• 文献检索
  • 文档翻译
  • 深度研究
  • 学术资讯
  • Suppr Zotero 插件Zotero 插件
  • 邀请有礼
  • 套餐&价格
  • 历史记录
应用&插件
Suppr Zotero 插件Zotero 插件浏览器插件Mac 客户端Windows 客户端微信小程序
定价
高级版会员购买积分包购买API积分包
服务
文献检索文档翻译深度研究API 文档MCP 服务
关于我们
关于 Suppr公司介绍联系我们用户协议隐私条款
关注我们

Suppr 超能文献

核心技术专利:CN118964589B侵权必究
粤ICP备2023148730 号-1Suppr @ 2026

文献检索

告别复杂PubMed语法,用中文像聊天一样搜索,搜遍4000万医学文献。AI智能推荐,让科研检索更轻松。

立即免费搜索

文件翻译

保留排版,准确专业,支持PDF/Word/PPT等文件格式,支持 12+语言互译。

免费翻译文档

深度研究

AI帮你快速写综述,25分钟生成高质量综述,智能提取关键信息,辅助科研写作。

立即免费体验

黑色素瘤MAICare框架:一种用于评估个体化癌症护理的微观模拟模型。

The Melanoma MAICare Framework: A Microsimulation Model for the Assessment of Individualized Cancer Care.

作者信息

van der Meijde Elisabeth, van den Eertwegh Alfons J M, Linn Sabine C, Meijer Gerrit A, Fijneman Remond J A, Coupé Veerle M H

机构信息

Department of Epidemiology and Biostatistics, VU University Medical Center, Amsterdam, the Netherlands.

Department of Medical Oncology, VU University Medical Centre, Amsterdam, the Netherlands.

出版信息

Cancer Inform. 2016 Jun 15;15:115-27. doi: 10.4137/CIN.S38122. eCollection 2016.

DOI:10.4137/CIN.S38122
PMID:27346945
原文链接:https://pmc.ncbi.nlm.nih.gov/articles/PMC4912231/
Abstract

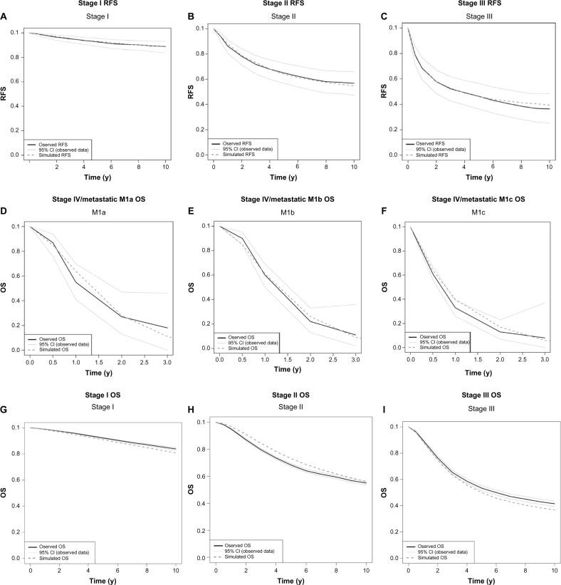
Recently, new but expensive treatments have become available for metastatic melanoma. These improve survival, but in view of the limited funds available, cost-effectiveness needs to be evaluated. Most cancer cost-effectiveness models are based on the observed clinical events such as recurrence- free and overall survival. Times at which events are recorded depend not only on the effectiveness of treatment but also on the timing of examinations and the types of tests performed. Our objective was to construct a microsimulation model framework that describes the melanoma disease process using a description of underlying tumor growth as well as its interaction with diagnostics, treatments, and surveillance. The framework should allow for exploration of the impact of simultaneously altering curative treatment approaches in different phases of the disease as well as altering diagnostics. The developed framework consists of two components, namely, the disease model and the clinical management module. The disease model consists of a tumor level, describing growth and metastasis of the tumor, and a patient level, describing clinically observed states, such as recurrence and death. The clinical management module consists of the care patients receive. This module interacts with the disease process, influencing the rate of transition between tumor growth states at the tumor level and the rate of detecting a recurrence at the patient level. We describe the framework as the required input and the model output. Furthermore, we illustrate model calibration using registry data and data from the literature.

