• 文献检索
  • 文档翻译
  • 深度研究
  • 学术资讯
  • Suppr Zotero 插件Zotero 插件
  • 邀请有礼
  • 套餐&价格
  • 历史记录
应用&插件
Suppr Zotero 插件Zotero 插件浏览器插件Mac 客户端Windows 客户端微信小程序
定价
高级版会员购买积分包购买API积分包
服务
文献检索文档翻译深度研究API 文档MCP 服务
关于我们
关于 Suppr公司介绍联系我们用户协议隐私条款
关注我们

Suppr 超能文献

核心技术专利:CN118964589B侵权必究
粤ICP备2023148730 号-1Suppr @ 2026

文献检索

告别复杂PubMed语法,用中文像聊天一样搜索,搜遍4000万医学文献。AI智能推荐,让科研检索更轻松。

立即免费搜索

文件翻译

保留排版,准确专业,支持PDF/Word/PPT等文件格式,支持 12+语言互译。

免费翻译文档

深度研究

AI帮你快速写综述,25分钟生成高质量综述,智能提取关键信息,辅助科研写作。

立即免费体验

葡萄糖转运蛋白在J774巨噬细胞中作为水通道的证据。

Evidence that the glucose transporter serves as a water channel in J774 macrophages.

作者信息

Fischbarg J, Kuang K Y, Hirsch J, Lecuona S, Rogozinski L, Silverstein S C, Loike J

机构信息

Department of Physiology and Cellular Biophysics, College of Physicians and Surgeons, Columbia University, New York, NY 10032.

出版信息

Proc Natl Acad Sci U S A. 1989 Nov;86(21):8397-401. doi: 10.1073/pnas.86.21.8397.

DOI:10.1073/pnas.86.21.8397
PMID:2813396
原文链接:https://pmc.ncbi.nlm.nih.gov/articles/PMC522328/
Abstract

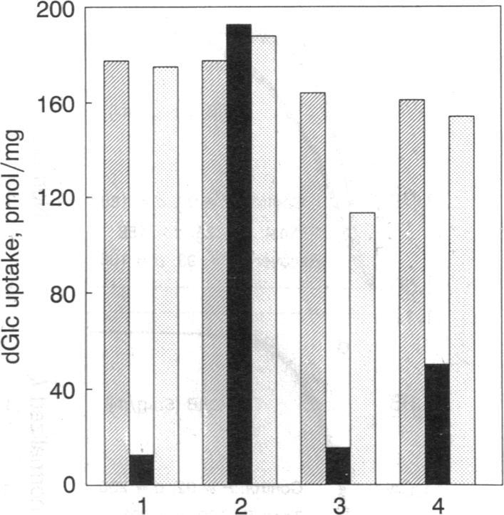
Water transport across plasma membranes is a universal property of cells, but the route of such transport is unclear. In this study, volume changes of cells of the J774 murine macrophage-like cell line were monitored by recording the intensity of light scattered by the cells. We investigated the effects of several inhibitors of glucose transport on cell membrane osmotic water permeability as calculated from the rates of cell volume change. Cytochalasin B (2.5 micrograms/ml), phloretin (20 microM), and tomatine (3 microM) reversibly blocked glucose uptake into these cells. All three inhibitors reversibly decreased the osmotic water permeability of J774 cells from 89.6 +/- 3.2 to 27.2 +/- 1.4 microns/sec. We conclude that a major component of the osmotic water flow across the plasma membranes of these cells is accounted for by water traversing their glucose transporters.

摘要

水通过质膜的运输是细胞的普遍特性,但这种运输的途径尚不清楚。在本研究中,通过记录细胞散射光的强度来监测J774鼠巨噬细胞样细胞系细胞的体积变化。我们根据细胞体积变化率计算了几种葡萄糖转运抑制剂对细胞膜渗透水通透性的影响。细胞松弛素B(2.5微克/毫升)、根皮素(20微摩尔)和番茄碱(3微摩尔)可逆转地阻断这些细胞对葡萄糖的摄取。所有这三种抑制剂均可逆转地将J774细胞的渗透水通透性从89.6±3.2微米/秒降低至27.2±1.4微米/秒。我们得出结论,这些细胞质膜上渗透水流的一个主要成分是水通过其葡萄糖转运体。

https://cdn.ncbi.nlm.nih.gov/pmc/blobs/f3b2/522328/5538a5e75802/pnas00288-0234-a.jpg
https://cdn.ncbi.nlm.nih.gov/pmc/blobs/f3b2/522328/5538a5e75802/pnas00288-0234-a.jpg
https://cdn.ncbi.nlm.nih.gov/pmc/blobs/f3b2/522328/5538a5e75802/pnas00288-0234-a.jpg

