• 文献检索
  • 文档翻译
  • 深度研究
  • 学术资讯
  • Suppr Zotero 插件Zotero 插件
  • 邀请有礼
  • 套餐&价格
  • 历史记录
应用&插件
Suppr Zotero 插件Zotero 插件浏览器插件Mac 客户端Windows 客户端微信小程序
定价
高级版会员购买积分包购买API积分包
服务
文献检索文档翻译深度研究API 文档MCP 服务
关于我们
关于 Suppr公司介绍联系我们用户协议隐私条款
关注我们

Suppr 超能文献

核心技术专利:CN118964589B侵权必究
粤ICP备2023148730 号-1Suppr @ 2026

文献检索

告别复杂PubMed语法,用中文像聊天一样搜索,搜遍4000万医学文献。AI智能推荐,让科研检索更轻松。

立即免费搜索

文件翻译

保留排版,准确专业,支持PDF/Word/PPT等文件格式,支持 12+语言互译。

免费翻译文档

深度研究

AI帮你快速写综述,25分钟生成高质量综述,智能提取关键信息,辅助科研写作。

立即免费体验

通过蛋白质印迹法检测到的针对伯氏疏螺旋体的抗体反应在加拿大各地存在地域差异。

Antibody responses to Borrelia burgdorferi detected by western blot vary geographically in Canada.

作者信息

Ogden Nicholas H, Arsenault Julie, Hatchette Todd F, Mechai Samir, Lindsay L Robbin

机构信息

National Microbiology Laboratory, Public Health Agency of Canada, Saint-Hyacinthe, Québec, Canada.

Groupe de recherche en épidémiologie des zoonoses et santé publique (GREZOSP), Saint-Hyacinthe, Québec, Canada.

出版信息

PLoS One. 2017 Feb 9;12(2):e0171731. doi: 10.1371/journal.pone.0171731. eCollection 2017.

DOI:10.1371/journal.pone.0171731
PMID:28182723
原文链接:https://pmc.ncbi.nlm.nih.gov/articles/PMC5300191/
Abstract

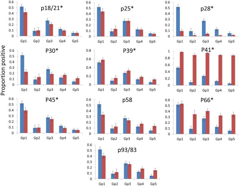
Lyme disease is emerging in eastern and central Canada, and most cases are diagnosed using the two-tier serological test (Enzyme Immuno Assay [EIA] followed by Western blot [WB]). Simplification of this algorithm would be advantageous unless it impacts test performance. In this study, accuracy of individual proteins of the IgG WB algorithm in predicting the overall test result in samples from Canadians was assessed. Because Borrelia burgdorferi strains vary geographically in Canada, geographic variations in serological responses were also explored. Metrics of relative sensitivity, specificity and the kappa statistic measure of concordance were used to assess the capacity of responses to individual proteins to predict the overall IgG WB result of 2524 EIA (C6)-positive samples from across Canada. Geographic and interannual variations in proportions of samples testing positive were explored by logistic regression. No one protein was highly concordant with the IgG WB result. Significant variations were found amongst years and geographic regions in the prevalence of samples testing positive using the overall IgG WB algorithm, and for individual proteins of the algorithm. In most cases the prevalence of samples testing positive were highest in Nova Scotia, and lower in samples from Manitoba westwards. These findings suggest that the current two tier test may not be simplified and continued use of the current two-tier test method and interpretation is recommended. Geographic and interannual variations in the prevalence of samples testing positive may be consistent with B. burgdorferi strain variation in Canada, and further studies are needed to explore this.

