• 文献检索
  • 文档翻译
  • 深度研究
  • 学术资讯
  • Suppr Zotero 插件Zotero 插件
  • 邀请有礼
  • 套餐&价格
  • 历史记录
应用&插件
Suppr Zotero 插件Zotero 插件浏览器插件Mac 客户端Windows 客户端微信小程序
定价
高级版会员购买积分包购买API积分包
服务
文献检索文档翻译深度研究API 文档MCP 服务
关于我们
关于 Suppr公司介绍联系我们用户协议隐私条款
关注我们

Suppr 超能文献

核心技术专利:CN118964589B侵权必究
粤ICP备2023148730 号-1Suppr @ 2026

文献检索

告别复杂PubMed语法,用中文像聊天一样搜索,搜遍4000万医学文献。AI智能推荐,让科研检索更轻松。

立即免费搜索

文件翻译

保留排版,准确专业,支持PDF/Word/PPT等文件格式,支持 12+语言互译。

免费翻译文档

深度研究

AI帮你快速写综述,25分钟生成高质量综述,智能提取关键信息,辅助科研写作。

立即免费体验

**针对葡萄糖耐量受损患者的[提取物名称]标准化提取物对α-葡萄糖苷酶抑制作用及餐后抗高血糖作用的评估:一项随机双盲临床试验** 需注意,原文中“against -Glucosidase”部分“against”前缺少具体内容,这里用[提取物名称]代替以便整体理解。实际翻译时应根据准确的提取物名称进行翻译。

Evaluation of a Standardized Extract from against -Glucosidase Inhibitory Effect and Postprandial Antihyperglycemic in Patients with Impaired Glucose Tolerance: A Randomized Double-Blind Clinical Trial.

作者信息

Hwang Seung Hwan, Li Hong Mei, Lim Soon Sung, Wang Zhiqiang, Hong Jae-Seung, Huang Bo

机构信息

Department of Food Science and Nutrition, Hallym University, 1 Hallymdeahak-gil, Chuncheon 24252, Republic of Korea.

Department of Pharmacology, College of Medicine, Hallym University, 1 Hallymdeahak-gil, Chuncheon 24252, Republic of Korea.

出版信息

Evid Based Complement Alternat Med. 2016;2016:8983232. doi: 10.1155/2016/8983232. Epub 2016 Nov 16.

DOI:10.1155/2016/8983232
PMID:27974904
原文链接:https://pmc.ncbi.nlm.nih.gov/articles/PMC5128732/
Abstract

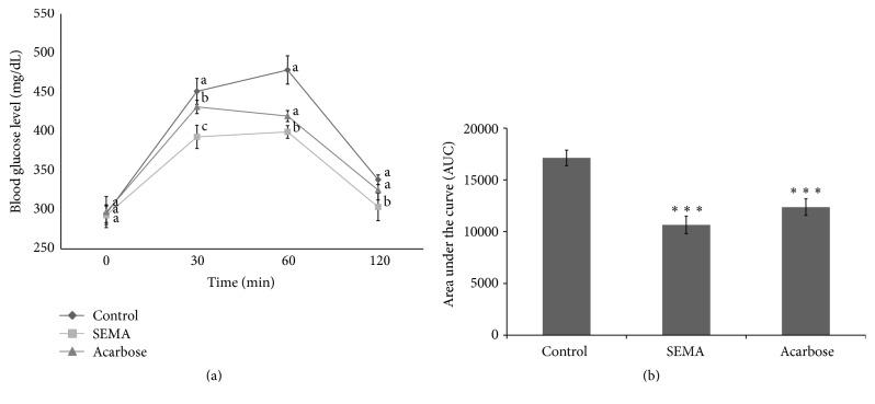
To evaluate the antihyperglycemic effect of a standardized extract of the leaves of (SEMA), the present study was designed to investigate the -glucosidase inhibitory effect and acute single oral toxicity as well as evaluate blood glucose reduction in animals and in patients with impaired glucose tolerance in a randomized double-blind clinical trial. SEMA was found to inhibit -glucosidase at a fourfold higher level than the positive control (acarbose), in a concentration-dependent manner. Moreover, blood glucose concentration was suppressed by SEMA . Clinical signs and weight changes were observed when conducting an evaluation of the acute toxicity of SEMA through a single-time administration, with clinical observation conducted more than once each day. After administration of the SEMA, observation was for 14 days; all of the animals did not die and did not show any abnormal symptoms. In addition, the inhibitory effects of rice coated with SEMA were evaluated in a group of impaired glucose tolerance patients on postprandial glucose and a group of normal persons, and results showed that SEMA had a clear inhibitory effect on postprandial hyperglycemia in both groups. Overall, SEMA showed excellent potential in the present study as a material for improving postprandial hyperglycemia.

