Suppr超能文献

血小板活化决定登革热感染中血小板减少症的严重程度。

Platelet activation determines the severity of thrombocytopenia in dengue infection.

机构信息

Disease Biology Laboratory, Regional Centre for Biotechnology, National Capital Region Biotech Science Cluster, Faridabad, India.

Department of Biotechnology, Manipal University, Karnataka, India.

出版信息

Sci Rep. 2017 Jan 31;7:41697. doi: 10.1038/srep41697.

Abstract

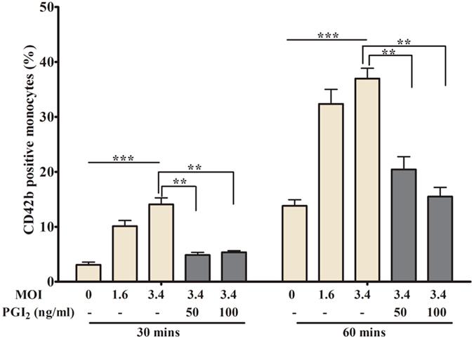
Thrombocytopenia is common in patients with dengue virus (DENV) infections. With a focus on understanding the possible mechanism of thrombocytopenia in DENV infections we described a direct correlation between activation and depletion of platelets in patients. Our data showed a sharp decrease in platelet counts at day 4 of fever in patients. The high DENV genome copies in platelets correlated directly with the elevated platelet activation along with increased binding of complement factor C3 and IgG on their surface at day 4. Recovery in platelet count was observed on day 10 through day 6 and 8 with simultaneous decrease in platelet activation markers. Further, our in vitro data supported the above observations describing a concentration-dependent increase in platelet activation by DENV serotype-2. The high copy number of DENV2 genome in the platelet pellet correlated directly with platelet activation, microparticle generation and clot formation. Furthermore the DENV2-activated platelets were phagocytosed in large numbers by the monocytes. The DENV2-mediated lysis and clearance of platelets were abrogated in presence of platelet activation inhibitor, prostacyclin. These observations collectively suggest that platelet activation status is an important determinant of thrombocytopenia in dengue infections. A careful strategy of inactivation of platelets may rescue them from rapid destruction during DENV infections.

摘要

血小板减少症在登革热病毒(DENV)感染患者中很常见。为了深入了解 DENV 感染中血小板减少症的可能机制,我们描述了患者血小板活化和耗竭之间的直接相关性。我们的数据显示,患者发热第 4 天血小板计数急剧下降。血小板中高拷贝数的 DENV 基因组与血小板表面补体因子 C3 和 IgG 的高结合率和血小板的高活化率直接相关。在第 10 天,血小板计数恢复,同时血小板活化标志物减少。此外,我们的体外数据支持上述观察结果,描述了 DENV 血清型 2 浓度依赖性地增加血小板活化。血小板沉淀中高拷贝数的 DENV2 基因组与血小板活化、微颗粒生成和血栓形成直接相关。此外,大量的 DENV2 激活血小板被单核细胞吞噬。在血小板活化抑制剂前列环素存在的情况下,DENV2 介导的血小板裂解和清除作用被阻断。这些观察结果表明,血小板活化状态是登革热感染中血小板减少症的一个重要决定因素。血小板的精心灭活策略可能会阻止它们在 DENV 感染期间迅速被破坏。

https://cdn.ncbi.nlm.nih.gov/pmc/blobs/136a/5282509/7ffb2d5be2b6/srep41697-f1.jpg

文献检索

告别复杂PubMed语法,用中文像聊天一样搜索,搜遍4000万医学文献。AI智能推荐,让科研检索更轻松。

立即免费搜索

文件翻译

保留排版,准确专业,支持PDF/Word/PPT等文件格式,支持 12+语言互译。

免费翻译文档

深度研究

AI帮你快速写综述,25分钟生成高质量综述,智能提取关键信息,辅助科研写作。

立即免费体验