Suppr超能文献

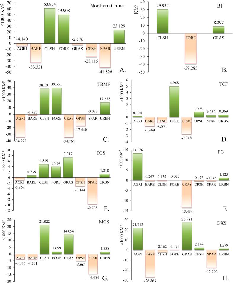
中国北方城市化、农地废弃与开垦以及林地恢复的空间分异趋势。

Spatially differentiated trends in urbanization, agricultural land abandonment and reclamation, and woodland recovery in Northern China.

机构信息

Department of Environmental Sciences, University of Puerto Rico, Rio Piedras, San Juan, PR 00936, United States of America.

出版信息

Sci Rep. 2016 Nov 22;6:37658. doi: 10.1038/srep37658.

Abstract

Uncovering magnitude, trend, and spatial pattern of land cover/land use changes (LCLUC) is crucial for understanding mechanisms of LCLUC and assisting land use planning and conservation. China has been undergoing unprecedented economic growth, massive rural-to-urban migration, and large-scale policy-driven ecological restoration, and therefore encountering enormous LCLUC in recent decades. However, comprehensive understandings of spatiotemporal LCLUC dynamics and underlying mechanisms are still lacking. Based on classification of annual LCLU maps from MODIS satellite imagery, we proposed a land change detection method to capture significant land change hotspots over Northern China during 2001-2013, and further analyzed temporal trends and spatial patterns of LCLUC. We found rapid decline of agricultural land near urban was predominantly caused by urban expansion. The process was especially strong in North China Plain with 14,057 km of urban gain and -21,017 km of agricultural land loss. To offset the loss of agricultural land, Northeast China Plain and Xinjiang were reclaimed. Substantial recovery of forests (49,908 km) and closed shrubland (60,854 km) occurred in mountainous regions due to abandoned infertile farmland, secondary succession, and governmental conservation policies. The spatial patterns and trends of LCLUC in Northern China provide information to support effective environmental policies towards sustainable development.

摘要

揭示土地覆盖/土地利用变化(LCLU)的规模、趋势和空间格局对于理解 LCLU 的机制以及协助土地利用规划和保护至关重要。中国近几十年来经历了前所未有的经济增长、大规模的农村向城市迁移以及大规模的政策驱动的生态恢复,因此发生了巨大的 LCLU。然而,对时空 LCLU 动态及其潜在机制的全面理解仍然不足。基于 MODIS 卫星图像的年度 LCLU 地图分类,我们提出了一种土地变化检测方法,以捕捉 2001-2013 年期间中国北方地区显著的土地变化热点,并进一步分析了 LCLU 的时间趋势和空间格局。我们发现,城市周边农业用地的快速减少主要是由城市扩张造成的。这一过程在华北平原尤为强烈,城市增加了 14057 平方公里,农业用地减少了 21017 平方公里。为了弥补农业用地的损失,东北地区和平原以及新疆进行了开垦。由于废弃的贫瘠农田、次生演替和政府的保护政策,山区的森林(49908 平方公里)和封闭灌丛(60854 平方公里)大量恢复。中国北方 LCLU 的空间格局和趋势为支持可持续发展的有效环境政策提供了信息。

https://cdn.ncbi.nlm.nih.gov/pmc/blobs/7b74/5118683/66ea63fe6c00/srep37658-f1.jpg

文献AI研究员

20分钟写一篇综述,助力文献阅读效率提升50倍。

立即体验

用中文搜PubMed

大模型驱动的PubMed中文搜索引擎

马上搜索

文档翻译

学术文献翻译模型,支持多种主流文档格式。

立即体验