相似文献

1
Evidence that the glucose transporter serves as a water channel in J774 macrophages.葡萄糖转运蛋白在J774巨噬细胞中作为水通道的证据。
Proc Natl Acad Sci U S A. 1989 Nov;86(21):8397-401. doi: 10.1073/pnas.86.21.8397.
2
Role of facilitative glucose transporters in diffusional water permeability through J774 cells.易化葡萄糖转运体在J774细胞扩散性水通透性中的作用。
J Gen Physiol. 1993 Nov;102(5):897-906. doi: 10.1085/jgp.102.5.897.
3
Basolateral 3-O-methylglucose transport by cultured kidney (LLC-PK1) epithelial cells.培养的肾(LLC-PK1)上皮细胞对基底外侧3-O-甲基葡萄糖的转运
Am J Physiol. 1992 Mar;262(3 Pt 2):F480-7. doi: 10.1152/ajprenal.1992.262.3.F480.
4
Optical measurement of osmotic water transport in cultured cells. Role of glucose transporters.培养细胞中渗透水转运的光学测量。葡萄糖转运体的作用。
J Gen Physiol. 1992 Apr;99(4):573-89. doi: 10.1085/jgp.99.4.573.
5
Human erythrocyte sugar transport is incompatible with available carrier models.人类红细胞的糖转运与现有的载体模型不相符。
Biochemistry. 1996 Aug 13;35(32):10411-21. doi: 10.1021/bi953077m.
6
Glucose transporters serve as water channels.葡萄糖转运蛋白可作为水通道。
Proc Natl Acad Sci U S A. 1990 Apr;87(8):3244-7. doi: 10.1073/pnas.87.8.3244.
7
Effect of insulin and glucocorticoids on glucose transporters in rat adipocytes.胰岛素和糖皮质激素对大鼠脂肪细胞中葡萄糖转运蛋白的影响。
Am J Physiol. 1987 Apr;252(4 Pt 1):E441-53. doi: 10.1152/ajpendo.1987.252.4.E441.
8
Differential regulation of glucose transport and transporters by glucose in vascular endothelial and smooth muscle cells.葡萄糖对血管内皮细胞和平滑肌细胞中葡萄糖转运及转运体的差异性调节
Diabetes. 1993 Jan;42(1):80-9. doi: 10.2337/diab.42.1.80.
9
Isolation of mutant renal (LLC-PK1) epithelia defective in basolateral, Na(+)-independent glucose transport.分离在基底外侧非钠依赖性葡萄糖转运方面存在缺陷的突变肾(LLC-PK1)上皮细胞。
Am J Physiol. 1989 Dec;257(6 Pt 2):F1039-49. doi: 10.1152/ajprenal.1989.257.6.F1039.
10
The glucose transporter in the plasma membrane of the outer segments of bovine retinal rods.牛视网膜视杆细胞外段质膜中的葡萄糖转运体。
Exp Eye Res. 1994 Sep;59(3):351-8. doi: 10.1006/exer.1994.1117.

引用本文的文献

1
A budget for brain metabolic water production by glucose catabolism during rest, rises in activity and sleep.静息、活动增加及睡眠期间由葡萄糖分解代谢产生脑代谢水的预算。
Fluids Barriers CNS. 2025 May 6;22(1):44. doi: 10.1186/s12987-025-00647-8.
2
Structural Dynamics of Neutral Amino Acid Transporter SLC6A19 in Simple and Complex Lipid Bilayers.中性氨基酸转运蛋白SLC6A19在简单和复杂脂质双层中的结构动力学
J Cell Biochem. 2025 Jan;126(1):e30693. doi: 10.1002/jcb.30693.
3
Methods to Measure Water Permeability.测量水渗透性的方法。

