Department of Biochemistry, Carver College of Medicine, University of Iowa, Iowa City, Iowa 52242, USA.
John King Laboratory, School of Pharmacy, Queens University Belfast, Belfast BT7 1NN, UK.
Nat Commun. 2016 Oct 10;7:12948. doi: 10.1038/ncomms12948.
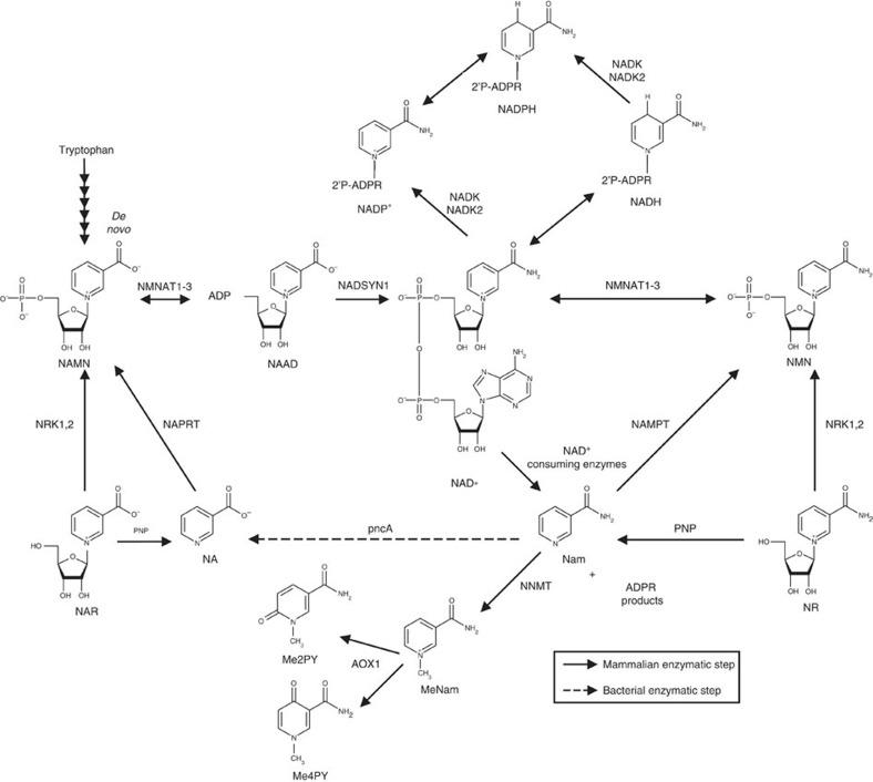
Nicotinamide riboside (NR) is in wide use as an NAD precursor vitamin. Here we determine the time and dose-dependent effects of NR on blood NAD metabolism in humans. We report that human blood NAD can rise as much as 2.7-fold with a single oral dose of NR in a pilot study of one individual, and that oral NR elevates mouse hepatic NAD with distinct and superior pharmacokinetics to those of nicotinic acid and nicotinamide. We further show that single doses of 100, 300 and 1,000 mg of NR produce dose-dependent increases in the blood NAD metabolome in the first clinical trial of NR pharmacokinetics in humans. We also report that nicotinic acid adenine dinucleotide (NAAD), which was not thought to be en route for the conversion of NR to NAD, is formed from NR and discover that the rise in NAAD is a highly sensitive biomarker of effective NAD repletion.
烟酰胺核糖(NR)作为 NAD 前体维生素被广泛应用。在这里,我们确定了 NR 在人类血液 NAD 代谢中的时间和剂量依赖性影响。我们报告说,在对一个人的初步研究中,单次口服 NR 就可以使血液 NAD 升高多达 2.7 倍,并且口服 NR 以明显优于烟酸和烟酰胺的药代动力学来提高小鼠肝 NAD。我们还进一步表明,在人体 NR 药代动力学的首次临床试验中,单次给予 100、300 和 1000mg 的 NR 会导致血液 NAD 代谢组学的剂量依赖性增加。我们还报告说,烟酰胺腺嘌呤二核苷酸(NAAD),之前认为不是 NR 转化为 NAD 的途径,是由 NR 形成的,并且发现 NAAD 的增加是有效 NAD 补充的高度敏感生物标志物。