞对登革病毒2型感染的交叉保护作用。
Commun Biol. 2025 Sep 2;8(1):1334. doi: 10.1038/s42003-025-08793-3.
2
Factors determining the outcomes of immune imprinting after repeated orthoflavivirus infections.决定反复感染黄病毒属病毒后免疫印记结果的因素。
Front Immunol. 2025 Jul 16;16:1560851. doi: 10.3389/fimmu.2025.1560851. eCollection 2025.
3
Dengue and Flavivirus Co-Infections: Challenges in Diagnosis, Treatment, and Disease Management.

本文引用的文献

1
Dengue virus antibodies enhance Zika virus infection.登革病毒抗体可增强寨卡病毒感染。
Clin Transl Immunology. 2016 Dec 16;5(12):e117. doi: 10.1038/cti.2016.72. eCollection 2016 Dec.
2
Structural basis of potent Zika-dengue virus antibody cross-neutralization.强效寨卡-登革热病毒抗体交叉中和的结构基础。
Nature. 2016 Aug 4;536(7614):48-53. doi: 10.1038/nature18938. Epub 2016 Jun 23.
3
The Brazilian Zika virus strain causes birth defects in experimental models.巴西寨卡病毒毒株在实验模型中会导致出生缺陷。
登革热与黄病毒合并感染:诊断、治疗及疾病管理中的挑战
Int J Mol Sci. 2025 Jul 10;26(14):6609. doi: 10.3390/ijms26146609.
4
The Evolving Role of Zika Virus Envelope Protein in Viral Entry and Pathogenesis.寨卡病毒包膜蛋白在病毒进入和发病机制中的演变作用
Viruses. 2025 Jun 6;17(6):817. doi: 10.3390/v17060817.
5
From Antibodies to Immunity: Assessing Correlates of Flavivirus Protection and Cross-Reactivity.从抗体到免疫:评估黄病毒保护和交叉反应的相关因素。
Vaccines (Basel). 2025 Apr 24;13(5):449. doi: 10.3390/vaccines13050449.
6
Heterologous prime-boost Zika virus vaccination induces comprehensive humoral and cellular immunity in mouse models.异源初免-加强寨卡病毒疫苗接种在小鼠模型中诱导全面的体液免疫和细胞免疫。
Front Immunol. 2025 Apr 25;16:1578427. doi: 10.3389/fimmu.2025.1578427. eCollection 2025.
7
Toward a deeper understanding of dengue: novel method for quantification and isolation of envelope protein epitope-specific antibodies.迈向对登革热的更深入理解:定量和分离包膜蛋白表位特异性抗体的新方法。
mSphere. 2025 May 27;10(5):e0096124. doi: 10.1128/msphere.00961-24. Epub 2025 Apr 11.
8
mRNA vaccine platforms: linking infectious disease prevention and cancer immunotherapy.信使核糖核酸疫苗平台:连接传染病预防与癌症免疫治疗
Front Bioeng Biotechnol. 2025 Mar 12;13:1547025. doi: 10.3389/fbioe.2025.1547025. eCollection 2025.
9
Role of non-human primate models in accelerating research and developing countermeasures against Zika virus infection.非人灵长类动物模型在加速寨卡病毒感染研究及开发应对措施中的作用。
Lancet Microbe. 2025 Jun;6(6):101030. doi: 10.1016/j.lanmic.2024.101030. Epub 2025 Feb 27.
10
Antibody-dependent enhancement of coronaviruses.冠状病毒的抗体依赖性增强作用。
Int J Biol Sci. 2025 Feb 3;21(4):1686-1704. doi: 10.7150/ijbs.96112. eCollection 2025.
Nature. 2016 Jun 9;534(7606):267-71. doi: 10.1038/nature18296. Epub 2016 May 11.
4
Zika Virus Infection during Pregnancy in Mice Causes Placental Damage and Fetal Demise.小鼠孕期感染寨卡病毒会导致胎盘损伤和胎儿死亡。
Cell. 2016 May 19;165(5):1081-1091. doi: 10.1016/j.cell.2016.05.008. Epub 2016 May 11.
5
Zika Virus Disrupts Neural Progenitor Development and Leads to Microcephaly in Mice.寨卡病毒扰乱神经祖细胞发育,导致小鼠小头畸形。
Cell Stem Cell. 2016 Jul 7;19(1):120-6. doi: 10.1016/j.stem.2016.04.017. Epub 2016 May 11.
6
Zika Virus Depletes Neural Progenitors in Human Cerebral Organoids through Activation of the Innate Immune Receptor TLR3.寨卡病毒通过激活天然免疫受体TLR3消耗人脑海马体类器官中的神经祖细胞。
Cell Stem Cell. 2016 Aug 4;19(2):258-265. doi: 10.1016/j.stem.2016.04.014. Epub 2016 May 6.
7
Zika virus impairs growth in human neurospheres and brain organoids.寨卡病毒会损害人类神经球和脑类器官的生长。
Science. 2016 May 13;352(6287):816-8. doi: 10.1126/science.aaf6116. Epub 2016 Apr 10.
8
Zika Virus.寨卡病毒
Clin Microbiol Rev. 2016 Jul;29(3):487-524. doi: 10.1128/CMR.00072-15.
9
Association between Zika virus and microcephaly in French Polynesia, 2013-15: a retrospective study.2013 - 2015年法属波利尼西亚寨卡病毒与小头畸形的关联:一项回顾性研究
Lancet. 2016 May 21;387(10033):2125-2132. doi: 10.1016/S0140-6736(16)00651-6. Epub 2016 Mar 16.
10
Zika Virus: New Clinical Syndromes and Its Emergence in the Western Hemisphere.寨卡病毒:新的临床综合征及其在西半球的出现
J Virol. 2016 Apr 29;90(10):4864-4875. doi: 10.1128/JVI.00252-16. Print 2016 May 15.