Suppr超能文献

在一个患者样本中,使用意大利、英国和美国的偏好权重对欧洲五维健康相关效用值进行比较。

A comparison of EuroQol 5-Dimension health-related utilities using Italian, UK, and US preference weights in a patient sample.

作者信息

Mozzi Adelaide, Meregaglia Michela, Lazzaro Carlo, Tornatore Valentina, Belfiglio Maurizio, Fattore Giovanni

机构信息

Department of Policy Analysis and Public Management, Bocconi University, Milan, Italy.

Centre for Research on Health and Social Care Management (CeRGAS), Bocconi University, Milan, Italy.

出版信息

Clinicoecon Outcomes Res. 2016 Jun 13;8:267-74. doi: 10.2147/CEOR.S98226. eCollection 2016.

Abstract

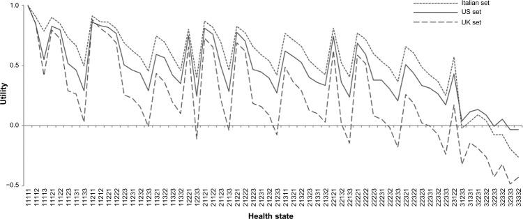
Weights associated with the EuroQol 5-Dimension 3-Level (EQ-5D-3L) instrument represent preferences for health states elicited from general population's samples. Weights have not been calculated for every country; however, empirical research shows that cross-country differences exist. This empirical study aims at investigating the impact of recently developed Italian weights in comparison with UK and US scores on health-related utility calculation using a sample of patients with Crohn's disease. The study is based on a survey on health-related quality of life in patients (n=552) affected by active Crohn's disease conducted in Italy from 2012 to 2013. Utilities computed through the Italian algorithm (mean: 0.76; SD: 0.20; median: 0.81) are generally higher than US (mean: 0.69; SD: 0.22; median: 0.77) and UK (mean: 0.57; SD: 0.32; median: 0.69) utilities, except for extremely severe health states where US values outweigh the Italian ones. UK preference weights generate the highest number of negative results. All the three value distributions are left-skewed due to very low scores associated with the most serious health states (ie, three or four levels equal to 3). As expected, despite the tariff set considered, more severe disease (Harvey Bradshaw Index >16) reduces the mean conditional EQ-5D-3L index (P<0.0001). Kendall's rank correlation between EQ Visual Analog Scale score and EQ-5D-3L index is positive (P<0.0001), even though patients tend to value their health-related quality of life more when responding to EQ-5D-3L questions than on EQ Visual Analog Scale. Regardless of the tariff set considered, ordinary least-square results highlight that more severe disease (Harvey Bradshaw Index >16) reduces the mean conditional EQ-5D-3L index (P<0.0001). Results reveal remarkable differences among the three national tariff sets and especially when severe health states occur, suggesting the need for country-specific preference weights when evaluating utilities, which can be problematic since they have not been calculated for every country yet.

摘要

与欧洲五维健康量表3级(EQ - 5D - 3L)工具相关的权重代表了从普通人群样本中得出的对健康状态的偏好。并非每个国家都计算了权重;然而,实证研究表明存在跨国差异。这项实证研究旨在调查与英国和美国分数相比,最近开发的意大利权重对使用克罗恩病患者样本进行健康相关效用计算的影响。该研究基于2012年至2013年在意大利对552名活动性克罗恩病患者进行的与健康相关生活质量的调查。通过意大利算法计算出的效用值(均值:0.76;标准差:0.20;中位数:0.81)总体上高于美国(均值:0.69;标准差:0.22;中位数:0.77)和英国(均值:0.57;标准差:0.32;中位数:0.69)的效用值,但在极其严重的健康状态下,美国的值超过了意大利的值。英国的偏好权重产生的负面结果数量最多。由于与最严重健康状态(即三个或四个级别等于3)相关的分数非常低,所有这三种价值分布都呈左偏态。正如预期的那样,尽管考虑了设定的关税,但病情更严重(哈维·布拉德肖指数>16)会降低平均条件EQ - 5D - 3L指数(P<0.0001)。EQ视觉模拟量表得分与EQ - 5D - 3L指数之间的肯德尔等级相关性为正(P<0.0001),尽管患者在回答EQ - 5D - 3L问题时往往比在EQ视觉模拟量表上更看重他们与健康相关的生活质量。无论考虑何种设定的关税,普通最小二乘法结果都表明病情更严重(哈维·布拉德肖指数>16)会降低平均条件EQ - 5D - 3L指数(P<0.0001)。结果揭示了这三种国家关税设定之间存在显著差异,尤其是在出现严重健康状态时,这表明在评估效用时需要特定国家的偏好权重,而这可能存在问题,因为并非每个国家都计算了权重。

https://cdn.ncbi.nlm.nih.gov/pmc/blobs/7a4c/4912314/16e7fa0c64ca/ceor-8-267Fig1.jpg

文献AI研究员

20分钟写一篇综述,助力文献阅读效率提升50倍。

立即体验

用中文搜PubMed

大模型驱动的PubMed中文搜索引擎

马上搜索

文档翻译

学术文献翻译模型,支持多种主流文档格式。

立即体验