Suppr超能文献

用于沙漠生物质柳树非生物胁迫下基因表达分析的可靠内参基因的筛选

Selection of Reliable Reference Genes for Gene Expression Analysis under Abiotic Stresses in the Desert Biomass Willow, .

作者信息

Li Jianbo, Jia Huixia, Han Xiaojiao, Zhang Jin, Sun Pei, Lu Mengzhu, Hu Jianjun

机构信息

State Key Laboratory of Tree Genetics and Breeding, Key Laboratory of Tree Breeding and Cultivation of the State Forestry Administration, Research Institute of Forestry, Chinese Academy of Forestry Beijing, China.

State Key Laboratory of Tree Genetics and Breeding, Key Laboratory of Tree Breeding and Cultivation of the State Forestry Administration, Research Institute of Forestry, Chinese Academy of ForestryBeijing, China; Collaborative Innovation Center of Sustainable Forestry in Southern China, Nanjing Forestry UniversityNanjing, China.

出版信息

Front Plant Sci. 2016 Oct 5;7:1505. doi: 10.3389/fpls.2016.01505. eCollection 2016.

Abstract

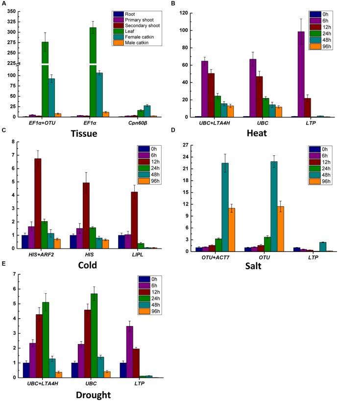
is a desert shrub willow that has extraordinary adaptation to abiotic stresses and plays an important role in maintaining local ecosystems. Moreover, is regarded as a promising biomass feedstock because of its high biomass yields and short rotation coppice cycle. However, few suitable reference genes (RGs) for quantitative real-time polymerase chain reaction (qRT-PCR) constrain the study on normalization of gene expression in until now. Here, we investigated the expression stabilities of 14 candidate RGs across tissue types and under four abiotic stress treatments, including heat, cold, salt, and drought treatments. After calculation of PCR efficiencies, three different software, NormFinder, geNorm, and BestKeeper were employed to analyze systematically the qRT-PCR data, and the outputs were merged by RankAggreg software. The optimal RGs selected for gene expression analysis were α () and () for different tissue types, () and () for heat treatment, () and () for cold treatment, and () for salt treatment, and for drought treatment. The expression of , , and () varied the least across tissue types and under abiotic stresses. Furthermore, the relative genes expression profiles of one tissue-specific gene (), and four stress-inducible genes, including (), (), (), and (), were conducted to confirm the validity of the RGs in this study. These results provided an important RGs application guideline for gene expression characterization in .

摘要

是一种沙漠灌木柳,对非生物胁迫具有非凡的适应性,在维持当地生态系统中发挥着重要作用。此外,由于其高生物量产量和短轮伐期,它被视为一种有前途的生物质原料。然而,到目前为止,很少有适用于定量实时聚合酶链反应(qRT-PCR)的合适内参基因(RGs)限制了对其基因表达标准化的研究。在这里,我们研究了14个候选RGs在不同组织类型以及热、冷、盐和干旱四种非生物胁迫处理下的表达稳定性。在计算PCR效率后,使用三种不同的软件NormFinder、geNorm和BestKeeper系统分析qRT-PCR数据,并通过RankAggreg软件合并输出结果。为基因表达分析选择的最佳RGs在不同组织类型中为α()和(),热处理中为()和(),冷处理中为()和(),盐处理中为和(),干旱处理中为和。、和()在不同组织类型和非生物胁迫下的表达变化最小。此外,对一个组织特异性基因()和四个胁迫诱导基因,包括()、()、()和()的相对基因表达谱进行了分析,以证实本研究中RGs的有效性。这些结果为在中进行基因表达表征提供了重要的RGs应用指南。

https://cdn.ncbi.nlm.nih.gov/pmc/blobs/5493/5050224/4a215f8f2ae5/fpls-07-01505-g001.jpg

文献AI研究员

20分钟写一篇综述,助力文献阅读效率提升50倍。

立即体验

用中文搜PubMed

大模型驱动的PubMed中文搜索引擎

马上搜索

文档翻译

学术文献翻译模型,支持多种主流文档格式。

立即体验