Suppr超能文献

链霉素与头孢噻肟对产CTX-M-15型β-内酰胺酶菌株协同作用机制——首例报告

A Mechanism of Synergistic Effect of Streptomycin and Cefotaxime on CTX-M-15 Type β-lactamase Producing Strain of A First Report.

作者信息

Maryam Lubna, Khan Asad U

机构信息

Interdisciplinary Biotechnology Unit, Medical Microbiology and Molecular Biology Laboratory, Aligarh Muslim University Aligarh, India.

出版信息

Front Microbiol. 2016 Dec 15;7:2007. doi: 10.3389/fmicb.2016.02007. eCollection 2016.

Abstract

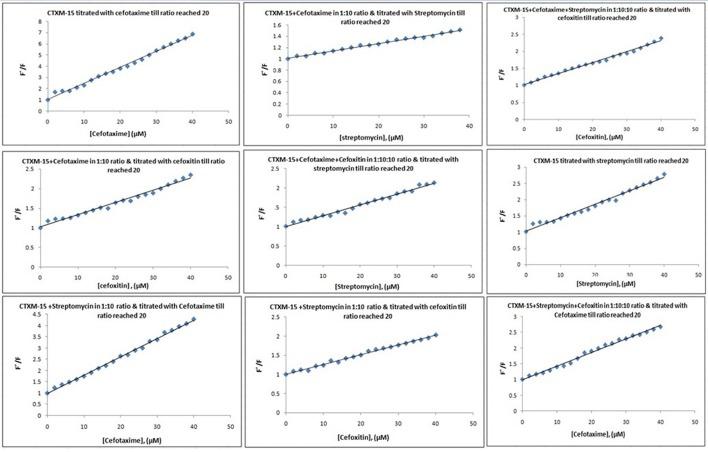
A gene is one of the most prevalent resistant marker found in member of enterobacteriaceae. It encodes cefotaxime hydrolysing β-lactamase-15 (CTX-M-15) causing resistance against beta lactam antibiotics. Since single antibiotic therapy fails to control infection caused by multidrug resistance strain, therefore combination therapy was came into practice as an effective treatment. We have first time explained the mechanism where two antibiotics of different classes work against resistant strains. Binding parameters obtained by spectroscopic approach showed significant interaction and complex formation between drugs and CTX-M-15 enzyme with decreased k and k values. CD analysis showed altered conformation and significant changes in alpha helical content of CTX-M-15 enzyme on interaction with streptomycin in combination with cephalosporin. Steady state kinetics revealed decrease in hydrolytic efficiency of enzyme to about 27% by cooperative binding behavior upon sequential treatment of enzyme with streptomycin and cefotaxime. Therefore, the study concludes that combination therapy against CTX-M-15 producing strain with Cefotaxime/Streptomycin in 1:10 molar ratio, decreases CTX-M-15 efficiency significantly because of the fact that streptomycin induced structural changes in CTX-M-15 hence cefotaxime was not properly bound on its active site for hydrolysis rather available for the target to inhibit bacterial cells.

摘要

一种基因是在肠杆菌科成员中发现的最普遍的耐药标志物之一。它编码头孢噻肟水解β-内酰胺酶-15(CTX-M-15),导致对β-内酰胺类抗生素产生耐药性。由于单一抗生素疗法无法控制由多重耐药菌株引起的感染,因此联合疗法作为一种有效的治疗方法开始应用。我们首次解释了两种不同类别的抗生素对抗耐药菌株的作用机制。通过光谱方法获得的结合参数显示,药物与CTX-M-15酶之间存在显著的相互作用和复合物形成,同时k和k值降低。圆二色性分析表明,CTX-M-15酶与链霉素联合头孢菌素相互作用时,其构象发生改变,α-螺旋含量也有显著变化。稳态动力学表明,在用链霉素和头孢噻肟依次处理酶后,由于协同结合行为,酶的水解效率降低至约27%。因此,该研究得出结论,以1:10摩尔比的头孢噻肟/链霉素联合治疗产生CTX-M-15的菌株,可显著降低CTX-M-15的效率,原因是链霉素诱导了CTX-M-15的结构变化,因此头孢噻肟不能正确地结合在其活性位点上进行水解,而是可用于作用于靶点以抑制细菌细胞。

https://cdn.ncbi.nlm.nih.gov/pmc/blobs/48b2/5156679/dc73cc21f1a8/fmicb-07-02007-g0001.jpg

文献AI研究员

20分钟写一篇综述,助力文献阅读效率提升50倍。

立即体验

用中文搜PubMed

大模型驱动的PubMed中文搜索引擎

马上搜索

文档翻译

学术文献翻译模型,支持多种主流文档格式。

立即体验