摘要

莱姆病在加拿大东部和中部地区呈上升趋势,大多数病例通过两级血清学检测(酶免疫测定[EIA]随后进行免疫印迹[WB])进行诊断。简化该检测流程将具有优势,除非这会影响检测性能。在本研究中,评估了IgG免疫印迹检测流程中各个蛋白质在预测来自加拿大的样本总体检测结果方面的准确性。由于加拿大不同地区的伯氏疏螺旋体菌株存在差异,因此还探讨了血清学反应的地理差异。使用相对敏感性、特异性指标以及一致性的kappa统计量来评估对各个蛋白质的反应预测来自加拿大各地2524份EIA(C6)阳性样本总体IgG免疫印迹结果的能力。通过逻辑回归分析探讨了检测呈阳性样本比例的地理和年度间差异。没有一种蛋白质与IgG免疫印迹结果高度一致。在使用总体IgG免疫印迹检测流程以及该流程中的各个蛋白质时,发现检测呈阳性样本的患病率在年份和地理区域之间存在显著差异。在大多数情况下,新斯科舍省检测呈阳性的样本患病率最高,而从马尼托巴省向西的样本患病率较低。这些发现表明当前的两级检测可能无法简化,建议继续使用当前的两级检测方法及解读方式。检测呈阳性样本患病率的地理和年度间差异可能与加拿大伯氏疏螺旋体菌株的差异一致,需要进一步研究来探讨这一点。

https://cdn.ncbi.nlm.nih.gov/pmc/blobs/fd88/5300191/0f83ca8407bb/pone.0171731.g004.jpg
https://cdn.ncbi.nlm.nih.gov/pmc/blobs/fd88/5300191/63918c53e0b9/pone.0171731.g001.jpg
https://cdn.ncbi.nlm.nih.gov/pmc/blobs/fd88/5300191/222eb30a1215/pone.0171731.g002.jpg
https://cdn.ncbi.nlm.nih.gov/pmc/blobs/fd88/5300191/54e61cac2679/pone.0171731.g003.jpg
https://cdn.ncbi.nlm.nih.gov/pmc/blobs/fd88/5300191/0f83ca8407bb/pone.0171731.g004.jpg
https://cdn.ncbi.nlm.nih.gov/pmc/blobs/fd88/5300191/63918c53e0b9/pone.0171731.g001.jpg
https://cdn.ncbi.nlm.nih.gov/pmc/blobs/fd88/5300191/222eb30a1215/pone.0171731.g002.jpg
https://cdn.ncbi.nlm.nih.gov/pmc/blobs/fd88/5300191/54e61cac2679/pone.0171731.g003.jpg
https://cdn.ncbi.nlm.nih.gov/pmc/blobs/fd88/5300191/0f83ca8407bb/pone.0171731.g004.jpg

相似文献

1
Antibody responses to Borrelia burgdorferi detected by western blot vary geographically in Canada.通过蛋白质印迹法检测到的针对伯氏疏螺旋体的抗体反应在加拿大各地存在地域差异。
PLoS One. 2017 Feb 9;12(2):e0171731. doi: 10.1371/journal.pone.0171731. eCollection 2017.
2
Concordance of four commercial enzyme immunoassay and three immunoblot formats for the detection of Lyme borreliosis antibodies in human serum: the two-tier approach remains.四种商业酶免疫测定法与三种免疫印迹法检测人血清中莱姆病螺旋体抗体的一致性:两级检测方法仍在使用。
Pathology. 2016 Apr;48(3):251-6. doi: 10.1016/j.pathol.2016.02.004. Epub 2016 Mar 5.
3
