Kim Gyuri, Lee Yong Ho, Kang Eun Seok, Cha Bong Soo, Lee Hyun Chul, Lee Byung Wan
Department of Internal Medicine, Yonsei University College of Medicine, Seoul, Korea.
Graduate School, Yonsei University College of Medicine, Seoul, Korea.
Yonsei Med J. 2016 Nov;57(6):1395-403. doi: 10.3349/ymj.2016.57.6.1395.
The objective of this study was to investigate clinical and laboratory parameters that could predict which patients could maintain adequate glycemic control after switching from initial insulin therapy to oral hypoglycemic agents (OHAs) among patients with type 2 diabetes (T2D).
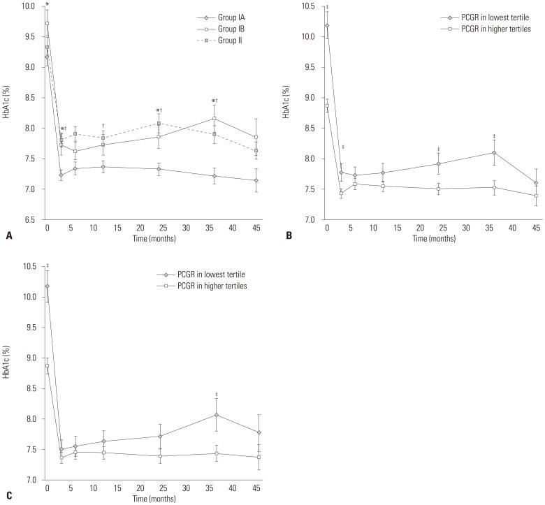
We recruited 275 patients with T2D who had been registered in 3 cohorts of initiated insulin therapy and followed up for 33 months. The participants were divided into 2 groups according to whether they switched from insulin to OHAs (Group I) or not (Group II), and Group I was further classified into 2 sub-groups: maintenance on OHAs (Group IA) or resumption of insulin (Group IB).
Of 275 patients with insulin initiation, 63% switched to OHAs (Group I) and 37% continued insulin (Group II). Of these, 44% were in Group IA and 19% in Group IB. The lowest tertile of baseline postprandial C-peptide-to-glucose ratio (PCGR), higher insulin dose at switching to OHAs, and higher HbA1c level at 6 months after switching to OHAs were all associated with OHA failure (Group IB; p=0.001, 0.046, and 0.014, respectively). The lowest tertile of PCGR was associated with ultimate use of insulin (Group IB and Group II; p=0.029).
Higher baseline level of PCGR and lower HbA1c levels at 6 months after switching to OHAs may be strong predictors for the successful maintenance of OHAs after switching from insulin therapy in Korean patients with T2D.
本研究的目的是调查临床和实验室参数,以预测2型糖尿病(T2D)患者从初始胰岛素治疗转换为口服降糖药(OHA)后哪些患者能够维持足够的血糖控制。
我们招募了275例已纳入3个起始胰岛素治疗队列并随访33个月的T2D患者。根据患者是否从胰岛素转换为OHA,将参与者分为2组(I组)或未转换的组(II组),I组进一步分为2个亚组:继续使用OHA(IA组)或恢复使用胰岛素(IB组)。
在275例起始胰岛素治疗的患者中,63%转换为OHA(I组),37%继续使用胰岛素(II组)。其中,44%在IA组,19%在IB组。基线餐后C肽与血糖比值(PCGR)最低三分位数、转换为OHA时较高的胰岛素剂量以及转换为OHA后6个月较高的糖化血红蛋白(HbA1c)水平均与OHA治疗失败相关(IB组;p分别为0.001、0.046和0.014)。PCGR最低三分位数与最终使用胰岛素相关(IB组和II组;p=0.029)。
在韩国T2D患者中,较高的基线PCGR水平和转换为OHA后6个月较低的HbA1c水平可能是从胰岛素治疗转换后成功维持OHA治疗的有力预测指标。