Suppr超能文献

从中间型到晚期年龄相关性黄斑变性的进展率与CFH基因座风险等位基因的数量相关。

Progression Rate From Intermediate to Advanced Age-Related Macular Degeneration Is Correlated With the Number of Risk Alleles at the CFH Locus.

作者信息

Sardell Rebecca J, Persad Patrice J, Pan Samuel S, Whitehead Patrice, Adams Larry D, Laux Reneé A, Fortun Jorge A, Brantley Milam A, Kovach Jaclyn L, Schwartz Stephen G, Agarwal Anita, Haines Jonathan L, Scott William K, Pericak-Vance Margaret A

机构信息

John P. Hussman Institute for Human Genomics, University of Miami Miller School of Medicine, Miami, Florida, United States.

Department of Epidemiology and Biostatistics, Case Western Reserve University, Cleveland, Ohio, United States.

出版信息

Invest Ophthalmol Vis Sci. 2016 Nov 1;57(14):6107-6115. doi: 10.1167/iovs.16-19519.

Abstract

PURPOSE

Progression rate of age-related macular degeneration (AMD) varies substantially, yet its association with genetic variation has not been widely examined.

METHODS

We tested whether progression rate from intermediate AMD to geographic atrophy (GA) or choroidal neovascularization (CNV) was correlated with genotype at seven single nucleotide polymorphisms (SNPs) in the four genes most strongly associated with risk of advanced AMD. Cox proportional hazards survival models examined the association between progression time and SNP genotype while adjusting for age and sex and accounting for variable follow-up time, right censored data, and repeated measures (left and right eyes).

RESULTS

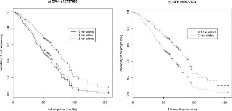
Progression rate varied with the number of risk alleles at the CFH:rs10737680 but not the CFH:rs1061170 (Y402H) SNP; individuals with two risk alleles progressed faster than those with one allele (hazard ratio [HR] = 1.61, 95% confidence interval [CI] = 1.08-2.40, P < 0.02, n = 547 eyes), although this was not significant after Bonferroni correction. This signal was likely driven by an association at the correlated protective variant, CFH:rs6677604, which tags the CFHR1-3 deletion; individuals with at least one protective allele progressed more slowly. Considering GA and CNV separately showed that the effect of CFH:rs10737680 was stronger for progression to CNV.

CONCLUSIONS

Results support previous findings that AMD progression rate is influenced by CFH, and suggest that variants within CFH may have different effects on risk versus progression. However, since CFH:rs10737680 was not significant after Bonferroni correction and explained only a relatively small portion of variation in progression rate beyond that explained by age, we suggest that additional factors contribute to progression.

摘要

目的

年龄相关性黄斑变性(AMD)的进展速度差异很大,但其与基因变异的关联尚未得到广泛研究。

方法

我们测试了从中间型AMD进展为地图样萎缩(GA)或脉络膜新生血管(CNV)的进展速度是否与四个与晚期AMD风险最密切相关基因中的七个单核苷酸多态性(SNP)的基因型相关。Cox比例风险生存模型在调整年龄和性别并考虑可变随访时间、右侧删失数据和重复测量(左眼和右眼)的情况下,检验了进展时间与SNP基因型之间的关联。

结果

CFH:rs1073768处的进展速度随风险等位基因数量而变化,但CFH:rs1061170(Y402H)SNP处则不然;具有两个风险等位基因的个体比具有一个等位基因的个体进展更快(风险比[HR]=1.61,95%置信区间[CI]=1.08-2.40,P<0.02,n=547只眼),尽管在Bonferroni校正后这并不显著。该信号可能由相关保护变异CFH:rs6677604处的关联驱动,该变异标记CFHR1-3缺失;具有至少一个保护等位基因的个体进展较慢。分别考虑GA和CNV表明,CFH:rs10737680对进展为CNV的影响更强。

结论

结果支持先前的发现,即AMD进展速度受CFH影响,并表明CFH内的变异对风险与进展可能有不同影响。然而,由于CFH:rs10737680在Bonferroni校正后不显著,且仅解释了进展速度变异中相对较小的一部分(超出年龄所解释的部分),我们认为还有其他因素影响进展。

https://cdn.ncbi.nlm.nih.gov/pmc/blobs/2226/5104418/8c7c93851b73/i1552-5783-57-14-6107-f01.jpg

文献检索

告别复杂PubMed语法,用中文像聊天一样搜索,搜遍4000万医学文献。AI智能推荐,让科研检索更轻松。

立即免费搜索

文件翻译

保留排版,准确专业,支持PDF/Word/PPT等文件格式,支持 12+语言互译。

免费翻译文档

深度研究

AI帮你快速写综述,25分钟生成高质量综述,智能提取关键信息,辅助科研写作。

立即免费体验