Suppr超能文献

切除的非小细胞肺癌免疫微环境分析:不同T淋巴细胞标志物的预后价值

Analysis of the immune microenvironment in resected non-small cell lung cancer: the prognostic value of different T lymphocyte markers.

作者信息

Usó Marta, Jantus-Lewintre Eloisa, Bremnes Roy M, Calabuig Silvia, Blasco Ana, Pastor Enrique, Borreda Irene, Molina-Pinelo Sonia, Paz-Ares Luis, Guijarro Ricardo, Martorell Miguel, Forteza Jerónimo, Camps Carlos, Sirera Rafael

机构信息

Department of Medicine, Universitat de València, Valencia, Spain.

Molecular Oncology Laboratory, Fundación Investigación, Hospital General Universitario de Valencia, Valencia, Spain.

出版信息

Oncotarget. 2016 Aug 16;7(33):52849-52861. doi: 10.18632/oncotarget.10811.

Abstract

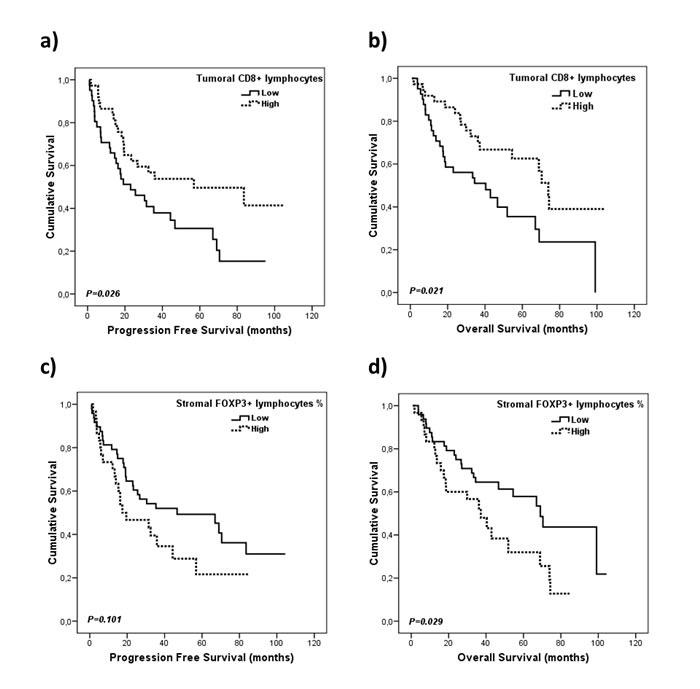
The prognosis of non-small cell lung cancer (NSCLC) remains poor and heterogeneous and new biomarkers are needed. As the immune system plays a pivotal role in cancer, the study of immune-related markers may provide valuable prognostic information of NSCLC. In 122 formalin-fixed, paraffin-embedded tumor tissue samples from early-stage NSCLC, tumor and tumor-near stromal areas were microdissected and gene expression levels of conventional and regulatory T cell markers were assessed by quantitative polymerase chain reaction. Also, the presence of infiltrating CD4+, CD8+, and FOXP3+ cells in tumor samples was assessed by immunohistochemistry. The relative proportion of conventional and regulatory T cells present in the tumor environment was assessed and found to be key to understand the importance that the immune system analysis has in the prognostics of NSCLC patients. The presence of CD8+ cells in the tumor compartment was associated with better outcome, whereas the presence of FOXP3+ cells was associated with worse overall survival. The negative prognostic value of combined biomarkers, indicating high levels of FOXP3 in the stroma and low levels of CD4 or CD8 in tumors, was observed at mRNA level and was validated by immunohistochemistry.In conclusion, the proportion of T helper and cytotoxic cells vs. regulatory T cells in different locations of the tumor microenvironment have opposite prognostic impacts in resected NSCLC.

摘要

非小细胞肺癌(NSCLC)的预后仍然很差且具有异质性,因此需要新的生物标志物。由于免疫系统在癌症中起关键作用,对免疫相关标志物的研究可能为NSCLC提供有价值的预后信息。在122份来自早期NSCLC的福尔马林固定、石蜡包埋肿瘤组织样本中,对肿瘤及肿瘤附近的基质区域进行显微切割,并通过定量聚合酶链反应评估传统和调节性T细胞标志物的基因表达水平。此外,通过免疫组织化学评估肿瘤样本中浸润的CD4 +、CD8 +和FOXP3 +细胞的存在情况。评估了肿瘤环境中存在的传统T细胞和调节性T细胞的相对比例,发现这是理解免疫系统分析对NSCLC患者预后重要性的关键。肿瘤区域中CD8 +细胞的存在与更好的预后相关,而FOXP3 +细胞的存在与更差的总生存期相关。在mRNA水平观察到联合生物标志物的负面预后价值,即基质中FOXP3水平高而肿瘤中CD4或CD8水平低,并通过免疫组织化学得到验证。总之,在切除的NSCLC中,肿瘤微环境不同位置的辅助性T细胞和细胞毒性T细胞与调节性T细胞的比例具有相反的预后影响。

https://cdn.ncbi.nlm.nih.gov/pmc/blobs/15ee/5288153/4f1dbc27548d/oncotarget-07-52849-g001.jpg

文献AI研究员

20分钟写一篇综述,助力文献阅读效率提升50倍。

立即体验

用中文搜PubMed

大模型驱动的PubMed中文搜索引擎

马上搜索

文档翻译

学术文献翻译模型,支持多种主流文档格式。

立即体验