摘要

为评估[植物名称]叶的标准化提取物(SEMA)的降血糖作用,本研究旨在调查其α-葡萄糖苷酶抑制作用和急性单次口服毒性,并在一项随机双盲临床试验中评估其对动物和糖耐量受损患者的血糖降低作用。发现SEMA对α-葡萄糖苷酶的抑制水平比阳性对照(阿卡波糖)高四倍,且呈浓度依赖性。此外,SEMA可抑制血糖浓度。通过单次给药对SEMA进行急性毒性评估时观察到临床体征和体重变化,每天进行多次临床观察。给予SEMA后观察14天;所有动物均未死亡,也未出现任何异常症状。此外,在一组糖耐量受损患者和一组正常人中评估了涂有SEMA的大米对餐后血糖的抑制作用,结果表明SEMA对两组的餐后高血糖均有明显抑制作用。总体而言,在本研究中,SEMA作为改善餐后高血糖的物质显示出极好的潜力。

https://cdn.ncbi.nlm.nih.gov/pmc/blobs/3674/5128732/ef4091db99e1/ECAM2016-8983232.006.jpg
https://cdn.ncbi.nlm.nih.gov/pmc/blobs/3674/5128732/4ad91117a14c/ECAM2016-8983232.001.jpg
https://cdn.ncbi.nlm.nih.gov/pmc/blobs/3674/5128732/a7d3218c516c/ECAM2016-8983232.002.jpg
https://cdn.ncbi.nlm.nih.gov/pmc/blobs/3674/5128732/6741bac1c9ac/ECAM2016-8983232.003.jpg
https://cdn.ncbi.nlm.nih.gov/pmc/blobs/3674/5128732/cfa8b3fe7773/ECAM2016-8983232.004.jpg
https://cdn.ncbi.nlm.nih.gov/pmc/blobs/3674/5128732/95a6aa7bd602/ECAM2016-8983232.005.jpg
https://cdn.ncbi.nlm.nih.gov/pmc/blobs/3674/5128732/ef4091db99e1/ECAM2016-8983232.006.jpg
https://cdn.ncbi.nlm.nih.gov/pmc/blobs/3674/5128732/4ad91117a14c/ECAM2016-8983232.001.jpg
https://cdn.ncbi.nlm.nih.gov/pmc/blobs/3674/5128732/a7d3218c516c/ECAM2016-8983232.002.jpg
https://cdn.ncbi.nlm.nih.gov/pmc/blobs/3674/5128732/6741bac1c9ac/ECAM2016-8983232.003.jpg
https://cdn.ncbi.nlm.nih.gov/pmc/blobs/3674/5128732/cfa8b3fe7773/ECAM2016-8983232.004.jpg
https://cdn.ncbi.nlm.nih.gov/pmc/blobs/3674/5128732/95a6aa7bd602/ECAM2016-8983232.005.jpg
https://cdn.ncbi.nlm.nih.gov/pmc/blobs/3674/5128732/ef4091db99e1/ECAM2016-8983232.006.jpg

