Suppr超能文献

用于Leksell伽玛刀Perfexion放射外科系统治疗计划剂量验证的蒙特卡罗模型的开发。

Development of a Monte Carlo model for treatment planning dose verification of the Leksell Gamma Knife Perfexion radiosurgery system.

作者信息

Yuan Jiankui, Lo Simon S, Zheng Yiran, Sohn Jason W, Sloan Andrew E, Ellis Rodney, Machtay Mitchell, Wessels Barry

机构信息

University Hospitals, Case Medical Center.

出版信息

J Appl Clin Med Phys. 2016 Jul 8;17(4):190-201. doi: 10.1120/jacmp.v17i4.6196.

Abstract

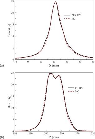
Detailed Monte Carlo (MC) modeling of the Leksell Gamma Knife (GK) Perfexion (PFX) collimator system is the only accurate ab initio approach appearing in the literature. As a different approach, in this work, we present a MC model based on film measurement. By adjusting the model parameters and fine-tuning the derived fluence map for each individual source to match the manufacturer's ring output factors, we created a reasonable virtual source model for MC simulations to verify treatment planning dose for the GK PFX radiosurgery system. The MC simulation model was commissioned by simple single shots. Dose profiles and both ring and collimator output factors were compared with the treatment planning system (TPS). Good agreement was achieved for dose profiles especially for the region of plateau (< 2%), while larger difference (< 5%) came from the penumbra region. The maximum difference of the calculated output factor was within 0.7%. The model was further validated by a clinical test case. Good agreement was obtained. The DVHs for brainstem and the skull were almost identical and, for the target, the volume covered by the prescription (12.5 Gy to 50% isodose line) was 95.6% from MC calculation versus 100% from the TPS.

摘要

对Leksell伽玛刀(GK)Perfexion(PFX)准直器系统进行详细的蒙特卡罗(MC)建模是文献中出现的唯一准确的从头开始的方法。作为一种不同的方法,在本研究中,我们提出了一种基于胶片测量的MC模型。通过调整模型参数并针对每个单独的源对导出的注量图进行微调以匹配制造商的环形输出因子,我们创建了一个合理的虚拟源模型用于MC模拟,以验证GK PFX放射外科系统的治疗计划剂量。MC模拟模型通过简单的单次照射进行调试。将剂量分布以及环形和准直器输出因子与治疗计划系统(TPS)进行了比较。对于剂量分布,尤其是在平台区域(<2%)取得了良好的一致性,而在半影区域差异较大(<5%)。计算得到的输出因子的最大差异在0.7%以内。该模型通过一个临床测试病例进一步验证。获得了良好的一致性。脑干和颅骨的剂量体积直方图几乎相同,对于靶区,MC计算得出的处方剂量(12.5 Gy至50%等剂量线)覆盖的体积为95.6%,而TPS为100%。

https://cdn.ncbi.nlm.nih.gov/pmc/blobs/c2c4/5690038/88b4adfcb4f3/ACM2-17-190-g001.jpg

文献AI研究员

20分钟写一篇综述,助力文献阅读效率提升50倍。

立即体验

用中文搜PubMed

大模型驱动的PubMed中文搜索引擎

马上搜索

文档翻译

学术文献翻译模型,支持多种主流文档格式。

立即体验