A fluorescent bead-based multiplex assay for the simultaneous detection of antibodies to B. burgdorferi outer surface proteins in canine serum.一种基于荧光微球的多重检测方法,用于同时检测犬血清中针对伯氏疏螺旋体外膜蛋白的抗体。
Vet Immunol Immunopathol. 2011 Apr 15;140(3-4):190-8. doi: 10.1016/j.vetimm.2010.12.003. Epub 2010 Dec 10.
4
Comparison of different Borrelia burgdorferi sensu lato strains for detection of immune response in patients with erythema migrans.比较不同广义伯氏疏螺旋体菌株以检测游走性红斑患者的免疫反应。
Int J Med Microbiol. 2008 Jul;298(5-6):493-504. doi: 10.1016/j.ijmm.2007.05.007. Epub 2007 Sep 24.
5
Development of a sensitive PCR-dot blot assay to supplement serological tests for diagnosing Lyme disease.建立一种灵敏的 PCR-斑点印迹分析检测方法以补充血清学试验用于莱姆病的诊断。
Eur J Clin Microbiol Infect Dis. 2018 Apr;37(4):701-709. doi: 10.1007/s10096-017-3162-x. Epub 2017 Dec 27.
6
[Laboratory diagnosis of infection caused by Borrelia burgdorferi].[伯氏疏螺旋体引起感染的实验室诊断]
Ugeskr Laeger. 2006 Aug 21;168(34):2805-7.
7
Two-tiered antibody testing for Lyme disease with use of 2 enzyme immunoassays, a whole-cell sonicate enzyme immunoassay followed by a VlsE C6 peptide enzyme immunoassay.采用两种酶免疫分析法进行莱姆病的双层抗体检测,先用全细胞超声酶免疫分析法,再用 VlsE C6 肽酶免疫分析法。
Clin Infect Dis. 2011 Sep;53(6):541-7. doi: 10.1093/cid/cir464.
8
Performance of a Modified Two-Tiered Testing Enzyme Immunoassay Algorithm for Serologic Diagnosis of Lyme Disease in Nova Scotia.新斯科舍省莱姆病血清学诊断改良双层检测酶免疫分析算法的性能。
J Clin Microbiol. 2020 Jun 24;58(7). doi: 10.1128/JCM.01841-19.
9
Improved Serodiagnostic Performance for Lyme Disease by Use of Two Recombinant Proteins in Enzyme-Linked Immunosorbent Assay Compared to Standardized Two-Tier Testing.与标准化两阶段检测相比,使用两种酶联免疫吸附试验中的重组蛋白可提高莱姆病的血清学诊断性能。
J Clin Microbiol. 2017 Oct;55(10):3046-3056. doi: 10.1128/JCM.01004-17. Epub 2017 Aug 2.
10
Comparative evaluation of two enzyme linked immunosorbent assay methods and three Western Blot methods for the diagnosis of culture-confirmed early Lyme borreliosis in Italy.两种酶联免疫吸附测定方法和三种蛋白质印迹法用于诊断意大利培养确诊的早期莱姆病疏螺旋体病的比较评估
New Microbiol. 2005 Jan;28(1):37-43.