摘要

最近,针对转移性黑色素瘤出现了新的但昂贵的治疗方法。这些方法可提高生存率,但鉴于可用资金有限,需要评估成本效益。大多数癌症成本效益模型基于观察到的临床事件,如无复发生存期和总生存期。记录事件的时间不仅取决于治疗效果,还取决于检查时间和所进行的检测类型。我们的目标是构建一个微观模拟模型框架,该框架使用对潜在肿瘤生长及其与诊断、治疗和监测的相互作用的描述来描述黑色素瘤疾病过程。该框架应允许探索在疾病不同阶段同时改变根治性治疗方法以及改变诊断的影响。所开发的框架由两个部分组成,即疾病模型和临床管理模块。疾病模型包括一个肿瘤层面,描述肿瘤的生长和转移,以及一个患者层面,描述临床观察到的状态,如复发和死亡。临床管理模块包括患者接受的护理。该模块与疾病过程相互作用,影响肿瘤层面肿瘤生长状态之间的转变率以及患者层面检测到复发的速率。我们将框架描述为所需输入和模型输出。此外,我们使用登记数据和文献数据来说明模型校准。

https://cdn.ncbi.nlm.nih.gov/pmc/blobs/a8b0/4912231/4aea7a2cd72b/cin-15-2016-115f4.jpg
https://cdn.ncbi.nlm.nih.gov/pmc/blobs/a8b0/4912231/73b3b9a26a43/cin-15-2016-115f1.jpg
https://cdn.ncbi.nlm.nih.gov/pmc/blobs/a8b0/4912231/23690c321084/cin-15-2016-115f2.jpg
https://cdn.ncbi.nlm.nih.gov/pmc/blobs/a8b0/4912231/2cf08954617a/cin-15-2016-115f3.jpg
https://cdn.ncbi.nlm.nih.gov/pmc/blobs/a8b0/4912231/4aea7a2cd72b/cin-15-2016-115f4.jpg
https://cdn.ncbi.nlm.nih.gov/pmc/blobs/a8b0/4912231/73b3b9a26a43/cin-15-2016-115f1.jpg
https://cdn.ncbi.nlm.nih.gov/pmc/blobs/a8b0/4912231/23690c321084/cin-15-2016-115f2.jpg
https://cdn.ncbi.nlm.nih.gov/pmc/blobs/a8b0/4912231/2cf08954617a/cin-15-2016-115f3.jpg
https://cdn.ncbi.nlm.nih.gov/pmc/blobs/a8b0/4912231/4aea7a2cd72b/cin-15-2016-115f4.jpg

相似文献

1
The Melanoma MAICare Framework: A Microsimulation Model for the Assessment of Individualized Cancer Care.黑色素瘤MAICare框架:一种用于评估个体化癌症护理的微观模拟模型。
Cancer Inform. 2016 Jun 15;15:115-27. doi: 10.4137/CIN.S38122. eCollection 2016.
2
Multistate Statistical Modeling: A Tool to Build a Lung Cancer Microsimulation Model That Includes Parameter Uncertainty and Patient Heterogeneity.多州统计建模:一种构建包含参数不确定性和患者异质性的肺癌微观模拟模型的工具。
Med Decis Making. 2016 Jan;36(1):86-100. doi: 10.1177/0272989X15574500. Epub 2015 Mar 2.
3
Tuberculosis结核病
4
Cost-effectiveness of using prognostic information to select women with breast cancer for adjuvant systemic therapy.利用预后信息为乳腺癌患者选择辅助性全身治疗的成本效益
Health Technol Assess. 2006 Sep;10(34):iii-iv, ix-xi, 1-204. doi: 10.3310/hta10340.
5
6
Development of a microsimulation of melanoma mortality for evaluating the effectiveness of population-based skin cancer screening.开发一种黑色素瘤死亡率微观模拟模型,用于评估基于人群的皮肤癌筛查的有效性。
Med Decis Making. 2015 Feb;35(2):243-54. doi: 10.1177/0272989X14543106. Epub 2014 Aug 21.
7
Cohort versus patient level simulation for the economic evaluation of single versus combination immuno-oncology therapies in metastatic melanoma.队列与患者水平模拟在转移性黑色素瘤中单药与联合免疫肿瘤治疗经济学评价中的应用。
J Med Econ. 2019 Jun;22(6):531-544. doi: 10.1080/13696998.2019.1569446. Epub 2019 Jan 30.
8
Surveillance of Barrett's oesophagus: exploring the uncertainty through systematic review, expert workshop and economic modelling.巴雷特食管的监测:通过系统评价、专家研讨会和经济模型探索不确定性
Health Technol Assess. 2006 Mar;10(8):1-142, iii-iv. doi: 10.3310/hta10080.
9
10
CMOST: an open-source framework for the microsimulation of colorectal cancer screening strategies.CMOST:一种用于结直肠癌筛查策略微观模拟的开源框架。
BMC Med Inform Decis Mak. 2017 Jun 5;17(1):80. doi: 10.1186/s12911-017-0458-9.