相似文献

1
Evaluation of a Standardized Extract from against -Glucosidase Inhibitory Effect and Postprandial Antihyperglycemic in Patients with Impaired Glucose Tolerance: A Randomized Double-Blind Clinical Trial.**针对葡萄糖耐量受损患者的[提取物名称]标准化提取物对α-葡萄糖苷酶抑制作用及餐后抗高血糖作用的评估:一项随机双盲临床试验** 需注意,原文中“against -Glucosidase”部分“against”前缺少具体内容,这里用[提取物名称]代替以便整体理解。实际翻译时应根据准确的提取物名称进行翻译。
Evid Based Complement Alternat Med. 2016;2016:8983232. doi: 10.1155/2016/8983232. Epub 2016 Nov 16.
2
Inhibitory effect of black tea and its combination with acarbose on small intestinal α-glucosidase activity.红茶及其与阿卡波糖联合对小肠α-葡萄糖苷酶活性的抑制作用。
J Ethnopharmacol. 2015 Feb 23;161:147-55. doi: 10.1016/j.jep.2014.12.009. Epub 2014 Dec 16.
3
Mulberry leaf extract reduces postprandial hyperglycemia with few side effects by inhibiting α-glucosidase in normal rats.桑叶提取物通过抑制正常大鼠的α-葡萄糖苷酶降低餐后高血糖,且副作用少。
J Med Food. 2011 Jul-Aug;14(7-8):712-7. doi: 10.1089/jmf.2010.1368. Epub 2011 Jun 1.
4
Effect of mulberry leaf extract with enriched 1-deoxynojirimycin content on postprandial glycemic control in subjects with impaired glucose metabolism.富含 1-脱氧野尻霉素的桑叶提取物对糖代谢受损受试者餐后血糖控制的影响。
J Diabetes Investig. 2011 Aug 2;2(4):318-23. doi: 10.1111/j.2040-1124.2011.00101.x.
5
Functional assessments of L. and L. leaf extracts on postprandial glucose control.L.和L.叶提取物对餐后血糖控制的功能评估。
Food Sci Nutr. 2024 Apr 23;12(7):5250-5266. doi: 10.1002/fsn3.4175. eCollection 2024 Jul.
6
Effect of lowering postprandial hyperglycemia on insulin secretion in older people with impaired glucose tolerance.降低餐后高血糖对糖耐量受损老年人胰岛素分泌的影响。
Am J Physiol Endocrinol Metab. 2004 Nov;287(5):E906-11. doi: 10.1152/ajpendo.00156.2004. Epub 2004 Jun 22.
7
Aqueous Extract of Nypa fruticans Wurmb. Vinegar Alleviates Postprandial Hyperglycemia in Normoglycemic Rats.水椰八角棕榈水提取物醋可减轻血糖正常大鼠的餐后高血糖。
Nutrients. 2015 Aug 20;7(8):7012-26. doi: 10.3390/nu7085320.
8
Evaluation of acute toxicity, genotoxicity and inhibitory effect on acute inflammation of an ethanol extract of Morus alba L. (Moraceae) in mice.白桑(桑科)乙醇提取物对小鼠的急性毒性、遗传毒性及对急性炎症的抑制作用评价
J Ethnopharmacol. 2016 Dec 24;194:162-168. doi: 10.1016/j.jep.2016.09.004. Epub 2016 Sep 3.
9
Postprandial Antihyperglycemic And Antioxidant Activities of Linn Stem Extract: An Study.林恩茎提取物的餐后降血糖和抗氧化活性:一项研究。
Pharmacogn Mag. 2016 Jul;12(Suppl 4):S475-S481. doi: 10.4103/0973-1296.191461.
10
Antihyperglycemic Activity of the Leaves from Miller and Rutin on Alloxan-induced Diabetic Rats.米勒叶和芦丁对四氧嘧啶诱导的糖尿病大鼠的降血糖活性。
Pharmacognosy Res. 2017 Jan-Mar;9(1):1-6. doi: 10.4103/0974-8490.199781.

引用本文的文献

1
Anti-Hyperglycemic Effects of Thai Herbal Medicines.泰国草药的降血糖作用。
Plants (Basel). 2024 Oct 13;13(20):2862. doi: 10.3390/plants13202862.
2
Effect of Low-Dose Mulberry Fruit Extract on Postprandial Glucose and Insulin Responses: A Randomized Pilot Trial in Individuals with Type 2 Diabetes.低剂量桑椹提取物对 2 型糖尿病患者餐后血糖和胰岛素反应的影响:一项随机先导试验。
Nutrients. 2024 Jul 9;16(14):2177. doi: 10.3390/nu16142177.
3
Hematological, biochemical, and histopathological evaluation of the L. leaf extract from Brunei Darussalam: Acute toxicity study in ICR mice.