本文引用的文献

1
Protein measurement with the Folin phenol reagent.使用福林酚试剂进行蛋白质测定。
J Biol Chem. 1951 Nov;193(1):265-75.
2
Permeability of the isolated toad bladder to solutes and its modification by vasopressin.离体蟾蜍膀胱对溶质的通透性及其受抗利尿激素的影响。
J Gen Physiol. 1962 May;45(5):921-32. doi: 10.1085/jgp.45.5.921.
3
Permeability and utilization of glucose in mammalian erythrocytes.哺乳动物红细胞中葡萄糖的渗透性与利用率
Adv Exp Med Biol. 2023;1398:343-361. doi: 10.1007/978-981-19-7415-1_24.
4
Non-Aquaporin Water Channels.非水通道蛋白水通道
Adv Exp Med Biol. 2023;1398:331-342. doi: 10.1007/978-981-19-7415-1_23.
5
From Pinocytosis to Methuosis-Fluid Consumption as a Risk Factor for Cell Death.从胞饮作用到“methuosis”——液体摄取作为细胞死亡的一个风险因素
Front Cell Dev Biol. 2021 Jun 23;9:651982. doi: 10.3389/fcell.2021.651982. eCollection 2021.
6
The Glymphatic System in Central Nervous System Health and Disease: Past, Present, and Future.中枢神经系统健康与疾病中的糖质淋系统:过去、现在和未来。
Annu Rev Pathol. 2018 Jan 24;13:379-394. doi: 10.1146/annurev-pathol-051217-111018.
7
Fluid and ion transfer across the blood-brain and blood-cerebrospinal fluid barriers; a comparative account of mechanisms and roles.液体和离子跨血脑屏障及血脑脊液屏障的转运:机制与作用的比较阐述
Fluids Barriers CNS. 2016 Oct 31;13(1):19. doi: 10.1186/s12987-016-0040-3.
8
Identifying Francisella tularensis genes required for growth in host cells.鉴定土拉弗朗西斯菌在宿主细胞中生长所需的基因。
Infect Immun. 2015 Aug;83(8):3015-25. doi: 10.1128/IAI.00004-15. Epub 2015 May 18.
9
The structural pathway for water permeation through sodium-glucose cotransporters.水通过钠-葡萄糖协同转运蛋白渗透的结构途径。
Biophys J. 2011 Oct 19;101(8):1887-95. doi: 10.1016/j.bpj.2011.09.019.
10
Measurement of the thickness and volume of adherent cells using transmission-through-dye microscopy.采用透染显微镜测量黏附细胞的厚度和体积。
Pflugers Arch. 2010 Nov;460(6):1097-104. doi: 10.1007/s00424-010-0869-2. Epub 2010 Aug 19.
J Cell Comp Physiol. 1958 Apr;51(2):273-307. doi: 10.1002/jcp.1030510212.
4
Phorbol myristate acetate stimulates pinocytosis and membrane spreading in mouse peritoneal macrophages.佛波醇肉豆蔻酸酯乙酸盐刺激小鼠腹腔巨噬细胞的胞饮作用和膜伸展。
J Cell Biol. 1980 Aug;86(2):634-40. doi: 10.1083/jcb.86.2.634.
5
Kinetics of glucose transport in human erythrocytes.人红细胞中葡萄糖转运的动力学
J Physiol. 1983 Jun;339:339-54. doi: 10.1113/jphysiol.1983.sp014720.
6
Water exchange through erythrocyte membranes: nuclear magnetic resonance studies on the effects of inhibitors and of chemical modifications of human membranes.通过红细胞膜的水交换:关于抑制剂和人膜化学修饰作用的核磁共振研究
J Membr Biol. 1983;76(2):129-37. doi: 10.1007/BF02000613.
7
The aqueous pore in the red cell membrane: band 3 as a channel for anions, cations, nonelectrolytes, and water.红细胞膜上的水通道:带3作为阴离子、阳离子、非电解质和水的通道。
Ann N Y Acad Sci. 1983;414:97-124. doi: 10.1111/j.1749-6632.1983.tb31678.x.
8
Dihydrocytochalasin B disorganizes actin cytoarchitecture and inhibits initiation of DNA synthesis in 3T3 cells.二氢细胞松弛素B破坏3T3细胞中的肌动蛋白细胞结构并抑制DNA合成的起始。
Cell. 1982 Aug;30(1):253-62. doi: 10.1016/0092-8674(82)90031-9.
9
Transport of water and urea in red blood cells.红细胞中水和尿素的运输。
Am J Physiol. 1984 Mar;246(3 Pt 1):C195-203. doi: 10.1152/ajpcell.1984.246.3.C195.
10
Permeability studies on red cell membranes of dog, cat, and beef.对狗、猫和牛的红细胞膜通透性的研究。
J Gen Physiol. 1967 Nov;50(10):2391-405. doi: 10.1085/jgp.50.10.2391.