Suppr超能文献

心肌梗死后心力衰竭大鼠模型中的微小RNA差异表达与调控

Differential microRNA Expression and Regulation in the Rat Model of Post-Infarction Heart Failure.

作者信息

Liu Xueyan, Meng Heyu, Jiang Chao, Yang Sibao, Cui Fengwen, Yang Ping

机构信息

Department of Internal Medicine and Cardiology, China-Japan Union Hospital of Jilin University, Changchun, China.

Clinical Medicine, Yanbian University, Yanji, China.

出版信息

PLoS One. 2016 Aug 9;11(8):e0160920. doi: 10.1371/journal.pone.0160920. eCollection 2016.

Abstract

BACKGROUND

Heart failure is a complex end stage of various cardiovascular diseases with a poor prognosis, and the mechanisms for development and progression of heart failure have always been a hot point. However, the molecular mechanisms underlying the post transcriptional regulation of heart failure have not been fully elucidated. Current data suggest that microRNAs (miRNAs) are involved in the pathogenesis of heart failure and could serve as a new biomarker, but the precise regulatory mechanisms are still unclear.

METHODS

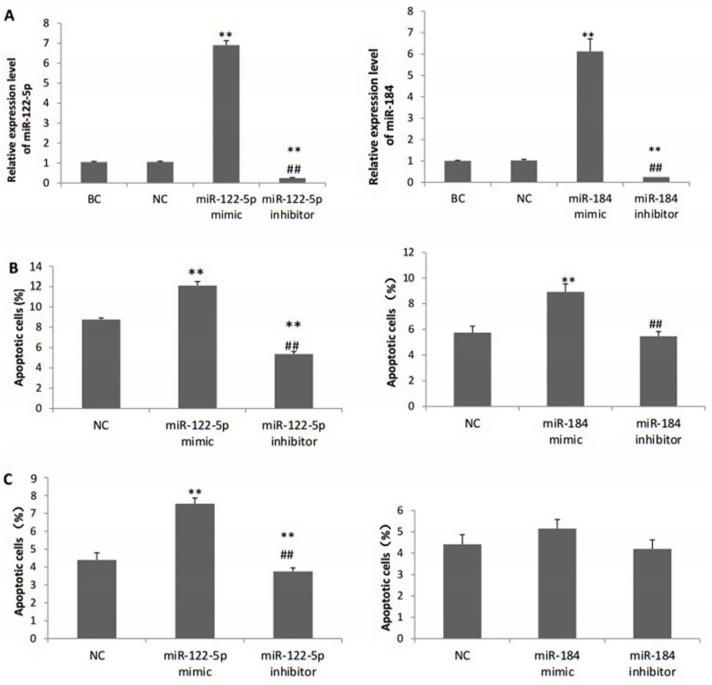
The differential miRNA profile in a rat model of post-infarction heart failure was determined using high throughout sequencing and analyzed through bioinformatics approaches. The results were validated using qRT-PCR for 8 selected miRNAs. Then the expression patterns of 4 miRNAs were analyzed in different periods after myocardial infarction. Finally, gain- and loss-of-function experiments of rno-miR-122-5p and rno-miR-184 were analyzed in H2O2 treated H9c2 cells.

RESULTS

In the heart failure sample, 78 miRNAs were significantly upregulated and 28 were downregulated compared to the controls. GO and KEGG pathway analysis further indicated the likely roles of these miRNAs in heart failure. Time-course analysis revealed different expression patterns of 4 miRNAs: rno-miR-122-5p, rno-miR-199a-5p, rno-miR-184 and rno-miR-208a-3p. Additionally, rno-miR-122-5p and rno-miR-184 were proved to promote apoptosis in vitro.

CONCLUSIONS

Differential profile and expression patterns of miRNAs in the rats model of post-infarction heart failure were found, and the pro-apoptotic roles of rno-miR-122-5p and rno-miR-184 were revealed. These findings may provide a novel way that may assist in heart failure diagnosis and treatment.

摘要

背景

心力衰竭是各种心血管疾病的复杂终末期,预后较差,心力衰竭发生和发展的机制一直是研究热点。然而,心力衰竭转录后调控的分子机制尚未完全阐明。目前的数据表明,微小RNA(miRNA)参与心力衰竭的发病机制,可作为一种新的生物标志物,但确切的调控机制仍不清楚。

方法

采用高通量测序技术测定心肌梗死后心力衰竭大鼠模型中差异miRNA谱,并通过生物信息学方法进行分析。对8个选定的miRNA使用qRT-PCR验证结果。然后分析4个miRNA在心肌梗死后不同时期的表达模式。最后,在H2O2处理的H9c2细胞中分析rno-miR-122-5p和rno-miR-184的功能获得和功能缺失实验。

结果

与对照组相比,心力衰竭样本中有78个miRNA显著上调,28个下调。GO和KEGG通路分析进一步表明这些miRNA在心力衰竭中的可能作用。时间进程分析揭示了4个miRNA的不同表达模式:rno-miR-122-5p、rno-miR-199a-5p、rno-miR-184和rno-miR-208a-3p。此外,rno-miR-122-5p和rno-miR-184在体外被证明可促进细胞凋亡。

结论

发现了心肌梗死后心力衰竭大鼠模型中miRNA的差异谱和表达模式,并揭示了rno-miR-122-5p和rno-miR-184的促凋亡作用。这些发现可能为心力衰竭的诊断和治疗提供一种新方法。

https://cdn.ncbi.nlm.nih.gov/pmc/blobs/95d2/4978447/912d46f8d431/pone.0160920.g001.jpg

文献AI研究员

20分钟写一篇综述,助力文献阅读效率提升50倍。

立即体验

用中文搜PubMed

大模型驱动的PubMed中文搜索引擎

马上搜索

文档翻译

学术文献翻译模型,支持多种主流文档格式。

立即体验