引用本文的文献

1
A Scoping Review on Calibration Methods for Cancer Simulation Models.癌症模拟模型校准方法的范围综述
Med Decis Making. 2025 Aug 11:272989X251353211. doi: 10.1177/0272989X251353211.
2
A systematic review of microsimulation models for skin cancer.皮肤癌微观模拟模型的系统评价。
BMC Med Inform Decis Mak. 2025 Jul 1;25(1):222. doi: 10.1186/s12911-025-03074-9.
3
Cost-Effectiveness of Drug Treatments for Advanced Melanoma: A Systematic Literature Review.药物治疗晚期黑色素瘤的成本效益:系统文献回顾。

本文引用的文献

1
A simulation model of colorectal cancer surveillance and recurrence.结直肠癌监测和复发的仿真模型。
BMC Med Inform Decis Mak. 2014 Apr 8;14:29. doi: 10.1186/1472-6947-14-29.
2
Economic modelling of diagnostic and treatment pathways in National Institute for Health and Care Excellence clinical guidelines: the Modelling Algorithm Pathways in Guidelines (MAPGuide) project.经济建模在英国国家卫生与临床优化研究所临床指南中的诊断和治疗路径:指南中的建模算法路径(MAPGuide)项目。
Health Technol Assess. 2013 Dec;17(58):v-vi, 1-192. doi: 10.3310/hta17580.
3
Evaluating PET-CT in the detection and management of recurrent cervical cancer: systematic reviews of diagnostic accuracy and subjective elicitation.
Pharmacoeconomics. 2017 Sep;35(9):879-893. doi: 10.1007/s40273-017-0517-1.
评估 PET-CT 在复发性宫颈癌检测和管理中的应用:诊断准确性的系统评价和主观评价。
BJOG. 2014 Mar;121(4):398-407. doi: 10.1111/1471-0528.12488. Epub 2013 Dec 3.
4
Modeling the Adenoma and Serrated pathway to Colorectal CAncer (ASCCA).构建腺瘤和锯齿状途径至结直肠癌(ASCCA)的模型。
Risk Anal. 2014 May;34(5):889-910. doi: 10.1111/risa.12137. Epub 2013 Oct 31.
5
Economic burden of cancer across the European Union: a population-based cost analysis.欧盟癌症的经济负担:基于人群的成本分析。
Lancet Oncol. 2013 Nov;14(12):1165-74. doi: 10.1016/S1470-2045(13)70442-X. Epub 2013 Oct 14.
6
Is surveillance imaging effective for detecting surgically treatable recurrences in patients with melanoma? A comparative analysis of stage-specific surveillance strategies.对于检测黑色素瘤患者经手术治疗后可治疗的复发,监测成像是否有效?基于特定分期的监测策略的对比分析。
Ann Surg. 2014 Jun;259(6):1215-22. doi: 10.1097/SLA.0000000000000233.
7
Medical technology as a key driver of rising health expenditure: disentangling the relationship.医疗技术作为医疗支出增长的关键驱动因素:理清两者关系。
Clinicoecon Outcomes Res. 2013 May 30;5:223-34. doi: 10.2147/CEOR.S39634. Print 2013.
8
Using whole disease modeling to inform resource allocation decisions: economic evaluation of a clinical guideline for colorectal cancer using a single model.使用全疾病建模为资源分配决策提供信息:使用单一模型对结直肠癌临床指南进行的经济评价。
Value Health. 2013 Jun;16(4):542-53. doi: 10.1016/j.jval.2013.02.012. Epub 2013 May 16.
9
The development and validation of a decision-analytic model representing the full disease course of acute myeloid leukemia.开发和验证了一个代表急性髓细胞白血病全病程的决策分析模型。
Pharmacoeconomics. 2013 Jul;31(7):605-21. doi: 10.1007/s40273-013-0058-1.
10
Prognostic factors of melanoma patients with satellite or in-transit metastasis at the time of stage III diagnosis.III 期诊断时伴卫星或远处转移的黑色素瘤患者的预后因素。
PLoS One. 2013 Apr 29;8(4):e63137. doi: 10.1371/journal.pone.0063137. Print 2013.