引用本文的文献

1
Serologic biomarker discovery for differentiating Lyme disease from diseases with similar clinical symptoms using broad profiling of antibody binding.通过抗体结合的广泛分析发现用于区分莱姆病与具有相似临床症状疾病的血清学生物标志物。
Front Immunol. 2025 May 16;16:1528524. doi: 10.3389/fimmu.2025.1528524. eCollection 2025.
2
Changes in the Transcriptome and Long Non-Coding RNAs but Not the Methylome Occur in Human Cells Exposed to .人类细胞暴露于. 时,转录组和长非编码 RNA 发生变化,但甲基组没有变化。
Genes (Basel). 2024 Aug 1;15(8):1010. doi: 10.3390/genes15081010.
3
Profiling disease burden and Borrelia seroprevalence in Canadians with complex and chronic illness.

本文引用的文献

1
Surveillance for Lyme disease in Canada, 2009 to 2012.2009年至2012年加拿大莱姆病监测
Can Commun Dis Rep. 2015 Jun 4;41(6):132-145. doi: 10.14745/ccdr.v41i06a03.
2
Environmental risk from Lyme disease in central and eastern Canada: a summary of recent surveillance information.加拿大中部和东部莱姆病的环境风险:近期监测信息总结
Can Commun Dis Rep. 2014 Mar 6;40(5):74-82. doi: 10.14745/ccdr.v40i05a01.
3
Epidemiology of Lyme Disease, Nova Scotia, Canada, 2002-2013.加拿大新斯科舍省2002 - 2013年莱姆病流行病学
分析患有复杂和慢性疾病的加拿大人的疾病负担和伯氏疏螺旋体血清流行率。
PLoS One. 2023 Nov 8;18(11):e0291382. doi: 10.1371/journal.pone.0291382. eCollection 2023.
4
Isolation and multilocus sequence typing of Borrelia burgdorferi from Ixodes scapularis collected from dogs in Ontario, Canada.从加拿大安大略省的犬只身上采集的肩突硬蜱中分离并进行博氏疏螺旋体的多位点序列分型。
BMC Res Notes. 2023 Mar 30;16(1):43. doi: 10.1186/s13104-023-06315-0.
5
Modified Two-Tiered Testing Enzyme Immunoassay Algorithm for Serologic Diagnosis of Lyme Disease.用于莱姆病血清学诊断的改良两级检测酶免疫分析算法
Open Forum Infect Dis. 2022 Jun 6;9(7):ofac272. doi: 10.1093/ofid/ofac272. eCollection 2022 Jul.
6
ticks and on Prince Edward Island: Passive tick surveillance and canine seroprevalence.爱德华王子岛的蜱虫和莱姆病:被动蜱虫监测和犬血清流行率。
Can Vet J. 2020 Oct;61(10):1107-1110.
7
Modified two-tiered testing algorithm for Lyme disease serology: the Canadian context.莱姆病血清学改良的两级检测算法:加拿大背景
Can Commun Dis Rep. 2020 May 7;46(5):125-131. doi: 10.14745/ccdr.v46i05a05.
8
Knowledge and Knowledge Needs about Lyme Disease among Occupational and Recreational Users of the Outdoors.户外工作者和娱乐者对莱姆病的知识和知识需求。
Int J Environ Res Public Health. 2020 Jan 5;17(1):355. doi: 10.3390/ijerph17010355.
9
Parenting When Children Have Lyme Disease: Fear, Frustration, Advocacy.孩子患莱姆病时的育儿之道:恐惧、挫折与维权
Healthcare (Basel). 2019 Aug 8;7(3):95. doi: 10.3390/healthcare7030095.
10
A Multiple Streams Approach to Understanding the Issues and Challenges of Lyme Disease Management in Canada's Maritime Provinces.采用多流分析方法了解加拿大海洋省份莱姆病管理的问题和挑战。
Int J Environ Res Public Health. 2019 Apr 30;16(9):1531. doi: 10.3390/ijerph16091531.
Emerg Infect Dis. 2015 Oct;21(10):1751-8. doi: 10.3201/eid2110.141640.
4
Lyme disease: Knowledge and practices of family practitioners in southern Quebec.莱姆病:魁北克南部家庭医生的知识与实践
Can J Infect Dis Med Microbiol. 2015 May-Jun;26(3):151-6. doi: 10.1155/2015/846963.
5
Different Ecological Niches for Ticks of Public Health Significance in Canada.加拿大具有公共卫生意义的蜱虫的不同生态位
PLoS One. 2015 Jul 1;10(7):e0131282. doi: 10.1371/journal.pone.0131282. eCollection 2015.
6
Lyme Disease Diagnosed by Alternative Methods: A Phenotype Similar to That of Chronic Fatigue Syndrome.采用替代方法诊断莱姆病:与慢性疲劳综合征相似的表型。
Clin Infect Dis. 2015 Oct 1;61(7):1084-91. doi: 10.1093/cid/civ470. Epub 2015 Jun 16.
7
Development of a metabolic biosignature for detection of early Lyme disease.用于早期莱姆病检测的代谢生物标志物的开发。
Clin Infect Dis. 2015 Jun 15;60(12):1767-75. doi: 10.1093/cid/civ185. Epub 2015 Mar 11.
8
Multiplex assay (Mikrogen recomBead) for detection of serum IgG and IgM antibodies to 13 recombinant antigens of Borrelia burgdorferi sensu lato in patients with neuroborreliosis: the more the better?用于检测神经型莱姆病患者血清中针对伯氏疏螺旋体狭义种13种重组抗原的IgG和IgM抗体的多重检测法(Mikrogen recomBead):越多越好吗?
J Med Microbiol. 2015 Mar;64(Pt 3):224-231. doi: 10.1099/jmm.0.000009. Epub 2015 Jan 13.
9
Complex population structure of Borrelia burgdorferi in southeastern and south central Canada as revealed by phylogeographic analysis.系统发育地理学分析揭示加拿大东南部和中南部伯氏疏螺旋体的复杂种群结构。
Appl Environ Microbiol. 2015 Feb;81(4):1309-18. doi: 10.1128/AEM.03730-14.
10
A comparison of lyme disease serologic test results from 4 laboratories in patients with persistent symptoms after antibiotic treatment.在抗生素治疗后持续出现症状的患者中,比较 4 家实验室的莱姆病血清学检测结果。
Clin Infect Dis. 2014 Dec 15;59(12):1705-10. doi: 10.1093/cid/ciu703. Epub 2014 Sep 2.