本文引用的文献

1
Effects of Juglans regia L. leaf extract on hyperglycemia and lipid profiles in type two diabetic patients: a randomized double-blind, placebo-controlled clinical trial.核桃叶提取物对 2 型糖尿病患者高血糖及血脂谱的影响:一项随机、双盲、安慰剂对照的临床试验。
J Ethnopharmacol. 2014 Mar 28;152(3):451-6. doi: 10.1016/j.jep.2014.01.012. Epub 2014 Jan 23.
2
Anti-diabetic effect of ramulus mori polysaccharides, isolated from Morus alba L., on STZ-diabetic mice through blocking inflammatory response and attenuating oxidative stress.从桑白皮中分离得到的桑枝多糖通过阻断炎症反应和减轻氧化应激对 STZ 糖尿病小鼠的抗糖尿病作用。
Int Immunopharmacol. 2013 May;16(1):93-9. doi: 10.1016/j.intimp.2013.03.029. Epub 2013 Apr 6.
3
文莱达鲁萨兰国的 L. 叶提取物的血液学、生物化学和组织病理学评价:ICR 小鼠的急性毒性研究。
Open Vet J. 2024 Mar;14(3):750-758. doi: 10.5455/OVJ.2024.v14.i3.1. Epub 2024 Mar 31.
4
The Possibility of Using Fruit-Bearing Plants of Temperate Climate in the Treatment and Prevention of Diabetes.利用温带气候的结果植物治疗和预防糖尿病的可能性。
Life (Basel). 2023 Aug 23;13(9):1795. doi: 10.3390/life13091795.
5
Morus alba: a comprehensive phytochemical and pharmacological review.白桑:全面的植物化学和药理学综述。
Naunyn Schmiedebergs Arch Pharmacol. 2023 Jul;396(7):1399-1413. doi: 10.1007/s00210-023-02434-4. Epub 2023 Mar 6.
6
Evaluation of Ulcer Protective Activity of L. Extract-Loaded Chitosan Microspheres in Ethanol-Induced Ulcer in Rat Model.载L.提取物的壳聚糖微球对大鼠乙醇诱导溃疡的溃疡保护活性评价
Evid Based Complement Alternat Med. 2022 Sep 30;2022:4907585. doi: 10.1155/2022/4907585. eCollection 2022.
7
Medicinal properties of for the control of type 2 diabetes mellitus: a systematic review.用于控制 2 型糖尿病的药用特性:系统评价。
F1000Res. 2021 Oct 8;10:1022. doi: 10.12688/f1000research.55573.1. eCollection 2021.
8
Herbal Infusions as a Valuable Functional Food.草药浸剂作为有价值的功能性食品。
Nutrients. 2021 Nov 12;13(11):4051. doi: 10.3390/nu13114051.
9
A Narrative Review of Human Clinical Trials on the Impact of Phenolic-Rich Plant Extracts on Prediabetes and Its Subgroups.富含酚类植物提取物对糖尿病前期及其亚组影响的人体临床试验的叙述性综述
Nutrients. 2021 Oct 22;13(11):3733. doi: 10.3390/nu13113733.
10
Low to no cost remedies for the management of diabetes mellitus; global health concern.糖尿病管理的低成本或无成本疗法;全球健康问题。
J Diabetes Metab Disord. 2021 Apr 13;20(1):951-962. doi: 10.1007/s40200-021-00783-6. eCollection 2021 Jun.
Metabolic management in overweight subjects with naive impaired fasting glycaemia by means of a highly standardized extract from Cynara scolymus: a double-blind, placebo-controlled, randomized clinical trial.
采用标准化羽扇豆提取物对空腹血糖受损的超重受试者进行代谢管理:一项双盲、安慰剂对照、随机临床试验。
Phytother Res. 2014 Jan;28(1):33-41. doi: 10.1002/ptr.4950. Epub 2013 Feb 25.
4
Evaluation of hypoglycemic effect of Morus alba in an animal model.评价桑叶在动物模型中的降血糖作用。
Indian J Pharmacol. 2008 Jan;40(1):15-8. doi: 10.4103/0253-7613.40483.
5
Effect of flavonol glycoside in mulberry (Morus alba L.) leaf on glucose metabolism and oxidative stress in liver in diet-induced obese mice.桑叶中类黄酮糖苷对饮食诱导肥胖小鼠肝脏葡萄糖代谢和氧化应激的影响。
J Sci Food Agric. 2010 Nov;90(14):2386-92. doi: 10.1002/jsfa.4096.
6
Antihyperglycemic, antioxidant and antiglycation activities of mulberry leaf extract in streptozotocin-induced chronic diabetic rats.桑叶提取物对链脲佐菌素诱导的慢性糖尿病大鼠的降血糖、抗氧化和抗糖化活性
Plant Foods Hum Nutr. 2009 Jun;64(2):116-21. doi: 10.1007/s11130-009-0112-5.
7
Food-grade mulberry powder enriched with 1-deoxynojirimycin suppresses the elevation of postprandial blood glucose in humans.富含1-脱氧野尻霉素的食品级桑椹粉可抑制人体餐后血糖升高。
J Agric Food Chem. 2007 Jul 11;55(14):5869-74. doi: 10.1021/jf062680g. Epub 2007 Jun 8.
8
Hypolipidemic effect of flavonoids from mulberry leaves in triton WR-1339 induced hyperlipidemic mice.桑叶黄酮对 Triton WR - 1339 诱导的高脂血症小鼠的降血脂作用
Asia Pac J Clin Nutr. 2007;16 Suppl 1:290-4.
9
alpha-Glucosidase inhibitory activity of the methanolic extract from Tournefortia hartwegiana: an anti-hyperglycemic agent.硬毛紫丹甲醇提取物的α-葡萄糖苷酶抑制活性:一种抗高血糖剂。
J Ethnopharmacol. 2007 Jan 3;109(1):48-53. doi: 10.1016/j.jep.2006.07.002. Epub 2006 Jul 8.
10
Inhibitory effect of pine extract on alpha-glucosidase activity and postprandial hyperglycemia.松树提取物对α-葡萄糖苷酶活性和餐后高血糖的抑制作用。
Nutrition. 2005 Jun;21(6):756-61. doi: 10.1016/j.nut.2004.10.014.